In-Plane Structural Analysis of Coated Masonry Walls via a Homogenized Model
Abstract
1. Introduction
2. Background on the Homogenization Process
- Step 1, xy-homogenization: it is carried out in-wall-plane () and is applied to the unreinforced masonry only;
- Step 2, z-homogenization: it is performed out-of-wall-plane (along the normal direction z) and is applied to a three-layer medium, standing for the coated wall.
2.1. xy-Homogenization
2.2. z-Homogenization
3. Stress Distribution in the Three-Layer Model
3.1. Normal Stress Distribution
3.2. Self-Stress State
3.3. Shear Stress Distribution
4. Static Structural Analysis and Model Validation
4.1. Sample Systems and FE Models
- 3LM: a non-homogeneous three-layer model, denoted as “fine model”, composed of three Cauchy continuum bodies, defined in a 3D space (Figure 4a). The internal medium stands for the homogenized unreinforced masonry, and, therefore, it obeys to a hyperelastic orthotropic linear law whose in-plane constitutive parameters are reported in Table 2-step 1. Its equivalent mass density is derived by simple average operations on volume, from which . The two external layers stand for the SFRM coatings, modeled as isotropic and homogeneous medium whose characteristics are in Table 1. The out-of-plane elastic moduli are assumed to be equal to those in-plane, while the out-of-plane Poisson ratios are set to zero. Quadratic serendipity tetrahedral finite elements are used. Adherence conditions are assured at the each element boundary. The model has 239,251 elements and 1,040,793 d.o.f. (the mesh pattern is shown in Figure A1a).
- 1LM-3D: a homogeneous one-layer model, consisting of one Cauchy continuum body defined in a 3D space (Figure 4b). It stands for the reinforced masonry, previously homogenized, obeying to a hyperelastic orthotropic linear law whose in-plane constitutive parameters are described in Table 2-step 2. The equivalent mass density is determined through straightforward averaging operations on volume, from which . The out-of-plane elastic moduli and Poisson factors are assumed to be equal to those in-plane and zero, respectively. Quadratic serendipity tetrahedral finite elements are used. The model has 27,859 elements and 122,355 d.o.f. (the mesh pattern is shown in Figure A1b).
- 1LM-2D: a homogeneous one-layer model, consisting of one shell element behaving as a Cauchy continuum in plane stress. Also this model stands for the homogenized reinforced masonry, and, therefore it has the same elastic and mass characteristics of the 1LM-3D. The model has 1800 rectangular elements and 5490 d.o.f. (the mesh pattern is shown in Figure A1c).
