The Impact of Seasonal Variations in Rainfall and Temperature on the Performance of Wastewater Treatment Plant in the Context of Environmental Protection of Lake Como, a Tourist Region in Italy
Abstract
1. Introduction
2. Materials and Methods
- Preliminary treatment: the influent passes through a bar screen to remove large debris, followed by an equalization tank that regulates flow and balances fluctuations. The retention time for this stage is typically 1–2 h;
- Primary treatment: wastewater is sent to a primary sedimentation tank where settleable solids are removed through gravity. This stage reduces organic load and suspended solids, with a retention time of 2–4 h;
- Secondary treatment: the wastewater undergoes biological treatment in anaerobic, anoxic, and aerobic zones, where microorganisms break down organic pollutants and reduce nitrogen. Afterward, water passes through the secondary clarifier for biomass settlement. The aerobic zone requires a retention time of 4–6 h, while the clarifier generally has a retention time of 2–3 h;
- Tertiary treatment: this stage includes coagulation, sand filtration, and UV disinfection, which remove the remaining particulates and disinfect the effluent. The retention time for tertiary treatment is typically 1–2 h;
- Sludge treatment: excess sludge from the secondary clarifier undergoes thickening, digestion, and dewatering processes. The sludge digestion process, which breaks down organic matter, typically requires 15–30 days of retention, depending on the digestion method.
2.1. Data Collection Period
2.2. Quality Assurance and Laboratory Analysis
2.3. Statistical Analysis and Correlation Studies
2.4. Data Visualization
3. Results
3.1. Correlation Analysis of Environmental and WWTP Parameters
- r = −1 indicates a perfect negative correlation;
- r = 0 indicates no correlation;
- r = 1 indicates a perfect positive correlation;
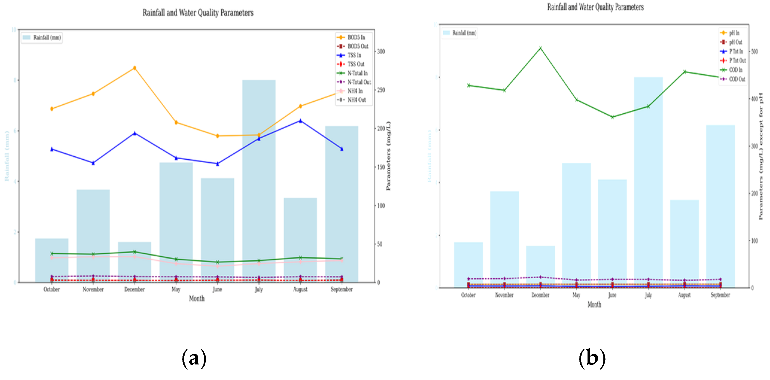
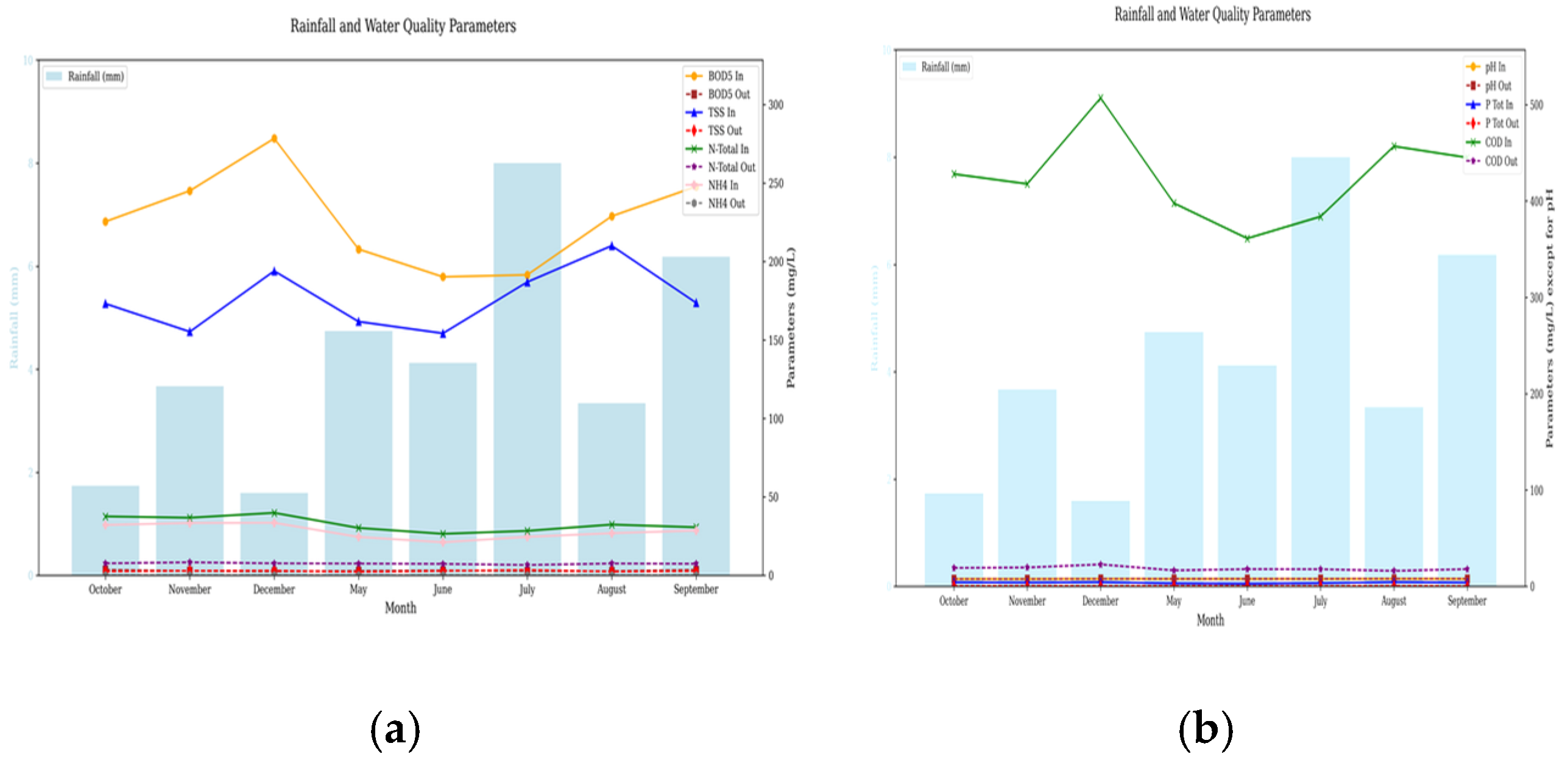
3.2. Rainfall and Wastewater Treatment Parameters
3.3. Temperature and Wastewater Treatment Parameters
3.4. Spearman Correlation Analysis of Water Quality Parameters
3.5. Rainfall Correlations (Influent and Effluent)
3.6. Temperature Correlations (Influent and Effluent)
3.7. Key Findings
- Rainfall:
- Temperature:
3.8. Temperature’s Impact on Influent and Effluent Wastewater Parameters
3.9. Rainfall’s Impact on Influent and Effluent Wastewater Parameters
3.10. Impact of Temperature on WWTP Efficiency
3.11. Impact of Rainfall on WWTP Efficiency
4. Discussion
4.1. Suggestions
- Environmental impact:
- Operational efficiency:
4.2. Limitations
- Location constraint:
- Time constraint:
- Data depth:
4.3. Applications
- Research advancement:
- Consolidation of sensor technologies:
- Climate-receptive treatment strategies:
- Green infrastructure solutions:
- Artificial intelligence:
- Longitudinal monitoring:
- Synergetic research opportunities:
5. Conclusions
Author Contributions
Funding
Institutional Review Board Statement
Informed Consent Statement
Data Availability Statement
Conflicts of Interest
References
- Bertoli, L.; Balzarolo, D.; Todini, E. On the Benefits of Collaboration between Decision Makers and Scientists: The Case of Lake Como. Hydrology 2022, 9, 187. [Google Scholar] [CrossRef]
- Fenocchi, A.; Buzzi, F.; Dresti, C.; Copetti, D. Estimation of Long-Term Series of Total Nutrient Loads Flowing into a Large Perialpine Lake (Lake Como, Northern Italy) from Incomplete Discrete Data by Governmental Monitoring. Ecol. Indic. 2023, 154, 110534. [Google Scholar] [CrossRef]
- Giussani, B.; Monticelli, D.; Gambillara, R.; Pozzi, A.; Dossi, C. Three-Way Principal Component Analysis of Chemical Data from Lake Como Watershed. Microchem. J. 2008, 88, 160–166. [Google Scholar] [CrossRef]
- Bettinetti, R.; Quadroni, S.; Boggio, E.; Galassi, S. Recent DDT and PCB Contamination in the Sediment and Biota of the Como Bay (Lake Como, Italy). Sci. Total Environ. 2016, 542, 404–410. [Google Scholar] [CrossRef] [PubMed]
- Castiglioni, S.; Davoli, E.; Riva, F.; Palmiotto, M.; Camporini, P.; Manenti, A.; Zuccato, E. Mass Balance of Emerging Contaminants in the Water Cycle of a Highly Urbanized and Industrialized Area of Italy. Water Res. 2018, 131, 287–298. [Google Scholar] [CrossRef] [PubMed]
- Pal, A.; He, Y.; Jekel, M.; Reinhard, M.; Gin, K.Y.-H. Emerging Contaminants of Public Health Significance as Water Quality Indicator Compounds in the Urban Water Cycle. Environ. Int. 2014, 71, 46–62. [Google Scholar] [CrossRef]
- Sol, D.; Laca, A.; Laca, A.; Díaz, M. Microplastics in Wastewater and Drinking Water Treatment Plants: Occurrence and Removal of Microfibres. Appl. Sci. 2021, 11, 10109. [Google Scholar] [CrossRef]
- Tchobanoglous, G.; Burton, F.L.; Stensel, H.D. Wastewater Engineering: Treatment and Reuse; McGraw-Hill Education: New York, NY, USA, 2003; ISBN 978-0-07-041878-3. [Google Scholar]
- Tram Vo, P.; Ngo, H.H.; Guo, W.; Zhou, J.L.; Nguyen, P.D.; Listowski, A.; Wang, X.C. A Mini-Review on the Impacts of Climate Change on Wastewater Reclamation and Reuse. Sci. Total Environ. 2014, 494–495, 9–17. [Google Scholar] [CrossRef]
- Carnevale Miino, M.; Galafassi, S.; Zullo, R.; Torretta, V.; Rada, E.C. Microplastics Removal in Wastewater Treatment Plants: A Review of the Different Approaches to Limit Their Release in the Environment. Sci Total Environ. 2024, 930, 172675. [Google Scholar] [CrossRef] [PubMed]
- Stabnikova, O.; Stabnikov, V.; Marinin, A.; Klavins, M.; Klavins, L.; Vaseashta, A. Microbial Life on the Surface of Microplastics in Natural Waters. Appl. Sci. 2021, 11, 11692. [Google Scholar] [CrossRef]
