Petrophysical Property Prediction from Seismic Inversion Attributes Using Rock Physics and Machine Learning: Volve Field, North Sea
Abstract
1. Introduction
2. Background—Study Areas
2.1. Geology

2.2. Reservoir Characteristics
3. Methodology
3.1. Rock Physics Workflow
3.1.1. Geophysical Well-Log Analyses
3.1.2. Rock Physics Diagnostics
3.1.3. Perturbational and Synthetic Modeling
Fluid Substitution and Synthetic Modeling
Vclay Modeling
3.1.4. Petrophysical Seismic Inversion
Low-Frequency Earth Model
Seismic Inversion
Machine Learning: Neural Network
3.1.5. CO2 Fluid Substitution
4. Results and Discussion
4.1. Impact of Rock Physics Diagnostics
4.2. Rock Physics Modeling
Lithology Modeling
4.3. Seismic Inversion and Petrophysical Property Prediction
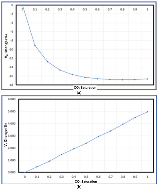
4.4. CO2 Modeling Results
5. Conclusions
Author Contributions
Funding
Institutional Review Board Statement
Informed Consent Statement
Data Availability Statement
Acknowledgments
Conflicts of Interest
Appendix A
- represents the weights matrix for layer l.
- represents the bias vector for layer l.
- represents the activation function for layer l.
References
- Anees, M. Seismic Attribute Analysis for Reservoir Characterization. In Proceedings of the 10th Biennial International Conference and Exposition, Kochi, India, 23–25 November 2013. [Google Scholar]
- Guo, Q.; Ba, J.; Fu, L.-Y.; Luo, C. Joint seismic and Petrophysical nonlinear inversion with gaussian mixture-based adaptive regularization. Geophysics 2021, 86, 895–911. [Google Scholar] [CrossRef]
- González, E.F.; Mukerji, T.; Mavko, G. Seismic inversion combining rock physics and multiple-point geostatistics. Geophysics 2008, 73, R11–R21. [Google Scholar] [CrossRef]
- Sen, M.K.; Stoffa, P.L. Global Optimization Methods in Geophysical Inversion; Cambridge University Press: Cambridge, UK, 2013. [Google Scholar]
- Dvorkin, J.; Grana, D.; Gutierrez, M.A. Seismic Reflections of Rock Properties; Cambridge University Press: Cambridge, UK, 2014. [Google Scholar]
- Schuster, G.T. Seismic Inversion; Society of Exploration Geophysicists: Houston, TX, USA, 2017; Volume 20. [Google Scholar] [CrossRef]
- Sokolov, A.; Schulte, B.; Shalaby, H.; Molen, M. Seismic inversion for reservoir characterization. In Applied Techniques to Integrated Oil and Gas Reservoir Characterization; Elsevier: Amsterdam, The Netherlands, 2021; pp. 329–351. [Google Scholar] [CrossRef]
- Amaro, C.; Grana, D.; Azevedo, L.; Soares, A. Geostatistical Seismic Inversion Integrating Rock Physics Models. In Proceedings of the 78th EAGE Conference and Exhibition 2016, Vienna, Austria, 30 May–2 June 2016. [Google Scholar] [CrossRef]
- Chopra, S.; Marfurt, K.J. Seismic Attributes for Prospect Identification and Reservoir Characterization; Society for Exploration Geophysicists: Houston, TX, USA, 2007; Volume 2, pp. 1–16. [Google Scholar] [CrossRef]
- Garia, S.; Pal, A.K.; Ravi, K.; Nair, A.M. Prediction of petrophysical properties from seismic inversion and Neural Network: A case study. In Proceedings of the EGU General Assembly Conference 2021, Online, 19–20 April 2021; p. EGU21-11824. Available online: https://ui.adsabs.harvard.edu/link_gateway/2021EGUGA..2311824G/doi:10.5194/egusphere-egu21-11824 (accessed on 1 January 2024).
