Ultrasonic Molding of Poly(3-hydroxybutyrate) and Its Clay Nanocomposites: Efficient Microspecimens Production with Minimal Material Loss and Degradation
Abstract
1. Introduction
2. Materials and Methods
2.1. Materials
2.2. Compounding Extrusion of P3HB for Nanocomposite Preparation
2.3. Conventional Microinjection
2.4. Ultrasonic Micromolding
- (i)
- Robust clamping unit: The Sonorus 2G® is equipped with a robust clamping unit that can exert up to 150 kN of force, significantly reducing the occurrence of burrs, which was a common issue in previous designs. This feature ensures cleaner and more precise moldings.
- (ii)
- Nodal point ultrasonic molding configuration: The Sonorus 2G® integrates a nodal point configuration that strategically aligns the sonotrode nodal point (where the longitudinal amplitude is zero) with the mold feeding channel. This innovative alignment optimizes the transmission and focus of ultrasonic energy, thereby enhancing the precision and stability of the molding process.
2.5. Measurements
3. Results and Discussion
3.1. Optimization of USM Processing Parameters
3.2. Comparison of Molecular Integrity and Morphology of P3HB Processed by USM and Conventional Injection
3.2.1. Molecular Weight Retention: GPC Analysis
3.2.2. Shape and Morphology: SEM Analysis
3.2.3. Chemical Structure: NMR and FTIR Results
3.2.4. X-Ray Diffraction Patterns of P3HB-Processed Samples
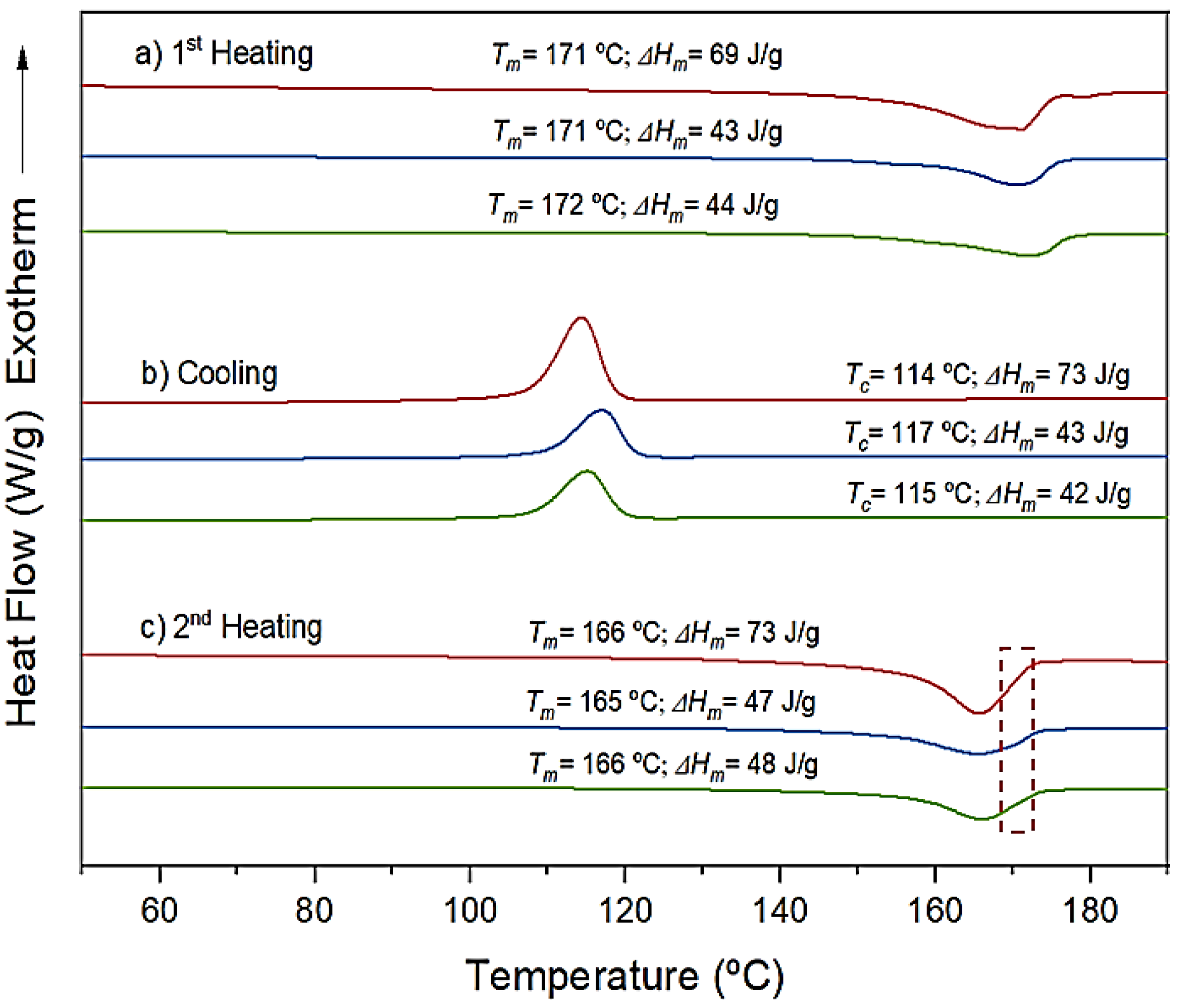
3.3. Thermal Properties and Crystallinity of Micromolded Specimens
3.4. USM Processing of P3HB/C20 and P3HB/C116 Nanocomposites: Molecular Weight Distribution
3.5. Morphology and XRD Analysis of P3HB/C20 and P3HB/C116 Nanocomposites
3.6. Thermal Stability and Crystallinity of P3HB Nanocomposites
3.7. Isothermal Crystallization of P3HB/C20 Nanocomposites: Lamellar Thickness and Equilibrium Melting Temperature
3.8. Influence of Loaded Nanoclays on Mechanical Properties
4. Conclusions
Supplementary Materials
Author Contributions
Funding
Institutional Review Board Statement
Informed Consent Statement
Data Availability Statement
Acknowledgments
Conflicts of Interest
References
- Alves, M.I.; Macagnan, K.L.; Rodrigues, A.A.; De Assis, D.A.; Torres, M.M.; De Oliveira, P.D.; Furlan, L.; Vendruscolo, C.T.; Moreira, A.D.S. Poly(3-Hydroxybutyrate)-P(3HB): Review of production process technology. Ind. Biotechnol. 2017, 13, 192–208. [Google Scholar] [CrossRef]
