Molecular Study on Conformational Changes in Trypsin Inhibitors in Multidirectional Electrostatic Fields
Abstract
1. Introduction
2. Materials and Methods
3. Results and Discussions
3.1. VMD Conformational Observation
3.2. Root Mean Square Deviation (RMSD) Analysis
3.3. Dipole Moment Analysis
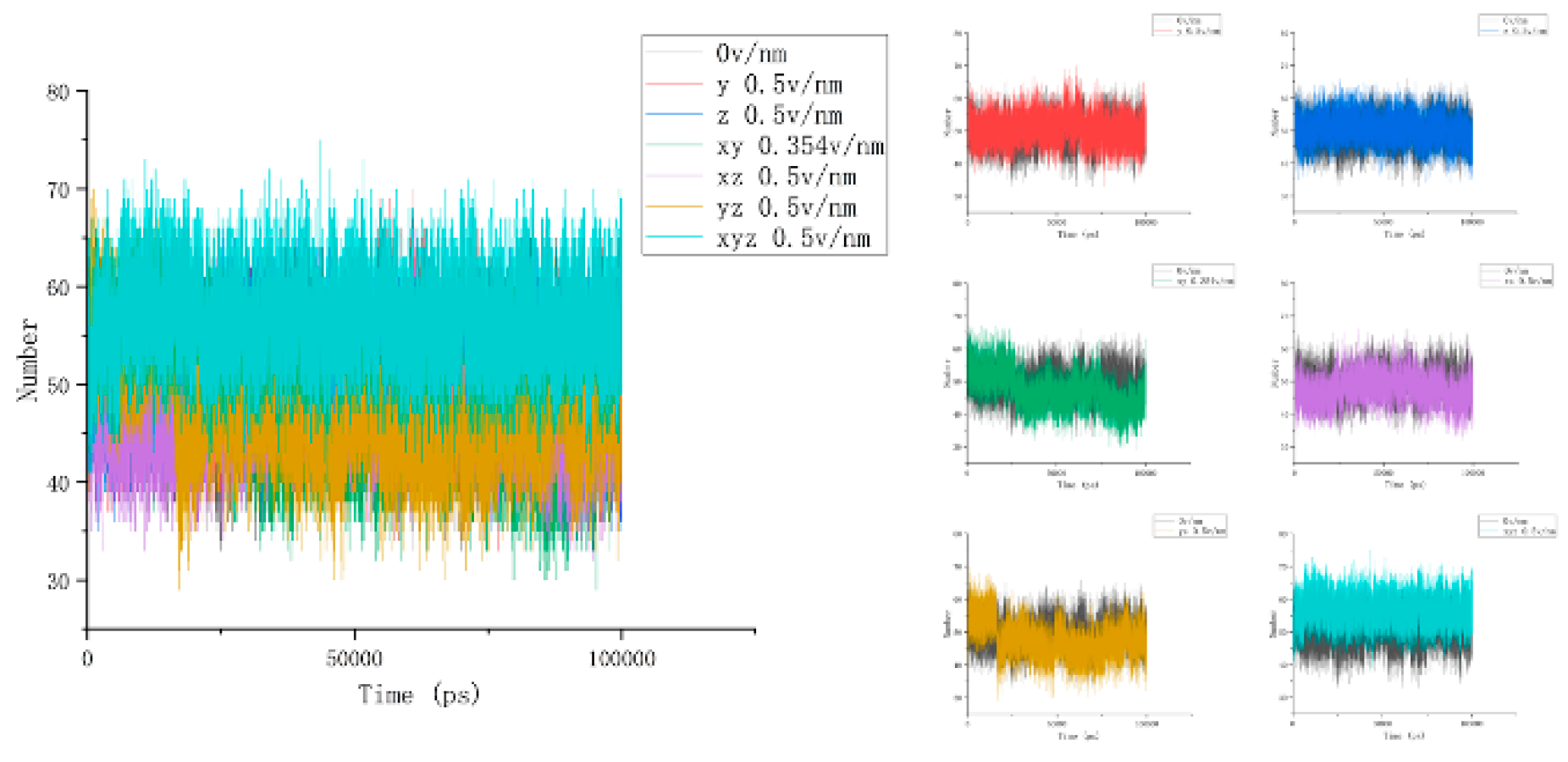
3.4. Hydrogen Bond Analysis
3.5. Solvent Accessible Surface Area (SASA) Analysis
3.6. Cell Pulse Electrical Breakdown Experiment
4. Summary
Author Contributions
Funding
Institutional Review Board Statement
Informed Consent Statement
Data Availability Statement
Conflicts of Interest
References
- Wu, N.; Yang, M.Y.; Gaur, U.; Xu, H.L.; Yao, Y.F.; Li, D.Y. Alpha-Ketoglutarate: Physiological Functions and Applications. Biomol. Ther. 2016, 24, 1–8. [Google Scholar] [CrossRef]
- Pojic, M.; Misan, A.; Tiwari, B. Eco-innovative technologies for extraction of proteins for human consumption from renewable protein sources of plant origin. Trends Food Sci. Technol. 2018, 75, 93–104. [Google Scholar] [CrossRef]
- Kumar, M.; Selvasekaran, P.; Kapoor, S.; Barbhai, M.D.; Lorenzo, J.M.; Saurabh, V.; Potkule, J.; Changan, S.; ElKelish, A.; Selim, S.; et al. Moringa oleifera Lam. seed proteins: Extraction, preparation of protein hydrolysates, bioactivities, functional food properties, and industrial application. Food Hydrocoll. 2022, 131, 107791. [Google Scholar] [CrossRef]
- Da Cunha, M.; Caracciolo, P.C.; Abraham, G.A. Latest advances in electrospun plant-derived protein scaffolds for biomedical applications. Curr. Opin. Biomed. Eng. 2021, 18, 100243. [Google Scholar]
- Fenwick, R.B.; Oyen, D.; van den Bedem, H.; Dyson, H.J.; Wright, P.E. Modeling of Hidden Structures Using Sparse Chemical Shift Data from NMR Relaxation Dispersion. Biophys. J. 2021, 120, 296–305. [Google Scholar] [CrossRef] [PubMed]
- Krupina, N.A.; Bogdanova, N.G.; Khlebnikova, N.N.; Zolotov, N.N.; Kryzhanovskii, G.N. Benzyloxycarbonyl-Methionyl-2(S)-Cyanopyrrolidine, a Prolyl Endopeptidase Inhibitor, Modulates Depression-Like Behavior of Rats in Forced Swimming Test and Activities of Proline-Specific Peptidases in the Brain Structures. Bull. Exp. Biol. Med. 2013, 154, 606–609. [Google Scholar] [CrossRef] [PubMed]
- Nishie, M.; Sasaki, M.; Nagao, J.; Zendo, T.; Nakayama, J.; Sonomoto, K. Lantibiotic Transporter Requires Cooperative Functioning of the Peptidase Domain and the ATP Binding Domain. J. Biol. Chem. 2011, 286, 11163–11169. [Google Scholar] [CrossRef] [PubMed]