- Menéndez-Manjón, A.; Martínez-Díez, R.; Sol, D.; Laca, A.; Laca, A.; Rancaño, A.; Díaz, M. Long-Term Occurrence and Fate of Microplastics in WWTPs: A Case Study in Southwest Europe. Appl. Sci. 2022, 12, 2133. [Google Scholar] [CrossRef]
- Galassi, S.; Guzzella, L.; Sora, S. Mutagenic Potential of Drinking Waters from Surface Supplies in Northern Italy. Environ. Toxicol. Chem. 1989, 8, 109–116. [Google Scholar] [CrossRef]
- Guzzella, L.; Ferretti, D.; Zerbini, I.; Monarca, S. Evaluation of Genotoxicity of Italian Lakewater for Human Consumption: A Case Study in Lombardy. Toxicol. Environ. Chem. 1999, 73, 81–92. [Google Scholar] [CrossRef]
- Aragaw, T.A. Microplastic Pollution in African Countries’ Water Systems: A Review on Findings, Applied Methods, Characteristics, Impacts, and Managements. SN Appl. Sci. 2021, 3, 629. [Google Scholar] [CrossRef]
- Schiavon, M.; Giurea, R.; Ionescu, G.; Magaril, E.; Rada, E.C. Agro-Tourism Structures, SARS-CoV-2: The Role of Water. MATEC Web Conf. 2022, 354, 00070. [Google Scholar] [CrossRef]
- Ragazzi, M.; Precazzini, I.; Giurea, R.; Rada, E.C.; Achim, M.I. Criteria for Water Management Optimization in Agrotourisms; Politehnica Press: Bucharest, Romania, 2017. [Google Scholar]
- Bassin, J.P.; Castro, F.D.; Valério, R.R.; Santiago, E.P.; Lemos, F.R.; Bassin, I.D. Chapter 16—The Impact of Wastewater Treatment Plants on Global Climate Change. In Water Conservation in the Era of Global Climate Change; Thokchom, B., Qiu, P., Singh, P., Iyer, P.K., Eds.; Elsevier: Amsterdam, The Netherlands, 2021; pp. 367–410. ISBN 978-0-12-820200-5. [Google Scholar]
- Tolkou, A.K.; Zouboulis, A.I. Effect of Climate Change in WWTPs with a Focus on MBR Infrastructure. Desalination Water Treat. 2016, 57, 2344–2354. [Google Scholar] [CrossRef]
- Langeveld, J.G.; Schilperoort, R.P.S.; Weijers, S.R. Climate Change and Urban Wastewater Infrastructure: There Is More to Explore. J. Hydrol. 2013, 476, 112–119. [Google Scholar] [CrossRef]
- Mailhot, A.; Duchesne, S. Design Criteria of Urban Drainage Infrastructures under Climate Change. J. Water Resour. Plan. Manag. 2010, 136, 201–208. [Google Scholar] [CrossRef]
- Garcia, X.; Pargament, D. Reusing Wastewater to Cope with Water Scarcity: Economic, Social and Environmental Considerations for Decision-Making. Resour. Conserv. Recycl. 2015, 101, 154–166. [Google Scholar] [CrossRef]
- Li, J.; Li, X.; Liu, H.; Gao, L.; Wang, W.; Wang, Z.; Zhou, T.; Wang, Q. Climate Change Impacts on Wastewater Infrastructure: A Systematic Review and Typological Adaptation Strategy. Water Res. 2023, 242, 120282. [Google Scholar] [CrossRef]
- Stephenson, J. Communities and Climate Change: Vulnerability to Rising Seas and More Frequent Flooding—University of Otago. Available online: https://ourarchive.otago.ac.nz/esploro/outputs/report/Communities-and-Climate-Change-Vulnerability-to/9926479514301891 (accessed on 19 May 2024).