4.2. Results
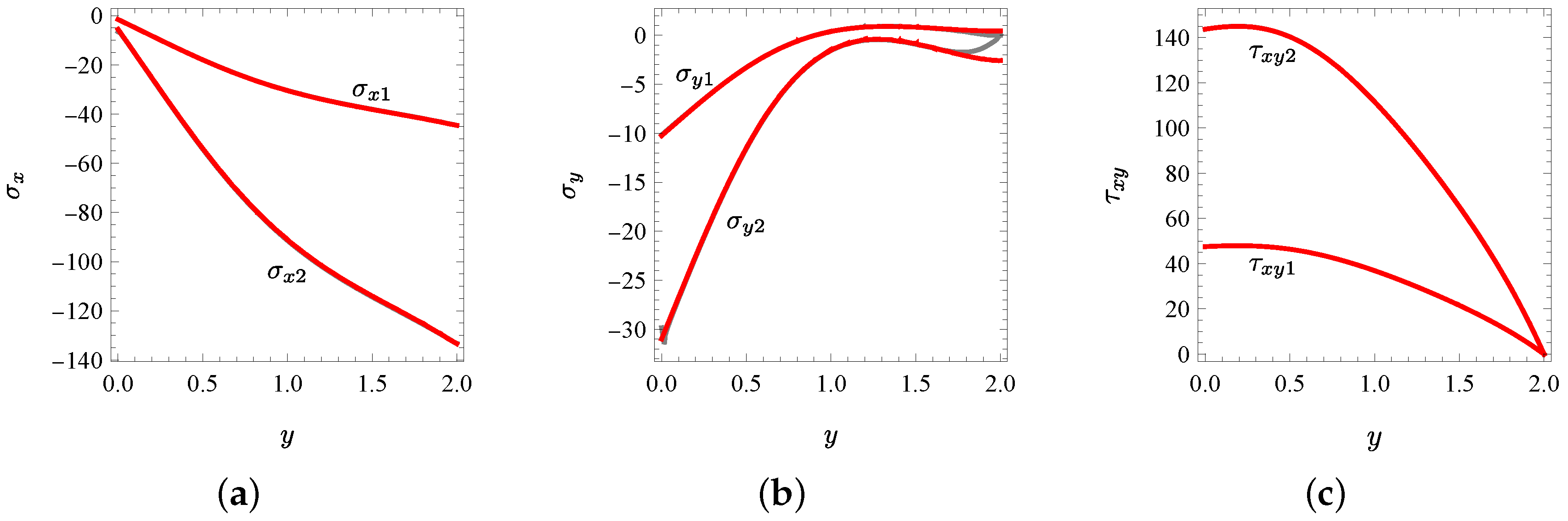
4.2.1. Sample System 1
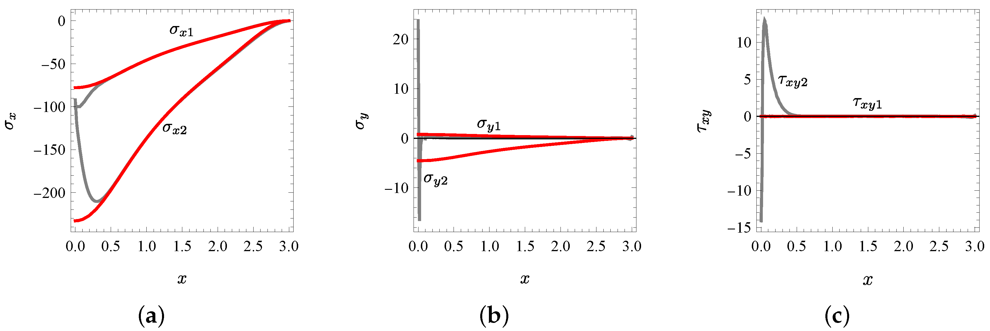
4.2.2. Sample System 2
5. Modal Dynamic Analysis
5.1. Benchmark Results
5.2. Parametric Analysis
6. Conclusions
- Homogenized FE models of coated wall systems enable structural analysis to be performed with a significantly reduced computational burden. This is especially true when much coarser 2D homogeneous models are used, while still achieving excellent results. This outcome, which was recently discovered in [30] based on a few preliminary structural analyses on scale models, has been corroborated here. For instance, concerning Sample System 1, the calculation time of the refined model (3LM) is found to be 236 times greater than that of the homogenized one (1LM-2D).
- The homogeneous model is able to accurately describe the local displacement field of the non-homogeneous model, while it fits on average the stress fields, due to the fast changes occurring across the constituent boundaries. However, when the average stress is partitioned between masonry and reinforcement via closed-form formulae, the stress peaks in each element are captured, in spite of the fact the homogeneous model is aimed at describing global, and not local, behavior. The effect of a self-stress state in the elements, triggered by the Poisson effect, is also considered. It has been found to be significant mainly at the reinforcement layers. These results are of particular importance in structural field, since: (i) local analyses are aimed at strength verification of each component (i.e., masonry and reinforcement), to asses the effectiveness of SFRM application; (ii) global analyses, on the other hand, allow for estimating how the reinforcement modifies the overall mechanical behavior.
- As evidenced by parametric analyses (within the explored range of parameters), it has been observed that increasing the elastic moduli or the thickness of the reinforcement results in an increase in the natural frequencies of a given structural system, due to the application of reinforcement. This increase can be up to approximately 50%, depending on the elastic moduli of the reinforcement. On the other hand, the thickness of the coating has a less significant impact on the system dynamics, as it leads to frequency increments of up to 10%.