- Doyle, C.; Tanner, E.T.; Bonfield, W. In vitro and in vivo evaluation of polyhydroxybutyrate and of polyhydroxybutyrate reinforced with hydroxyapatite. Biomaterials 1991, 12, 841–847. [Google Scholar] [CrossRef] [PubMed]
- Hill, R.G. Biomedical Polymers. In Biomaterials, Artificial Organs and Tissue Engineering, 1st ed.; Hench, L.L., Jones, J.R., Eds.; Woodhead Publishing: Cambridge, UK, 2005; pp. 97–106. [Google Scholar]
- Righetti, M.C.; Cinelli, P.; Aliotta, L.; Bianchi, E.; Tricoli, F.; Seggiani, M.; Lazzeri, A. Immiscible PHB/PBS and PHB/PBSA blends: Morphology, phase composition and modelling of elastic modulus. Polym. Int. 2022, 71, 47–56. [Google Scholar] [CrossRef]
- Przybysz, M.; Marć, M.; Klein, M.; Saeb, M.R.; Formela, K. Structural, mechanical and thermal behavior assessments of PCL/PHB blends reactively compatibilized with organic peroxides. Polym. Test. 2018, 67, 513–521. [Google Scholar] [CrossRef]
- Arrieta, M.P.; Samper, M.D.; Aldas, M.; López, J. On the use of PLA-PHB blends for sustainable food packaging applications. Materials 2017, 10, 1008. [Google Scholar] [CrossRef]
- Poltronieri, P.; Kumar, P. Polyhydroxyalkanoates (PHAs) in industrial applications. In Handbook of Ecomaterials; Springer International Publishing: Berlin/Heidelberg, Germany, 2018; pp. 1–30. [Google Scholar]
- Janigová, I.; Lacik, I.; Chodák, I. Thermal degradation of plasticized Poly(3-Hydroxybutyrate) investigated by DSC. Polym. Degrad. Stab. 2002, 77, 35–41. [Google Scholar] [CrossRef]
- Chen, Y.; Chou, I.N.; Tsai, Y.H.; Wu, H.S. Thermal degradation of poly (3-hydroxybutyrate) and poly (3-hydroxybutyrate-co-3-hydroxyvalerate) in drying treatment. J. Appl. Polym. Sci. 2013, 130, 3659–3667. [Google Scholar] [CrossRef]
- Vitorino, M.B.C.; Cipriano, P.B.; Wellen, R.M.R.; Canedo, E.L.; Carvalho, L.H. Nonisothermal melt crystallization of PHB/babassu compounds: Kinetics of crystallization. J. Therm. Anal. Calorim. 2016, 126, 755–769. [Google Scholar] [CrossRef]
- Erceg, M.; Kovacić, T.; Klarić, I. Thermal Degradation and Kinetics of Poly (3-hydroxybutyrate)/Organoclay Nanocomposites. Macromol. Symp. 2008, 267, 57–62. [Google Scholar] [CrossRef]
- Lee, M.Y.; Lee, S.N.; Park, W.H. Thermal stabilization of poly (3-hydroxybutyrate) by poly (glycidyl methacrylate). J. Appl. Polym. Sci. 2002, 83, 2945–2952. [Google Scholar] [CrossRef]
- Mohamed El-Hadi, A. Investigation of the effect of nano-clay type on the non-isothermal crystallization kinetics and morphology of poly (3 (R)-hydroxybutyrate) PHB/clay nanocomposites. Polym. Bull. 2014, 71, 1449–1470. [Google Scholar] [CrossRef]