- Liu, D.Y.; Zhang, L.L.; Wang, Y.C.; Li, Z.R.; Wang, Z.H.; Han, J.C. Effect of high hydrostatic pressure on solubility and conformation changes of soybean protein isolate glycated with flaxseed gum. Food Chem. 2020, 333, 127530. [Google Scholar] [CrossRef] [PubMed]
- Polokhin, A.A.; Savelyev, M.S.; Podgaetsky, V.M.; Neklyudov, I.A.; Pavlov, A.A. Study of Structural Changes of Bovine Serum Albumin Occurring as a Result of Heating Using Methods of Raman Spectroscopy. In Proceedings of the IEEE Russia Section Young Researchers in Electrical and Electronic Engineering Conference (EIConRus), St. Petersburg Electrotechnical University LETI, St. Petersburg, Russia, 1–3 February 2017; pp. 56–57. [Google Scholar]
- Ur, V.F.; Kokurina, N.Y. Effect of Water on the Temperatures of Human Immunoglobulin Conformation Transitions. Russ. J. Phys. Chem. A 2013, 87, 1632–1637. [Google Scholar]
- Leon, D.; Vermeuel, M.P.; Gupta, P.; Bunagan, M.R. The effect of salt and temperature on the conformational changes of P1LEA-22, a repeat unit of plant Late Embryogenesis Abundant proteins. J. Pept. Sci. 2020, 26, e3247. [Google Scholar] [CrossRef]
- Liu, G.X.; Li, J.; Tu, Z.C.; Sha, X.M.; Wang, H.; Wang, Z.X. Investigation of conformation change of glycated ovalbumin obtained by Co-60 gamma-ray irradiation under drying treatment. Innov. Food Sci. Emerg. Technol. 2018, 47, 286–291. [Google Scholar] [CrossRef]
- Mir, S.; Ashraf, S.; Saeed, M.; Rahman, A.U.; Ul-Haq, Z. Protonation states at different pH, conformational changes and impact of glycosylation in synapsin Ia. Phys. Chem. Chem. Phys. 2021, 23, 16718–16729. [Google Scholar] [CrossRef] [PubMed]
- Rodrigues, R.M.; Avelar, Z.; Vicente, A.A.; Petersen, S.B.; Pereira, R.N. Influence of moderate electric fields in beta-lactoglobulin thermal unfolding and interactions. Food Chem. 2020, 304, 125442. [Google Scholar] [CrossRef] [PubMed]
- Jain, S.S.; Suresh, A.; Pirogova, E. Effects of oscillating electric fields on conotoxin peptide conformation: A molecular dynamic simulation study. J. Mol. Graph. Model. 2021, 103, 107799. [Google Scholar] [CrossRef]
- Xie, Y.; Pan, Y.F.; Zhang, R.; Liang, Y.; Li, Z.C. Modulating protein behaviors on responsive surface by external electric fields: A molecular dynamics study. Appl. Surf. Sci. 2015, 326, 55–65. [Google Scholar] [CrossRef]