- Ragazzi, M.; Catellani, R.; Rada, E.C.; Torretta, V.; Salazar-Valenzuela, X. Management of Urban Wastewater on One of the Galapagos Islands. Sustainability 2016, 8, 208. [Google Scholar] [CrossRef]
- Boiocchi, R.; Mainardis, M.; Rada, E.C.; Ragazzi, M.; Salvati, S.C. Carbon Footprint and Energy Recovery Potential of Primary Wastewater Treatment in Decentralized Areas: A Critical Review on Septic and Imhoff Tanks. Energies 2023, 16, 7938. [Google Scholar] [CrossRef]
- Cromwell, J.; Spry, J.; Raucher, R. Implications of Climate Change for Urban Water Utilities; World Bank: Washington, DC, USA, 2007. [Google Scholar]
- Ranieri, E. Hydraulics of Sub-Superficial Flow Constructed Wetlands in Semi Arid Climate Conditions. Water Sci. Technol. 2003, 47, 49–55. [Google Scholar] [CrossRef]
- Hughes, J.; Cowper-Heays, K.; Olesson, E.; Bell, R.; Stroombergen, A. Impacts and Implications of Climate Change on Wastewater Systems: A New Zealand Perspective. Clim. Risk Manag. 2021, 31, 100262. [Google Scholar] [CrossRef]
- Karamouz, M.; Olyaei, M.A. A Quantitative and Qualitative Framework for Reliability Assessment of Waste Water Treatment Plants Under Coastal Flooding. Int. J. Environ. Res. 2019, 13, 21–33. [Google Scholar] [CrossRef]
- Madibekov, A.; Ismukhanova, L.; Opp, C.; Sultanbekova, B.; Zhadi, A.; Zhumatayev, S.; Madibekova, A. Plastic Pollution in the Aquatic Ecosystem of the High-Mountain Lake Markakol (Kazakhstan): First Observations and Conclusions. Appl. Sci. 2024, 14, 8460. [Google Scholar] [CrossRef]
- Vavassori, A.; Oxoli, D.; Brovelli, M.A. Population Space–Time Patterns Analysis and Anthropic Pressure Assessment of the Insubric Lakes Using User-Generated Geodata. ISPRS Int. J. Geo-Inf. 2022, 11, 206. [Google Scholar] [CrossRef]
- Giurea, R.; Ioan, A.M.; Ragazzi, M.; Cioca, L.-I. Focusing Agro-Tourism Structures for Environmental Optimization. Qual.-Access Success 2017, 18 (Suppl. S1), 115–120. [Google Scholar]
- Fuso, F.; Casale, F.; Giudici, F.; Bocchiola, D. Future Hydrology of the Cryospheric Driven Lake Como Catchment in Italy under Climate Change Scenarios. Climate 2021, 9, 8. [Google Scholar] [CrossRef]
- Giurea, R.; Precazzini, I.; Ragazzi, M.; Achim, M.I.; Cioca, L.-I.; Conti, F.; Torretta, V.; Rada, E.C. Good Practices and Actions for Sustainable Municipal Solid Waste Management in the Tourist Sector. Resources 2018, 7, 51. [Google Scholar] [CrossRef]
- Ab Halim, M.H.; Nor Anuar, A.; Abdul Jamal, N.S.; Azmi, S.I.; Ujang, Z.; Bob, M.M. Influence of High Temperature on the Performance of Aerobic Granular Sludge in Biological Treatment of Wastewater. J. Environ. Manag. 2016, 184, 271–280. [Google Scholar] [CrossRef] [PubMed]
- Abdulla, F.; Farahat, S. Impact of Climate Change on the Performance of Wastewater Treatment Plant: Case Study Central Irbid WWTP (Jordan). Procedia Manuf. 2020, 44, 205–212. [Google Scholar] [CrossRef]
- Boiocchi, R.; Viotti, P.; Lancione, D.; Stracqualursi, N.; Torretta, V.; Ragazzi, M.; Ionescu, G.; Rada, E.C. A Study on the Carbon Footprint Contributions from a Large Wastewater Treatment Plant. Energy Rep. 2023, 9, 274–286. [Google Scholar] [CrossRef]
- Abbass, K.; Qasim, M.Z.; Song, H.; Murshed, M.; Mahmood, H.; Younis, I. A Review of the Global Climate Change Impacts, Adaptation, and Sustainable Mitigation Measures. Environ. Sci. Pollut. Res. 2022, 29, 42539–42559. [Google Scholar] [CrossRef] [PubMed]
- Rosenzweig, C.; Major, D.C.; Demong, K.; Stanton, C.; Horton, R.; Stults, M. Managing Climate Change Risks in New York City’s Water System: Assessment and Adaptation Planning. Mitig. Adapt. Strat. Glob. Change 2007, 12, 1391–1409. [Google Scholar] [CrossRef]
- Kirchhoff, C.J.; Watson, P.L. Are Wastewater Systems Adapting to Climate Change? JAWRA J. Am. Water Resour. Assoc. 2019, 55, 869–880. [Google Scholar] [CrossRef]
- Plósz, B.G.; Liltved, H.; Ratnaweera, H. Climate Change Impacts on Activated Sludge Wastewater Treatment: A Case Study from Norway. Water Sci. Technol. 2009, 60, 533–541. [Google Scholar] [CrossRef]
- Manuali e Linee Guida 29/2003: Metodi Analitici per le Acque. Volume Secondo. Sezione 4000—Inorganici Non Metallici; Sezione 5000—Organici; IRSA-CNR—Istituto di Ricerca sulle Acque, Consiglio Nazionale delle Ricerche: Rome, Italy, 2003; Available online: https://www.irsa.cnr.it/wp/wp-content/uploads/2022/04/Vol2_Sez_4000_InorganiciNonMetallici.pdf (accessed on 23 November 2024).
- UNI 11759:2019; Wastewater Characterization Methods. Italian Organization for Standardization (UNI): Milan, Italy, 2019. Available online: https://store.uni.com/en/ (accessed on 23 November 2024).