- Ruiz, R.; Roubickova, A.; Reiser, C.; Banglawala, N. Data Mining and machine learning for porosity, saturation, and shear velocity prediction: Recent experience and results. First Break 2021, 39, 71–76. [Google Scholar] [CrossRef]
- Bressan, T.S.; de Souza, M.K.; Girelli, T.J.; Junior, F.C. Evaluation of machine learning methods for lithology classification using geophysical data. Comput. Geosci. 2020, 139, 104475. [Google Scholar] [CrossRef]
- Hou, M.; Xiao, Y.; Lei, Z.; Yang, Z.; Lou, Y.; Liu, Y. Machine Learning Algorithms for Lithofacies Classification of the Gulong Shale from the Songliao Basin, China. Energies 2023, 16, 2581. [Google Scholar] [CrossRef]
- Yang, L.; Sun, S.Z. Seismic horizon tracking using a deep convolutional neural network. J. Pet. Sci. Eng. 2020, 187, 106709. [Google Scholar] [CrossRef]
- Ismail, A.; Radwan, A.A.; Leila, M.; Abdelmaksoud, A.; Ali, M. Unsupervised machine learning and multi-seismic attributes for fault and fracture network interpretation in the Kerry Field, Taranaki Basin, New Zealand. Geomech. Geophys. Geo-Energy Geo-Resour. 2023, 9, 122. [Google Scholar] [CrossRef]
- Di, H.; Li, Z.; Maniar, H.; Abubakar, A. Seismic stratigraphy interpretation by deep convolutional neural networks: A semisupervised workflow. Geophysics 2020, 85, 77–86. [Google Scholar] [CrossRef]
- Tensorflow. Module: TF: Tensorflow Core v2.8.0. TensorFlow. 2021. Available online: https://www.tensorflow.org/api_docs/python/tf (accessed on 20 December 2021).
- Kappler, K.; Kuzma, H.A.; Rector, J.W. A comparison of standard inversion, neural networks and support Vector Machines. SEG Tech. Program Expand. Abstr. 2005, 2005, 1725–1727. [Google Scholar] [CrossRef]
- Kim, Y.; Nakata, N. Geophysical inversion versus machine learning in inverse problems. Lead. Edge 2018, 37, 894–901. [Google Scholar] [CrossRef]
- Oyetunji, O.; Stewart, R. Reservoir characterization using petrophysical analysis of the Volve Field, Norway. In Proceedings of the EAGE Annual 82nd Conference & Exhibition 2021, Amsterdam, The Netherlands, 28–30 October 2021. [Google Scholar] [CrossRef]
- Ravasi, M.; Vasconcelos, I.; Curtis, A.; Kritski, A. Vector-acoustic reverse time migration of Volve ocean-bottom cable data set without up/down decomposed wavefields. Geophysics 2015, 80, S137–S150. [Google Scholar] [CrossRef]
- Norwegian Petroleum Directorate. 4.1—Geology of the North Sea—The Norwegian Petroleum Directorate. Available online: https://www.npd.no/en/whats-new/publications/co2-atlases/co2-atlas-for-the-norwegian-continental-shelf/4-the-norwegian-north-sea/4.1-geology-of-the-north-sea/ (accessed on 1 January 2024).
- Wang, B.; Sharma, J.; Chen, J.; Persaud, P. Ensemble machine learning assisted reservoir characterization using field production data–an offshore field case study. Energies 2021, 14, 1052. [Google Scholar] [CrossRef]
- Jackson, C.A.-L.; Kane, K.E.; Larsen, E. Structural evolution of minibasins on the utsira high, northern North Sea; implications for Jurassic sediment dispersal and reservoir distribution. Pet. Geosci. 2010, 16, 105–120. [Google Scholar] [CrossRef]
- Zweigel, P.; Arts, R.; Lothe, A.E.; Lindeberg, E.B. Reservoir geology of the Utsira Formation at the first industrial-scale underground co 2 storage site (Sleipner area, North Sea). Geol. Soc. Lond. Spec. Publ. 2004, 233, 165–180. [Google Scholar] [CrossRef]
- Al Ghaithi, A.; Prasad, M. Machine learning with artificial neural networks for shear log predictions in the Volve Field Norwegian North Sea. In SEG Technical Program Expanded Abstracts; Society of Exploration Geophysicists: Houston, TX, USA, 2020; pp. 450–454. [Google Scholar] [CrossRef]
- Arts, R.; Eiken, O.; Chadwick, A.; Zweigel, P.; van der Meer, L.; Zinszner, B. Monitoring of CO2 injected at Sleipner using time-lapse seismic data. Energy 2004, 29, 1383–1392. [Google Scholar] [CrossRef]
- Equinor. Volve Field Data Set Download. Volve Field Data Village Download—Data 2008–2016. 2020. Available online: https://www.equinor.com/en/what-we-do/digitalisation-in-our-dna/volve-field-data-village-download.html (accessed on 12 December 2020).