Author Contributions
Funding
Data Availability Statement
Conflicts of Interest
Appendix A. Equivalent Springs
- For the extension and transverse dilatation along x (Figure 3a,b):
- For the shear (Figure 3c):
Appendix B. Mesh Pattern Representations

References
- D’Ayala, D.; Speranza, E. Definition of collapse mechanisms and seismic vulnerability of historic masonry buildings. Earthq. Spectra 2003, 19, 479–509. [Google Scholar] [CrossRef]
- Bhattacharya, S.; Nayak, S.; Dutta, S.C. A critical review of retrofitting methods for unreinforced masonry structures. Int. J. Disaster Risk Reduct. 2014, 7, 51–67. [Google Scholar] [CrossRef]
- Yavartanoo, F.; Kang, T.H.K. Retrofitting of unreinforced masonry structures and considerations for heritage-sensitive constructions. J. Build. Eng. 2022, 49, 103993. [Google Scholar] [CrossRef]
- Messali, F.; Metelli, G.; Plizzari, G. Experimental results on the retrofitting of hollow brick masonry walls with reinforced high performance mortar coatings. Constr. Build. Mater. 2017, 141, 619–630. [Google Scholar] [CrossRef]
- Kouris, L. Alexandros, S.; Triantafillou, T.C. State-of-the-art on strengthening of masonry structures with textile reinforced mortar (TRM). Constr. Build. Mater. 2018, 188, 1221–1233. [Google Scholar] [CrossRef]
- Gattesco, N.; Boem, I.; Dudine, A. Diagonal compression tests on masonry walls strengthened with a GFRP mesh reinforced mortar coating. Bull. Earthq. Eng. 2015, 13, 1703–1726. [Google Scholar] [CrossRef]
- Angiolilli, M.; Gregori, A.; Pathirage, M.; Cusatis, G. Fiber Reinforced Cementitious Matrix (FRCM) for strengthening historical stone masonry structures: Experiments and computations. Eng. Struct. 2020, 224, 111102. [Google Scholar] [CrossRef]
- Lucchini, S.S.; Facconi, L.; Minelli, F.; Plizzari, G. Retrofitting unreinforced masonry by steel fiber reinforced mortar coating: Uniaxial and diagonal compression tests. Mater. Struct. 2020, 53, 1–22. [Google Scholar] [CrossRef]
- Sevil, T.; Baran, M.; Bilir, T.; Canbay, E. Use of steel fiber reinforced mortar for seismic strengthening. Constr. Build. Mater. 2011, 25, 892–899. [Google Scholar] [CrossRef]
- Facconi, L.; Conforti, A.; Minelli, F.; Plizzari, G.A. Improving shear strength of unreinforced masonry walls by nano-reinforced fibrous mortar coating. Mater. Struct. 2015, 48, 2557–2574. [Google Scholar] [CrossRef]
- Facconi, L.; Minelli, F.; Lucchini, S.; Plizzari, G. Experimental study of solid and hollow clay brick masonry walls retrofitted by steel fiber-reinforced mortar coating. J. Earthq. Eng. 2020, 24, 381–402. [Google Scholar] [CrossRef]
- Di Nino, S.; D’Annibale, F.; Luongo, A. A simple model for damage analysis of a frame-masonry shear-wall system. Int. J. Solids Struct. 2017, 129, 119–134. [Google Scholar] [CrossRef]
- Noor-E-Khuda, S.; Dhanasekar, M. Masonry walls under combined in-plane and out-of-plane loadings. J. Struct. Eng. 2018, 144, 04017186. [Google Scholar] [CrossRef]
- Di Nino, S.; Zulli, D. Homogenization of ancient masonry buildings: A case study. Appl. Sci. 2020, 10, 6687. [Google Scholar] [CrossRef]
- D’Altri, A.M.; Sarhosis, V.; Milani, G.; Rots, J.; Cattari, S.; Lagomarsino, S.; Sacco, E.; Tralli, A.; Castellazzi, G.; de Miranda, S. Modeling strategies for the computational analysis of unreinforced masonry structures: Review and classification. Arch. Comput. Methods Eng. 2020, 27, 1153–1185. [Google Scholar] [CrossRef]
- Di Nino, S. Numerical investigations on infilled frames and predictive formulae in the elastic regime. Eng. Struct. 2022, 250, 113349. [Google Scholar] [CrossRef]
- Pande, G.N.; Liang, J.X.; Middleton, J. Equivalent elastic moduli for brick masonry. Comput. Geotech. 1989, 8, 243–265. [Google Scholar] [CrossRef]
- Cluni, F.; Gusella, V. Homogenization of non-periodic masonry structures. Int. J. Solids Struct. 2004, 41, 1911–1923. [Google Scholar] [CrossRef]
- Lourenço, P.B.; Milani, G.; Tralli, A.; Zucchini, A. Analysis of masonry structures: Review of and recent trends in homogenization techniques. Can. J. Civ. Eng. 2007, 34, 1443–1457. [Google Scholar] [CrossRef]
- Zucchini, A.; Lourenço, P.B. A micro-mechanical homogenisation model for masonry: Application to shear walls. Int. J. Solids Struct. 2009, 46, 871–886. [Google Scholar] [CrossRef]