- Rice, E.W.; Bridgewater, L. (Eds.) Standard Methods for the Examination of Water and Wastewater, 22nd ed.; American Public Health Association, American Water Works Association, Water Environment Federation: Washington, DC, USA, 2012; ISBN 0875530133. [Google Scholar]
- Albornoz, L.L.; Centurião, T.C.; Giacobbo, A.; Zoppas-Ferreira, J.; Bernardes, A.M. Influence of Rain Events on the Efficiency of a Compact Wastewater Treatment Plant: A Case Study on a University Campus Aiming Water Reuse for Agriculture. Environ. Sci. Pollut. Res. 2020, 27, 41350–41360. [Google Scholar] [CrossRef] [PubMed]
- de Oliveira, D.B.C.; de Holanda, M.A.C.R.; de Albuquerque Soares, W. Differences between Sewage Effluent Parameters for Dry and Rainy Periods in Tropical Climate Area. Desalination Water Treat. 2021, 225, 86–93. [Google Scholar] [CrossRef]
- Bugajski, P.; Nowobilska-Majewska, E.; Majewski, M. The Impact of Atmospheric Precipitation on Wastewater Volume Flowing into the Wastewater Treatment Plant in Nowy Targ (Poland) in Terms of Treatment Costs. Energies 2021, 14, 3806. [Google Scholar] [CrossRef]
- Odjadjare, E.E.O.; Okoh, A.I. Physicochemical Quality of an Urban Municipal Wastewater Effluent and Its Impact on the Receiving Environment. Environ. Monit Assess 2010, 170, 383–394. [Google Scholar] [CrossRef] [PubMed]
- Tomida, S.; Hanai, T.; Ueda, N.; Honda, H.; Kobayashi, T. Construction of COD Simulation Model for Activated Sludge Process by Fuzzy Neural Network. J. Biosci. Bioeng. 1999, 88, 215–220. [Google Scholar] [CrossRef] [PubMed]
- Krzeminski, P.; Iglesias-Obelleiro, A.; Madebo, G.; Garrido, J.M.; van der Graaf, J.H.J.M.; van Lier, J.B. Impact of Temperature on Raw Wastewater Composition and Activated Sludge Filterability in Full-Scale MBR Systems for Municipal Sewage Treatment. J. Membr. Sci. 2012, 423–424, 348–361. [Google Scholar] [CrossRef]
- Alisawi, H.A.O. Performance of Wastewater Treatment during Variable Temperature. Appl. Water Sci. 2020, 10, 89. [Google Scholar] [CrossRef]
- Vidal, B.; Kinnunen, J.; Hedström, A.; Heiderscheidt, E.; Rossi, P.; Herrmann, I. Treatment Efficiency of Package Plants for On-Site Wastewater Treatment in Cold Climates. J. Environ. Manag. 2023, 342, 118214. [Google Scholar] [CrossRef]
- Skoczko, I.; Struk-Sokołowska, J.; Ofman, P. Seasonal changes in nitrogen, phosphorus, bod and cod removal in bystre wastewater treatment plant. J. Ecol. Eng. 2017, 18, 185–191. [Google Scholar] [CrossRef] [PubMed]
- Tunçsiper, B. Combined Natural Wastewater Treatment Systems for Removal of Organic Matter and Phosphorus from Polluted Streams. J. Clean. Prod. 2019, 228, 1368–1376. [Google Scholar] [CrossRef]
- Abou-Elela, S.I.; Hellal, M.S.; Harb, A.H. Assessment of Seasonal Variations on the Performance of P-UASB/BAF for Municipal Wastewater Treatment. Desalination Water Treat. 2016, 57, 17087–17094. [Google Scholar] [CrossRef]
- Mahgoub, S.; Samaras, P.; Abdelbasit, H.; Abdelfattah, H. Seasonal Variation in Microbiological and Physicochemical Characteristics of Municipal Wastewater in Al-Sharqiya Province, Egypt (Case Study). Desalination Water Treat. 2016, 57, 2355–2364. [Google Scholar] [CrossRef]
- Garbowski, T.; Wiśniewski, J.; Bawiec, A. Analysis and Assesment of the Wastewater Treatment Plant Operation in the City of Kłodzko. J. Ecol. Eng. 2018, 19, 114–124. [Google Scholar] [CrossRef] [PubMed]
- Mines, R.O.; Lackey, L.W.; Behrend, G.H. The Impact of Rainfall on Flows and Loadings at Georgia’s Wastewater Treatment Plants. Water Air Soil Pollut. 2007, 179, 135–157. [Google Scholar] [CrossRef]