- Mukerji, T.; Dutta, N.; Prasad, M.; Dvorkin, J. Seismic Detection and Estimation of Overpressures Part I: The Rock Physics Basis. CSEG Rec. 2002, 27, 34–57. [Google Scholar]
- Gassmann, F. On the elasticity of porous media: Quarterly publication of the Natural Research Society in Zurich. Geophysics 1951, 96, 1–23. [Google Scholar]
- Adam, L.; Batzle, M.; Brevik, I. Gassmann’s fluid substitution and shear modulus variability in carbonates at laboratory seismic and ultrasonic frequencies. Geophysics 2006, 71, F173–F183. [Google Scholar] [CrossRef]
- Greenberg, M.L.; Castagna, J.P. Shear-wave velocity estimation in porous rocks: Theoretical formulation, preliminary verification and applications. Geophys. Prospect. 1992, 40, 195–209. [Google Scholar] [CrossRef]
- Mavko, G.; Mukerji, T.; Dvorkin, J. The Rock Physics Handbook; Cambridge University Press: Cambridge, UK, 2020. [Google Scholar]
- de Figueiredo, L.P.; Grana, D.; Santos, M.; Figueiredo, W.; Roisenberg, M.; Schwedersky Neto, G. Bayesian seismic inversion based on rock-physics prior modeling for the joint estimation of acoustic impedance, porosity and lithofacies. J. Comput. Phys. 2017, 336, 128–142. [Google Scholar] [CrossRef]
- Smith, T.M.; Sondergeld, C.H.; Rai, C.S. Gassmann fluid substitutions: A tutorial. Geophysics 2003, 68, 430–440. [Google Scholar] [CrossRef]
- Batzle, M.; Wang, Z. Seismic properties of pore fluids. Geophysics 1992, 57, 1396–1408. [Google Scholar] [CrossRef]
- Buland, A.; El Ouair, Y. Bayesian time-lapse inversion. Geophysics 2006, 71, R43–R48. [Google Scholar] [CrossRef]
- Aki, K.; Richards, P.G. Quantitative seismology, theory and methods. J. Acoust. Soc. Am. 1980, 68, 1546. [Google Scholar] [CrossRef]
- Stolt, R.H.; Weglein, A.B. Migration and inversion of Seismic Data. Geophysics 1985, 50, 2458–2472. [Google Scholar] [CrossRef]
- Hampson, D.P.; Russell, B.H.; Bankhead, B. Simultaneous inversion of pre-stack seismic data. SEG Tech. Program Expand. Abstr. 2005, 7, 1633–1637. [Google Scholar] [CrossRef]
- Gardner, G.H.; Gardner, L.W.; Gregory, A.R. Formation velocity and density—The diagnostic basics for stratigraphic traps. Geophysics 1974, 39, 770–780. [Google Scholar] [CrossRef]
- Dramsch, J.S. 70 years of machine learning in Geoscience in review. Mach. Learn. Geosci. 2020, 61, 1–55. [Google Scholar] [CrossRef]
- Kingma, D.P.; Ba, J. Adam: A Method for Stochastic Optimization. arXiv 2015, arXiv:1412.6980. [Google Scholar]
- Biot, M.A. Theory of propagation of elastic waves in a fluid-saturated porous solid. I. Low-Frequency Range. J. Acoust. Soc. Am. 1956, 28, 168–178. [Google Scholar] [CrossRef]
- Pelemo-Daniels, D.; Nwafor, B.O.; Stewart, R.R. CO2 Injection Monitoring: Enhancing Time-Lapse Inversion for Injected Volume Estimation in the Utsira Formation, Sleipner Field, North Sea. J. Mar. Sci. Eng. 2023, 11, 2275. [Google Scholar] [CrossRef]
- Pride, S.R.; Berryman, J.G.; Harris, J.M. Seismic attenuation due to wave-induced flow. J. Geophys. Res. Solid Earth 2004, 109, 1–19. [Google Scholar] [CrossRef]
- Müller, T.M.; Gurevich, B.; Lebedev, M. Seismic wave attenuation and dispersion resulting from wave-induced flow in porous rocks—A review. Geophysics 2010, 75, 147–164. [Google Scholar] [CrossRef]