- García-Quiles, L.; Cuello, Á.F.; Castell, P. Sustainable materials with enhanced mechanical properties based on industrial polyhydroxyalkanoates reinforced with organomodified sepiolite and montmorillonite. Polymers 2019, 11, 696. [Google Scholar] [CrossRef] [PubMed]
- Puglia, D.; Fortunati, E.; D’Amico, D.A.; Manfredi, L.B.; Cyras, V.P.; Kenny, J.M. Influence of organically modified clays on the properties and disintegrability in compost of solution cast poly (3-hydroxybutyrate) films. Polym. Degrad. Stab. 2014, 99, 127–135. [Google Scholar] [CrossRef]
- Krzykowska, B.; Czerniecka-Kubicka, A.; Białkowska, A.; Bakar, M.; Hęclik, K.; Dobrowolski, L.; Longosz, M.; Zarzyka, I. Polymer Biocompositions and Nanobiocomposites Based on P3HB with Polyurethane and Montmorillonite. Int. J. Mol. Sci. 2023, 24, 17405. [Google Scholar] [CrossRef]
- Díaz, A.; Franco, L.; Casas, M.T.; del Valle, L.J.; Aymamí, J.; Olmo, C.; Puiggalí, J. Preparation of micro-molded exfoliated clay nanocomposites by means of ultrasonic technology. J. Polym. Res. 2014, 21, 584. [Google Scholar] [CrossRef]
- Olmo, C.; Amestoy, H.; Casas, M.T.; Martínez, J.C.; Franco, L.; Sarasua, J.R.; Puiggalí, J. Preparation of nanocomposites of poly (ε-caprolactone) and multi-walled carbon nanotubes by ultrasound micro-molding. influence of nanotubes on melting and crystallization. Polymers 2017, 9, 322. [Google Scholar] [CrossRef]
- Sacristán, M.; Plantá, X.; Morell, M.; Puiggalí, J. Effects of ultrasonic vibration on the micro-molding processing of polylactide. Ultrason. Sonochem. 2014, 21, 376–386. [Google Scholar] [CrossRef]
- Cheng, C.-C. Micromolding of polymer nanocomposites diagnosed by ultrasound. Polym. Sci. Eng. 2010, 30, 95–108. [Google Scholar] [CrossRef]
- Heredia-Rivera, U.; Ferrer, I.; Vázquez, E. Ultrasonic molding technology: Recent advances and potential applications in the medical industry. Polymers 2019, 11, 667. [Google Scholar] [CrossRef]
- Olmo Osuna, C. Ultrasound Micromolding Technique and Real-Time X-Ray Diffraction Using Synchrotron Radiation: Applications to Porous Scaffolds for Biomedical Devices and Study of Thermal-Induced Transitions. Ph.D. Thesis, Universitat Politècnica de Catalunya, Barcelona, Spain, 2021. [Google Scholar]
- Masato, D.; Babenko, M.; Shriky, B.; Gough, T.; Lucchetta, G.; Whiteside, B. Comparison of crystallization characteristics and mechanical properties of polypropylene processed by ultrasound and conventional micro-injection molding. J. Adv. Manuf. Technol. 2018, 99, 113–125. [Google Scholar] [CrossRef]