- Gernaey, K.V.; Jørgensen, S.B. Benchmarking Combined Biological Phosphorus and Nitrogen Removal Wastewater Treatment Processes. Control Eng. Pract. 2004, 12, 357–373. [Google Scholar] [CrossRef]
- Niemann, K.; Orth, H. Control Measures for Wastewater Treatment Plants during Storm Flow. Water Sci. Technol. 2001, 43, 309–314. [Google Scholar] [CrossRef] [PubMed]
- Yoda, T. Effect of Precipitation on Received Water at a Sewage Treatment Plant. Int. J. Environ. Sci. Technol. 2022, 19, 3889–3896. [Google Scholar] [CrossRef]







| Parameter | Method Used | Device Used | Measurement Range (Min–Max) In (mg/L) | Measurement Range (Min–Max) Out (mg/L) | Standard Deviation (Error Size) In | Standard Deviation (Error Size) Out | Size of Error Based on Standard Method Protocols | Reference |
|---|---|---|---|---|---|---|---|---|
| pH | Method 2060—APAT IRSA CNR 29/2003 | pH meter, Glass pH Electrode | 7.58–7.79 | 7.55–7.90 | 0.07 | 0.12 | ±0.1 pH units | [49] |
| SST | Method 2090—APAT IRSA CNR 29/2003 | Gravimetric method: Filtration apparatus, oven, Muffin Furnace, Analytical balance | 154.24–210.06 | 2.19–3.50 | 18.46 | 0.38 | ±2 mg/L | [49] |
| P-Tot | Method 4060—APAT IRSA CNR 29/2003 | Spectrophotometer: 880 nm and water bath | 2.76–4.40 | 0.19–0.47 | 0.57 | 0.10 | ±0.3 mg/L | [49] |
| NH4 | Method 4030/C—APAT IRSA CNR 29/2003 | Distillation-titration technique: Steam Distillation Unit (Buchi K-355 or equivalent) for ammonia separation. | 21.10–33.51 | - | 4.33 | ±5% of reading | [49] | |
| Total Nitrogen & Total Nitrogen—GANIMEDE | Method 4060—APAT IRSA CNR 29/2003 & UNI 11759—2019 | Semi-automatic Kjeldahl distillation unit: Buchi K-355 and A UV-Vis spectrophotometer Shimadzu UV-1800 | 26.49–39.86 | 6.61–8.32 | 4.46 | 0.44 | ±5% of reading | [49,50] |
| COD | Method 5220-D Std | Closed Reflux, Colorimetric method | 361.19–507.00 | 16.06–22.76 | 42.88 | 1.96 | ±10 mg/L | [51] |
| BOD | Method 5210-D Std | Dilution method | 190.24–278.43 | 2.48–3.57 | 28.25 | 2.48 | ±5 mg/L | [51] |
| Avg. NH4 (mg/L) In | Avg. N-Total (mg/L) Out | Avg. N-Total (mg/L) In | Avg. TSSs (mg/L) Out | Avg. TSSs (mg/L) In | Avg. BOD5 (mg/L) Out | Avg. BOD5 (mg/L) In | Avg. COD (mg/L) Out | Avg. COD (mg/L) In | Avg. P Tot (mg/L) Out | Avg. P Tot (mg/L) In | Avg. pH Out | Avg. pH In | Avg. Rain (mm) | Avg. Temp (°C) | |
|---|---|---|---|---|---|---|---|---|---|---|---|---|---|---|---|
| −0.748 | −0.63 | −0.76 | 0.179 | 0.31 | −0.314 | −0.381 | −0.523 | −0.224 | −0.007 | −0.384 | 0.887 | 0.588 | 0.609 | 1 | Avg. Temp (°C) |
| −0.569 | −0.69 | −0.749 | 0.439 | −0.09 | 0.032 | −0.531 | −0.509 | −0.536 | −0.31 | −0.516 | 0.331 | −0.18 | 1 | Avg. Rain (mm) | |
| −0.155 | −0.186 | −0.018 | −0.01 | 0.643 | −0.532 | 0.303 | 0.118 | 0.515 | 0.101 | 0.201 | 0.763 | 1 | Avg. pH In | ||
| −0.607 | −0.529 | −0.568 | −0.13 | 0.464 | −0.173 | −0.146 | −0.453 | 0.077 | −0.042 | −0.155 | 1 | Avg. pH Out | |||
| 0.816 | 0.448 | 0.795 | −0.101 | 0.627 | −0.052 | 0.795 | 0.393 | 0.875 | 0.109 | 1 | Avg. P Tot (mg/L) In | ||||
| 0.034 | 0.538 | 0.14 | −0.484 | 0.055 | −0.518 | 0.021 | −0.283 | 0.04 | 1 | Avg. P Tot (mg/L) Out | |||||
| 0.726 | 0.37 | 0.76 | −0.096 | 0.629 | −0.225 | 0.916 | 0.556 | 1 | Avg. COD (mg/L) In | ||||||
| 0.705 | 0.349 | 0.739 | 0.412 | 0.01 | −0.193 | 0.689 | 1 | Avg. COD (mg/L) Out | |||||||
| 0.845 | 0.592 | 0.813 | −0.034 | 0.301 | −0.121 | 1 | Avg. BOD5 (mg/L) In | ||||||||
| 0.006 | 0.017 | −0.12 | −0.3 | −0.412 | 1 | Avg. BOD5 (mg/L) Out | |||||||||
| 0.154 | −0.276 | 0.225 | 0.083 | 1 | Avg. TSSs (mg/L) In | ||||||||||
| −0.416 | −0.068 | 1 | Avg. TSSs (mg/L) Out | ||||||||||||
| 0.671 | 1 | Avg. N-Tot (mg/L) In | |||||||||||||
| 1 | Avg. N-Tot (mg/L) Out |