- Span, R.; Wagner, W. A new equation of state for carbon dioxide covering the fluid region from the triple-point temperature to 1100 K at pressures up to 800 MPA. J. Phys. Chem. Ref. Data 1996, 25, 1509–1596. [Google Scholar] [CrossRef]
- Ghaderi, A.; Landrø, M. Estimation of thickness and velocity changes of injected carbon dioxide layers from prestack time-lapse seismic data. Geophysics 2009, 74, 17–28. [Google Scholar] [CrossRef]
- Nwafor, B.O.; Hermana, M.; Elsaadany, M. Geostatistical Inversion of Spectrally Broadened Seismic Data for Re-Evaluation of Oil Reservoir Continuity in Inas Field, Offshore Malay Basin. J. Mar. Sci. Eng. 2022, 10, 727. [Google Scholar] [CrossRef]
- Nwafor, B.O.; Hermana, M. Harmonic Extrapolation of Seismic Reflectivity Spectrum for Resolution Enhancement: An Insight from Inas Field, Offshore Malay Basin. Appl. Sci. 2022, 12, 5453. [Google Scholar] [CrossRef]
- Chollet, F. Deep Learning with Python; Manning Publications: Shelter Island, NY, USA, 2017. [Google Scholar]
- Goodfellow, I.; Bengio, Y.; Courville, A. Deep Learning; The MIT Press: Cambridge, MA, USA, 2017. [Google Scholar]
- Equinor. Sleipner 4D Seismic Dataset. 2020. Available online: https://co2datashare.org/dataset/sleipner-4d-seismic-dataset (accessed on 1 January 2024).
- Equinor. Volve Field Dataset; Volve Field Data Set Download—Equinor. 2020. Available online: https://www.equinor.com/energy/volve-data-sharing (accessed on 1 January 2024).




















Disclaimer/Publisher’s Note: The statements, opinions and data contained in all publications are solely those of the individual author(s) and contributor(s) and not of MDPI and/or the editor(s). MDPI and/or the editor(s) disclaim responsibility for any injury to people or property resulting from any ideas, methods, instructions or products referred to in the content. |
© 2024 by the authors. Licensee MDPI, Basel, Switzerland. This article is an open access article distributed under the terms and conditions of the Creative Commons Attribution (CC BY) license (https://creativecommons.org/licenses/by/4.0/).
Share and Cite
Pelemo-Daniels, D.; Stewart, R.R. Petrophysical Property Prediction from Seismic Inversion Attributes Using Rock Physics and Machine Learning: Volve Field, North Sea. Appl. Sci. 2024, 14, 1345. https://doi.org/10.3390/app14041345
Pelemo-Daniels D, Stewart RR. Petrophysical Property Prediction from Seismic Inversion Attributes Using Rock Physics and Machine Learning: Volve Field, North Sea. Applied Sciences. 2024; 14(4):1345. https://doi.org/10.3390/app14041345
Chicago/Turabian StylePelemo-Daniels, Doyin, and Robert R. Stewart. 2024. "Petrophysical Property Prediction from Seismic Inversion Attributes Using Rock Physics and Machine Learning: Volve Field, North Sea" Applied Sciences 14, no. 4: 1345. https://doi.org/10.3390/app14041345
APA StylePelemo-Daniels, D., & Stewart, R. R. (2024). Petrophysical Property Prediction from Seismic Inversion Attributes Using Rock Physics and Machine Learning: Volve Field, North Sea. Applied Sciences, 14(4), 1345. https://doi.org/10.3390/app14041345