- Hayashi, S.; Kakikawa, M. Exposure to 60 Hz magnetic field can affect membrane proteins and membrane potential in human cancer cells. Electromagn. Biol. Med. 2021, 40, 459–466. [Google Scholar] [CrossRef]
- Baruah, I.; Borgohain, G. Structural and functional changes of the protein beta-lactoglobulin under thermal and electrical processing conditions. Biophys. Chem. 2020, 267, 106479. [Google Scholar] [CrossRef]
- Zang, Z.Y.; Yan, S.H.; Hana, X.H.; Wei, D.S.; Cui, H.L.; Du, C.L. Temperature- and pH-dependent protein conformational changes investigated by terahertz dielectric spectroscopy. Infrared Phys. Technol. 2019, 98, 260–265. [Google Scholar] [CrossRef]
- Wei, W.; Hu, W.; Zhang, X.Y.; Zhang, F.P.; Sun, S.Q.; Liu, Y.; Xu, C.H. Analysis of protein structure changes and quality regulation of surimi during gelation based on infrared spectroscopy and microscopic imaging. Sci. Rep. 2018, 8, 5566. [Google Scholar] [CrossRef]
- Budi, A.; Legge, S.; Treutlein, H.; Yarovsky, I. Effect of external stresses on protein conformation: A computer modelling study. Eur. Biophys. J. 2004, 33, 121–129. [Google Scholar] [CrossRef]
- Huang, I.S.; Tsai, M.K. Interplay between Polarizability and Hydrogen Bond Network of Water: Reparametrizing the Flexible Single-Point-Charge Water Model by the Nonlinear Adaptive Force Matching Approach. J. Phys. Chem. A 2018, 122, 4654–4662. [Google Scholar] [CrossRef]
- Lynn, S.; Silva, Y.R.E.; Diambra, L.; McCarthy, A.N.; Liping, L.; Ru, B.; Román, C.L.; Maiztegui, B.; Flores, L.E.; Gagliardino, J.J. A new analogue of islet neogenesis associated protein with higher structural and plasma stability. J. Biomol. Struct. Dyn. 2021, 39, 766–776. [Google Scholar] [CrossRef]
- Muller, W.A.; Sarkis, J.R.; Marczak, L.D.F.; Muniz, R. Molecular dynamics study of the effects of static and oscillating electric fields in ovalbumin. Innov. Food Sci. Emerg. Technol. 2022, 75, 102911. [Google Scholar] [CrossRef]
- Vagadia, B.H.; Vanga, S.K.; Singh, A.; Raghavan, V. Effects of thermal and electric fields on soybean trypsin inhibitor protein: A molecular modelling study. Innov. Food Sci. Emerg. Technol. 2016, 35, 9–20. [Google Scholar] [CrossRef]
- Robertson, A.; Luttmann, E.; Pande, V.S. Effects of long-range electrostatic forces on simulated protein folding kinetics. J. Comput. Chem. 2008, 29, 694–700. [Google Scholar] [CrossRef] [PubMed]
- Jiang, Z.T.; You, L.; Dou, W.H.; Sun, T.T.; Xu, P. Effects of an Electric Field on the Conformational Transition of the Protein: A Molecular Dynamics Simulation Study. Polymers 2019, 11, 282. [Google Scholar] [CrossRef] [PubMed]