| Parameter | Rainfall Correlation (r) | p-Value | Strength | Temperature Correlation (r) | p-Value | Strength 2 |
|---|---|---|---|---|---|---|
| Average pH In | −0.18 | 0.387 | Very Weak Negative | 0.588 | 0.045 | Moderate Positive |
| Average pH Out | 0.331 | 0.052 | Weak Positive | 0.887 | 0.002 | Very Strong Positive |
| Average P Tot (mg/L) In | −0.516 | 0.027 | Moderate Negative | −0.384 | 0.091 | Weak Negative |
| Average P Tot (mg/L) Out | −0.31 | 0.154 | Weak Negative | −0.007 | 0.968 | Very Weak Negative |
| Average COD (mg/L) In | −0.536 | 0.019 | Moderate Negative | −0.224 | 0.341 | Weak Negative |
| Average COD (mg/L) Out | −0.509 | 0.021 | Moderate Negative | −0.523 | 0.018 | Moderate Negative |
| Average BOD5 (mg/L) In | −0.531 | 0.020 | Moderate Negative | −0.381 | 0.063 | Weak Negative |
| Average BOD5 (mg/L) Out | 0.032 | 0.867 | Very Weak Positive | −0.314 | 0.154 | Weak Negative |
| Average TSSs (mg/L) In | −0.09 | 0.746 | Very Weak Negative | 0.31 | 0.195 | Weak Positive |
| Average TSSs (mg/L) Out | 0.439 | 0.023 | Moderate Positive | 0.179 | 0.481 | Very Weak Positive |
| Average N-Total (mg/L) In | −0.749 | 0.001 | Strong Negative | −0.763 | 0.001 | Strong Negative |
| Average N-Total (mg/L) Out | −0.69 | 0.004 | Strong Negative | −0.63 | 0.009 | Strong Negative |
| Average NH4 (mg/L) In | −0.569 | 0.015 | Moderate Negative | −0.748 | 0.003 | Strong Negative |
| Avg. NH4 (mg/L) In | Avg. N-Tot (mg/L) Out | Avg. N-Tot (mg/L) In | Avg. TSSs (mg/L) Out | Avg. TSSs (mg/L) In | Avg. BOD5 (mg/L) Out | Avg. BOD5 (mg/L) In | Avg. COD (mg/L) Out | Avg. COD (mg/L) In | Avg. P Tot (mg/L) Out | Avg. P Tot (mg/L) In | Avg. pH Out | Avg. pH In | Avg. Rain (mm) | Avg. Temp (°C) | Parameters |
|---|---|---|---|---|---|---|---|---|---|---|---|---|---|---|---|
| −0.619 | −0.69 | −0.642 | 0 | 0.38 | −0.357 | −0.357 | −0.738 | −0.166 | 0.023 | −0.142 | −0.619 | −0.642 | −0.619 | 1 | Avg. Temp (°C) |
| −0.619 | −0.785 | −0.809 | 0.095 | −0.214 | 0.238 | −0.452 | −0.523 | −0.619 | −0.476 | −0.714 | 0.476 | −0.809 | 1 | −0.619 | Avg. Rain (mm) |
| −0.048 | −0.071 | 0 | 0.023 | 0.452 | −0.571 | 0.285 | −0.095 | 0.428 | 0.238 | 0.214 | 0.595 | 1 | −0.809 | −0.642 | Avg. pH In |
| −0.571 | −0.571 | −0.5 | −0.429 | 0.31 | −0.024 | −0.143 | −0.738 | 0.071 | −0.023 | −0.095 | 1 | 0.595 | −0.476 | −0.619 | Avg. pH Out |
| 0.738 | 0.667 | 0.833 | −0.048 | 0.714 | −0.428 | 0.69 | 0.167 | 0.881 | 0.381 | 1 | 0.095 | 0.214 | −0.714 | −0.142 | Avg. P Tot (mg/L) In |
| 0.095 | 0.571 | 0.262 | −0.333 | 0.048 | −0.524 | 0.119 | −0.119 | 0.214 | 1 | 0.381 | −0.023 | 0.238 | −0.476 | 0.023 | Avg. P Tot (mg/L) Out |
| 0.738 | 0.571 | 0.81 | −0.261 | 0.714 | 0.428 | 0.881 | 0.19 | 1 | 0.214 | 0.881 | 0.071 | 0.428 | −0.619 | −0.166 | Avg. COD (mg/L) In |
| 0.69 | 0.571 | 0.571 | 0.548 | −0.261 | 0.024 | 0.429 | 1 | 0.19 | −0.119 | 0.167 | −0.738 | −0.095 | −0.523 | −0.738 | Avg. COD (mg/L) Out |
| 0.857 | 0.667 | 0.786 | −0.595 | 0.452 | −0.286 | 1 | 0.429 | 0.881 | 0.119 | 0.69 | −0.143 | 0.285 | −0.452 | −0.357 | Avg. BOD5 (mg/L) In |
| −0.238 | −0.214 | −0.214 | −0.38 | 0.095 | 1 | −0.286 | 0.024 | 0.428 | −0.524 | −0.428 | −0.024 | −0.571 | 0.238 | −0.357 | Avg. BOD5 (mg/L) Out |
| 0.333 | 0.048 | 0.381 | 0.071 | 1 | 0.095 | 0.452 | −0.261 | 0.714 | 0.048 | 0.714 | 0.31 | 0.452 | −0.214 | 0.38 | Avg. TSSs (mg/L) In |
| 0.309 | −0.071 | 0.024 | 1 | 0.071 | −0.38 | −0.595 | 0.548 | −0.261 | −0.333 | −0.048 | −0.429 | 0.023 | 0.095 | 0 | Avg. TSSs (mg/L) Out |
| 0.929 | 0.881 | 1 | 0.024 | 0.381 | −0.214 | 0.786 | 0.571 | 0.81 | 0.262 | 0.833 | −0.5 | 0 | −0.809 | −0.642 | Avg. N-Total (mg/L) In |