- Zeng, K.; Wu, X.Y.; Liang, X.; Xu, B.; Wang, Y.T.; Chen, X.Q.; Cheng, R.; Luo, F. Process and properties of micro-ultrasonic powder molding with polypropylene. J. Adv. Manuf. Technol. 2014, 70, 515–522. [Google Scholar] [CrossRef]
- Montes, D.; Janer, M.; Caminati, R.; Plantà, X. Experimental study on the bending of a polyamide tube using high-power ultrasound. J. Adv. Manuf. Syst. 2021, 20, 191–204. [Google Scholar] [CrossRef]
- ISO 527—1:2012; Plastics—Determination od Tensile Properties. International Organization for Standardization: Geneva, Switzerland, 2012.
- Sukruansuwan, V.; Napathorn, S.C. Use of agro-industrial residue from the canned pineapple industry for polyhydroxybutyrate production by Cupriavidus necator strain A-04. Biotechnol. Biofuels 2018, 11, 202. [Google Scholar] [CrossRef]
- Suwannasing, W.; Tanamool, V.; Singhaboot, P.; Kaewkannetra, P. Valorisation of Pineapple Cannery Waste as a Cost Effective Carbon Source for Poly 3-hydroxyabutyrate (P3HB) Production. Polymers 2023, 15, 3297. [Google Scholar] [CrossRef] [PubMed]
- Penkhrue, W.; Jendrossek, D.; Khanongnuch, C.; Pathomareeid, W.; Aizawa, T.; Behrens, R.L.; Lumyongid, S. Response surface method for polyhydroxybutyrate (PHB) bioplastic accumulation in Bacillus drentensis BP17 using pineapple peel. PLoS ONE 2020, 15, e0230443. [Google Scholar] [CrossRef]
- Vega-Castro, O.; Contreras-Calderon, J.; León, E.; Segura, A.; Arias, M.; Pérez, L.; Sobral, P.J.A. Characterization of a polyhydroxyalkanoate obtained from pineapple peel waste using Ralsthonia eutropha. J. Biotechnol. 2016, 231, 232–238. [Google Scholar] [CrossRef]
- Taguchi, S.; Iwata, T.; Abe, H.; Doi, Y. Poly(hydroxyalkanoate)s. In Polymer Science: A Comprehensive Reference, 1st ed.; Moeller, M., Matyjaszewski., K., Eds.; Elsevier Science: Amsterdam, The Netherlands, 2012; Volume 1–10, pp. 157–182. [Google Scholar]
- Don, T.; Chen, P.; Shang, W.W.; Chiu, H. Studies on spherulitic morphology and crystallization kinetics of poly (3-hydroxybutyrate) blended with a medium-molecular-weight poly (ethylene oxide). Tamk J. Sci. Eng. 2006, 9, 279. [Google Scholar]












| Sample | Mn (g/mol) | Mw (g/mol) | PI | Amplitude (%) | Plunger Velocity (mm/s) |
|---|---|---|---|---|---|
| P3HB (Pellet) | 58,700 | 135,400 | 2.3 | ||
| P3HB (USM) | 57,000 | 134,000 | 2.3 | 36 | 2.5 |
| P3HB (USM) | 43,308 | 90,768 | 2.1 | 40 | 4.0 |
| P3HB (USM) | 40,811 | 90,605 | 2.2 | 43 | 4.5 |
| P3HB (USM) | 33,739 | 71,031 | 2.1 | 45 | 5.0 |