- Fernandes, H.S.; Sousa, S.F.; Cerqueira, N. VMD Store-A VMD Plugin to Browse, Discover, and Install VMD Extensions. J. Chem. Inf. Model. 2019, 59, 4519–4523. [Google Scholar] [CrossRef] [PubMed]
- Lynn, S.; Silva, Y.R.E.; Diambra, L.; McCarthy, A.N.; Liping, L.; Ru, B.; Román, C.L.; Maiztegui, B.; Flores, L.E.; Gagliardino, J.J. The Effect of External Electric Field on the Conformational Integrity of Trypsin Inhibitor: A Molecular Model Study. Russ. J. Phys. Chem. A 2022, 96, 2533–2540. [Google Scholar]
- Cazals, F.; Tetley, R. Characterizing molecular flexibility by combining least root mean square deviation measures. Proteins-Struct. Funct. Bioinform. 2019, 87, 380–389. [Google Scholar] [CrossRef]
- De Visser, S.P.; Mukherjee, G.; Ali, H.S.; Sastri, C.V.; Distributions, L.C.; Moments, E.D. and Local Electric Fields Influence Reactivity Patterns and Guide Regioselectivities in alpha-Ketoglutarate-Dependent Non-heme Iron Dioxygenases. Acc. Chem. Res. 2022, 55, 65–74. [Google Scholar] [CrossRef]
- Chen, J.H.; Gathiaka, S.; Wang, Z.J.; Thuo, M. Role of Molecular Dipoles in Charge Transport across Large Area Molecular Junctions Delineated Using Isomorphic Self-Assembled Monolayers. J. Phys. Chem. C 2017, 121, 23931–23938. [Google Scholar] [CrossRef]
- Nakagawa, H.; Tamada, T. Hydration and its Hydrogen Bonding State on a Protein Surface in the Crystalline State as Revealed by Molecular Dynamics Simulation. Front. Chem. 2021, 9, 738077. [Google Scholar] [CrossRef] [PubMed]
- Fulara, A.; Wojcik, S.; Loksztejn, A.; Dzwolak, W. De novo refolding and aggregation of insulin in a nonaqueous environment: An inside out protein remake. J. Phys. Chem. B 2008, 112, 8744–8747. [Google Scholar] [CrossRef] [PubMed]
- Wang, X.W.; Li, Y.X.; He, X.; Chen, S.D.; Zhang, J.Z.H. Effect of Strong Electric Field on the Conformational Integrity of Insulin. J. Phys. Chem. A 2014, 118, 8942–8952. [Google Scholar] [CrossRef] [PubMed]
- Sraphet, S.; Javadi, B. Application of Hierarchical Clustering to Analyze Solvent-Accessible Surface Area Patterns in Amycolatopsis lipases. Biology 2022, 11, 652. [Google Scholar] [CrossRef] [PubMed]
- Campos, J.S.P.; Meriño-Cabrera, Y.B.; Mantilla-Afanador, J.G.; Lima, G.D.A.; Barbosa, S.L.; Vital, C.E.; Barros, R.; Rodrigues-Junior, N.; Oliveira, E.E.; Oliveira, M.G.A. Proteolytic enzymes in the salivary glands of the Neotropical brown stink bug Euschistus heros: Reduced activities in imidacloprid-resistant strains. Ann. Appl. Biol. 2021, 179, 85–95. [Google Scholar] [CrossRef]