| 0.81 | 1 | 0.881 | −0.071 | 0.048 | −0.214 | 0.667 | 0.571 | 0.571 | 0.571 | 0.667 | −0.571 | −0.071 | −0.785 | −0.69 | Avg. N-Total (mg/L) Out |
| 1 | 0.81 | 0.929 | 0.309 | 0.333 | −0.238 | 0.857 | 0.69 | 0.738 | 0.095 | 0.738 | −0.571 | −0.048 | −0.619 | −0.619 | Avg. NH4(mg/L) In |
| Parameter | Rainfall Correlation (r) | Rainfall p-Value | Rainfall Strength | Temperature Correlation (r) | Temperature Strength | Temperature p-Value |
|---|---|---|---|---|---|---|
| Avg. pH In | −0.619 | 0.003 | Moderate Negative | −0.642 | Moderate Negative | 0.002 |
| Avg. pH Out | −0.476 | 0.029 | Moderate Negative | −0.619 | Moderate Negative | 0.003 |
| Avg. P Tot (mg/L) In | −0.714 | 0.000 | Strong Negative | −0.142 | Weak Negative | 0.509 |
| Avg. P Tot (mg/L) Out | −0.476 | 0.029 | Moderate Negative | 0.023 | Very Weak Positive | 0.876 |
| Avg. COD (mg/L) In | −0.619 | 0.003 | Moderate Negative | −0.166 | Weak Negative | 0.423 |
| Avg. COD (mg/L) Out | −0.523 | 0.011 | Moderate Negative | −0.738 | Strong Negative | 0.000 |
| Avg. BOD5 (mg/L) In | −0.452 | 0.050 | Moderate Negative | −0.357 | Moderate Negative | 0.138 |
| Avg. BOD5 (mg/L) Out | 0.238 | 0.292 | Weak Positive | −0.357 | Moderate Negative | 0.138 |
| Avg. TSSs (mg/L) In | −0.214 | 0.406 | Weak Negative | 0.38 | Moderate Positive | 0.231 |
| Avg. TSSs (mg/L) Out | 0.095 | 0.693 | Very Weak Positive | 0 | Very Weak Positive | 1.000 |
| Avg. N-Total (mg/L) In | −0.809 | 0.000 | Strong Negative | −0.642 | Strong Negative | 0.002 |
| Avg. N-Total (mg/L) Out | −0.785 | 0.000 | Strong Negative | −0.69 | Strong Negative | 0.002 |
| Avg. NH4 (mg/L) In | −0.619 | 0.003 | Moderate Negative | −0.619 | Moderate Negative | 0.003 |
Disclaimer/Publisher’s Note: The statements, opinions and data contained in all publications are solely those of the individual author(s) and contributor(s) and not of MDPI and/or the editor(s). MDPI and/or the editor(s) disclaim responsibility for any injury to people or property resulting from any ideas, methods, instructions or products referred to in the content. |
© 2024 by the authors. Licensee MDPI, Basel, Switzerland. This article is an open access article distributed under the terms and conditions of the Creative Commons Attribution (CC BY) license (https://creativecommons.org/licenses/by/4.0/).
Share and Cite
Lawrence, J.; Giurea, R.; Bettinetti, R. The Impact of Seasonal Variations in Rainfall and Temperature on the Performance of Wastewater Treatment Plant in the Context of Environmental Protection of Lake Como, a Tourist Region in Italy. Appl. Sci. 2024, 14, 11721. https://doi.org/10.3390/app142411721
Lawrence J, Giurea R, Bettinetti R. The Impact of Seasonal Variations in Rainfall and Temperature on the Performance of Wastewater Treatment Plant in the Context of Environmental Protection of Lake Como, a Tourist Region in Italy. Applied Sciences. 2024; 14(24):11721. https://doi.org/10.3390/app142411721
Chicago/Turabian StyleLawrence, Jassica, Ramona Giurea, and Robertta Bettinetti. 2024. "The Impact of Seasonal Variations in Rainfall and Temperature on the Performance of Wastewater Treatment Plant in the Context of Environmental Protection of Lake Como, a Tourist Region in Italy" Applied Sciences 14, no. 24: 11721. https://doi.org/10.3390/app142411721
APA StyleLawrence, J., Giurea, R., & Bettinetti, R. (2024). The Impact of Seasonal Variations in Rainfall and Temperature on the Performance of Wastewater Treatment Plant in the Context of Environmental Protection of Lake Como, a Tourist Region in Italy. Applied Sciences, 14(24), 11721. https://doi.org/10.3390/app142411721