- Taliercio, A. Closed-form expressions for the macroscopic in-plane elastic and creep coefficients of brick masonry. Int. J. Solids Struct. 2014, 51, 2949–2963. [Google Scholar] [CrossRef]
- Di Nino, S.; Luongo, A. A simple homogenized orthotropic model for in-plane analysis of regular masonry walls. Int. J. Solids Struct. 2019, 167, 156–169. [Google Scholar] [CrossRef]
- Cecchi, A.; Milani, G.; Tralli, A. In-plane loaded CFRP reinforced masonry walls: Mechanical characteristics by homogenisation procedures. Compos. Sci. Technol. 2004, 64, 2097–2112. [Google Scholar] [CrossRef]
- Milani, G. Kinematic FE limit analysis homogenization model for masonry walls reinforced with continuous FRP grids. Int. J. Solids Struct. 2011, 48, 326–345. [Google Scholar] [CrossRef]
- Bertolesi, E.; Milani, G.; Poggi, C. Simple holonomic homogenization model for the non-linear static analysis of in-plane loaded masonry walls strengthened with FRCM composites. Compos. Struct. 2016, 158, 291–307. [Google Scholar] [CrossRef]
- Zampieri, P.; Simoncello, N.; Libreros, J.G.; Pellegrino, C. Bond behavior of steel fiber-reinforced mortar (SFRM) applied onto masonry substrate. Arch. Civ. Mech. Eng. 2020, 20, 92. [Google Scholar] [CrossRef]
- Buyukkaragoz, A.; Kopraman, Y. In-plane behaviour of masonry brick walls strengthened with mortar from two sides. In Structures; Elsevier: Amsterdam, The Netherlands, 2021; Volume 29, pp. 1627–1639. [Google Scholar]
- Facconi, L.; Lucchini, S.S.; Minelli, F.; Plizzari, G.A. Analytical model for the in-plane resistance of masonry walls retrofitted with steel fiber reinforced mortar coating. Eng. Struct. 2023, 275, 115232. [Google Scholar] [CrossRef]
- Lucchini, S.S.; Facconi, L.; Minelli, F.; Plizzari, G.A. Analytical prediction of the seismic resistance of masonry buildings retrofitted by Steel Fiber Reinforced Mortar coatings. Procedia Struct. Integr. 2023, 44, 2286–2293. [Google Scholar] [CrossRef]
- Di Nino, S.; Luongo, A. Two-step homogenized elastic model for in-plane analysis of coated masonry walls. Eur. J. -Mech.-A/Solids 2023, 102, 105107. [Google Scholar] [CrossRef]
- Lewinski, T.; Telega, J.J. Plates, Laminates and Shells: Asymptotic Analysis and Homogenization; World Scientific: London, UK, 2000; Volume 52. [Google Scholar]
- Pagano, N.J. Free edge stress fields in composite laminates. Int. J. Solids Struct. 1978, 14, 401–406. [Google Scholar] [CrossRef]
















| Brick | |
| Mortar | |
| SFRM Coating |
| Step 1: xy-Homogenization (Equation (2)) | Step 2: z-Homogenization (Equation (4)) |
|---|---|
| A | % | % | - | |
| % | % | - | ||
| B | % | % | % | |
| % | % | % | ||
| C | % | % | % | |
| % | % | % | ||
| D | % | % | % | |
| % | % | % |
| Modal Frequency | 3LM | 1LM-3D | 1LM-2D |
|---|---|---|---|
| (a) | |||
| (%) | |||
| (%) | |||
| (%) | |||
| (b) | |||
| (%) | |||
| (%) | |||
| (%) | |||
Disclaimer/Publisher’s Note: The statements, opinions and data contained in all publications are solely those of the individual author(s) and contributor(s) and not of MDPI and/or the editor(s). MDPI and/or the editor(s) disclaim responsibility for any injury to people or property resulting from any ideas, methods, instructions or products referred to in the content. |
© 2024 by the authors. Licensee MDPI, Basel, Switzerland. This article is an open access article distributed under the terms and conditions of the Creative Commons Attribution (CC BY) license (https://creativecommons.org/licenses/by/4.0/).
Share and Cite
Di Nino, S.; Luongo, A. In-Plane Structural Analysis of Coated Masonry Walls via a Homogenized Model. Appl. Sci. 2024, 14, 1091. https://doi.org/10.3390/app14031091
Di Nino S, Luongo A. In-Plane Structural Analysis of Coated Masonry Walls via a Homogenized Model. Applied Sciences. 2024; 14(3):1091. https://doi.org/10.3390/app14031091
Chicago/Turabian StyleDi Nino, Simona, and Angelo Luongo. 2024. "In-Plane Structural Analysis of Coated Masonry Walls via a Homogenized Model" Applied Sciences 14, no. 3: 1091. https://doi.org/10.3390/app14031091
APA StyleDi Nino, S., & Luongo, A. (2024). In-Plane Structural Analysis of Coated Masonry Walls via a Homogenized Model. Applied Sciences, 14(3), 1091. https://doi.org/10.3390/app14031091