- Stanojevic, S.P.; Barac, M.B.; Kostic, A.Z.; Pesic, M.B. Trypsin inhibitor content and activity of soaking water whey as waste in soy milk processing. J. Environ. Sci. Health Part B-Pestic. Food Contam. Agric. Wastes 2021, 56, 292–296. [Google Scholar] [CrossRef]
- Serquiz, A.C.; Machado, R.J.A.; Serquiz, R.P.; Lima, V.C.O.; de Carvalho, F.M.C.; Carneiro, M.A.A.; Maciel, B.L.L.; Uchôa, A.F.; Santos, E.A.; Morais, A.H.A. Supplementation with a new trypsin inhibitor from peanut is associated with reduced fasting glucose, weight control, and increased plasma CCK secretion in an animal model. J. Enzym. Inhib. Med. Chem. 2016, 31, 1261–1269. [Google Scholar] [CrossRef]













Disclaimer/Publisher’s Note: The statements, opinions and data contained in all publications are solely those of the individual author(s) and contributor(s) and not of MDPI and/or the editor(s). MDPI and/or the editor(s) disclaim responsibility for any injury to people or property resulting from any ideas, methods, instructions or products referred to in the content. |
© 2024 by the authors. Licensee MDPI, Basel, Switzerland. This article is an open access article distributed under the terms and conditions of the Creative Commons Attribution (CC BY) license (https://creativecommons.org/licenses/by/4.0/).
Share and Cite
Hou, M.; Zheng, K.; Chu, F.; Jiang, Y.; Yang, C.; Jiang, C.; Xue, L. Molecular Study on Conformational Changes in Trypsin Inhibitors in Multidirectional Electrostatic Fields. Appl. Sci. 2024, 14, 1213. https://doi.org/10.3390/app14031213
Hou M, Zheng K, Chu F, Jiang Y, Yang C, Jiang C, Xue L. Molecular Study on Conformational Changes in Trypsin Inhibitors in Multidirectional Electrostatic Fields. Applied Sciences. 2024; 14(3):1213. https://doi.org/10.3390/app14031213
Chicago/Turabian StyleHou, Mingyan, Kai Zheng, Fenghong Chu, Youhua Jiang, Chuankai Yang, Chao Jiang, and Liang Xue. 2024. "Molecular Study on Conformational Changes in Trypsin Inhibitors in Multidirectional Electrostatic Fields" Applied Sciences 14, no. 3: 1213. https://doi.org/10.3390/app14031213
APA StyleHou, M., Zheng, K., Chu, F., Jiang, Y., Yang, C., Jiang, C., & Xue, L. (2024). Molecular Study on Conformational Changes in Trypsin Inhibitors in Multidirectional Electrostatic Fields. Applied Sciences, 14(3), 1213. https://doi.org/10.3390/app14031213