| P3HB (Microinjection) | 41,182 | 85,466 | 2.0 |
| Sample | E (MPa) | σmax (MPa) | ε (%) |
|---|---|---|---|
| P3HB a | 1560 ± 76 | 31.7 ± 1.2 | 5.0 ± 0.2 |
| P3HB b | 1390 ± 45 | 25.9 ± 4.1 | 6.0 ± 0.3 |
| PHB3C20 a | 1850 ± 42 | 27.9 ± 3.5 | 3.1 ± 0.1 |
| PHB5C20 a | 1990 ± 51 | 29.2 ± 2.3 | 3.2 ± 0.2 |
| PHB8C20 a | 2140 ± 55 | 29.2 ± 3.2 | 2.7 ± 0.1 |
| PHB3C20 b | 1480 ± 62 | 26.2 ± 2.6 | 2.6 ± 0.2 |
| PHB5C20 b | 1270 ± 42 | 24.9 ± 2.8 | 2.4 ± 0.3 |
| PHB8C20 b | 1570 ± 54 | 25.2 ± 3.0 | 1.8 ± 0.2 |
| PHB3C116 a | 1840 ± 52 | 27.5 ± 3.4 | 2.5 ± 0.2 |
| PHB5C116 a | 2010 ± 84 | 26.2 ± 4.1 | 2.3 ± 0.3 |
| PHB8C116 a | 2190 ± 68 | 20.6 ± 2.6 | 1.3 ± 0.2 |
Disclaimer/Publisher’s Note: The statements, opinions and data contained in all publications are solely those of the individual author(s) and contributor(s) and not of MDPI and/or the editor(s). MDPI and/or the editor(s) disclaim responsibility for any injury to people or property resulting from any ideas, methods, instructions or products referred to in the content. |
© 2024 by the authors. Licensee MDPI, Basel, Switzerland. This article is an open access article distributed under the terms and conditions of the Creative Commons Attribution (CC BY) license (https://creativecommons.org/licenses/by/4.0/).
Share and Cite
Pérez, G.; Jin, A.; del Valle, L.J.; Fontdecaba, E.; Puiggalí, J. Ultrasonic Molding of Poly(3-hydroxybutyrate) and Its Clay Nanocomposites: Efficient Microspecimens Production with Minimal Material Loss and Degradation. Appl. Sci. 2024, 14, 11959. https://doi.org/10.3390/app142411959
Pérez G, Jin A, del Valle LJ, Fontdecaba E, Puiggalí J. Ultrasonic Molding of Poly(3-hydroxybutyrate) and Its Clay Nanocomposites: Efficient Microspecimens Production with Minimal Material Loss and Degradation. Applied Sciences. 2024; 14(24):11959. https://doi.org/10.3390/app142411959
Chicago/Turabian StylePérez, Germán, Anyi Jin, Luis J. del Valle, Enric Fontdecaba, and Jordi Puiggalí. 2024. "Ultrasonic Molding of Poly(3-hydroxybutyrate) and Its Clay Nanocomposites: Efficient Microspecimens Production with Minimal Material Loss and Degradation" Applied Sciences 14, no. 24: 11959. https://doi.org/10.3390/app142411959
APA StylePérez, G., Jin, A., del Valle, L. J., Fontdecaba, E., & Puiggalí, J. (2024). Ultrasonic Molding of Poly(3-hydroxybutyrate) and Its Clay Nanocomposites: Efficient Microspecimens Production with Minimal Material Loss and Degradation. Applied Sciences, 14(24), 11959. https://doi.org/10.3390/app142411959

