Complex Periodic Motions and Bifurcations of a Forced Duffing Oscillator with Its Field-Programmable Gate Arrays Implementation
Abstract
1. Introduction
2. Semi-Analytical Solution of the Duffing Model
- (i)
- When the absolute value of both eigenvalues is less than one (i.e., , i = 1, 2), the periodic motion is stable.
- (ii)
- When one of the two eigenvalues exceeds one (i.e., , i = 1, 2), the periodic motion is unstable.
- (i)
- When , i = 1, 2 and , j = 1, 2 but , the saddle-node bifurcation of periodic motion occurs.
- (ii)
- When , i = 1, 2 and , j = 1, 2 but , the period-doubling bifurcation occurs. In the case of a stable period-doubling bifurcation, the period-doubling periodic motion will be observed.
3. Periodic Motions to Chaos in Oscillator
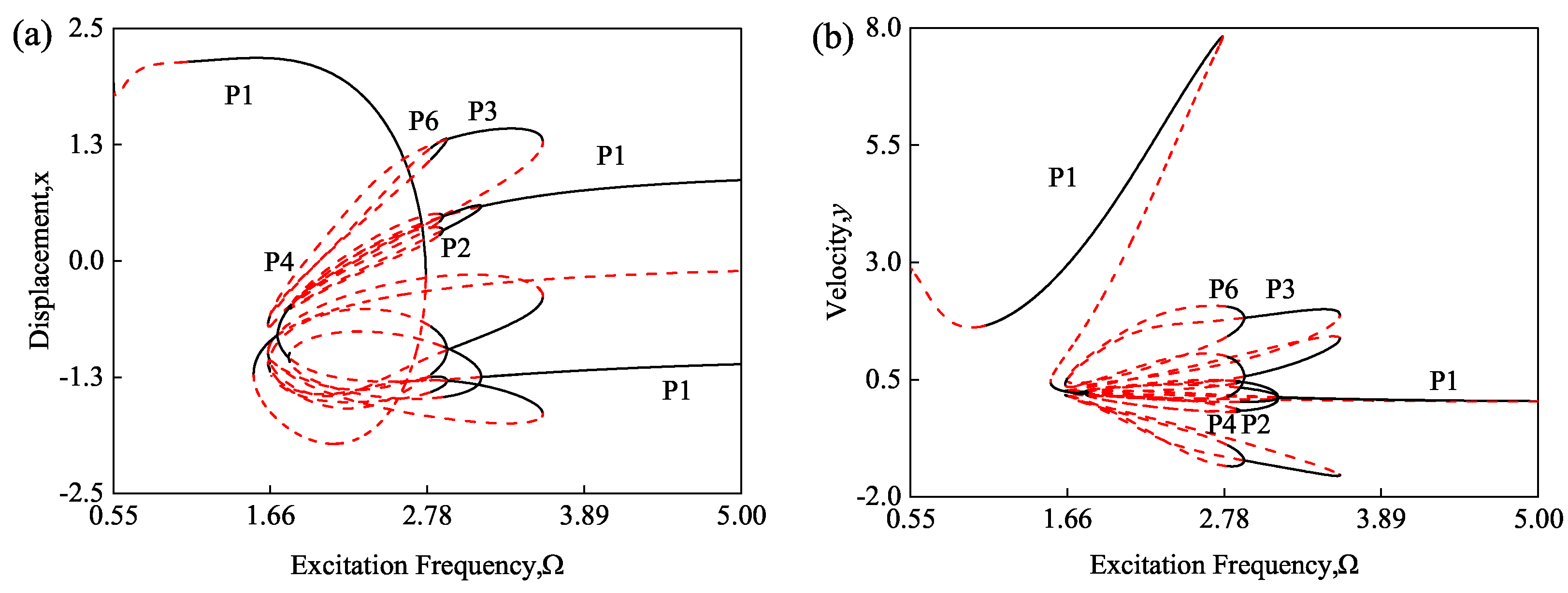
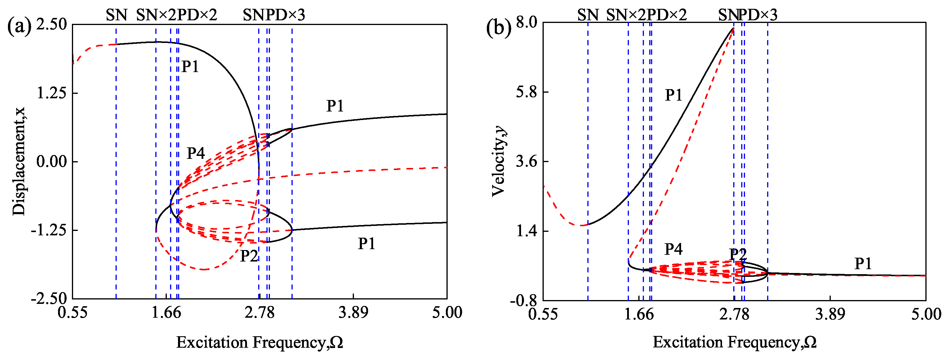
3.1. Periodic Motions of Duffing Oscillator with Excitation Frequency
3.2. Periodic Motions of Duffing Oscillator with Excitation Amplitude
4. Periodic Transformation with the Excitation Amplitude and Frequency
5. Implementation of Duffing Circuit Based on FPGAs
6. Conclusions
Author Contributions
Funding
Data Availability Statement
Conflicts of Interest
References
- Chen, Q.; Fischer, M.; Nojiri, Y.; Renger, M.; Xie, E.; Partanen, M.; Pogorzalek, S.; Fedorov, K.G.; Marx, A.; Deppe, F.; et al. Quantum behavior of the duffing oscillator at the dissipative phase transition. Nat. Commun. 2023, 14, 2896. [Google Scholar] [CrossRef] [PubMed]
- Arun, K.; Tom, D.; Domenico, S. Review of polynomial chaos-based methods for uncertainty quantification in modern integrated circuits. Nat. Commun. 2018, 7, 30. [Google Scholar]
- Wang, S.; Lu, B. Detecting the weak damped oscillation signal in the agricultural machinery working environment by vibrational resonance in the duffing system. J. Mech. Sci. Technol. 2022, 36, 5925–5937. [Google Scholar] [CrossRef]
- Li, G.; Xie, R.; Yang, H. Study on fractional-order coupling of high-order Duffing oscillator and its application. Chaos Solitons Fractals 2024, 186, 115255. [Google Scholar] [CrossRef]
- Mohamed, B.; Iqbal, J.; Zoubir, D. A new nonlinear duffing system with sequential fractional derivatives. Chaos Solitons Fractals 2021, 15, 111247. [Google Scholar]
- Papangelo, A.; Fontanela, F.; Grolet, A.; Ciavarella, M.; Hoffmann, N. Multistability and localization in forced cyclic symmetric structures modelled by weakly-coupled duffing oscillators. J. Sound Vib. 2018, 440, 202–211. [Google Scholar] [CrossRef]
- UriosteguiLegorreta, U.; Tututi, E.S. Numerical study on synchronization in the rayleigh–duffing and duffing oscillators. Int. J. Mod. Phys. C 2023, 34, 2350122. [Google Scholar] [CrossRef]
- Reis Eduardo, V.M.; Savi Marcelo, A. Spatiotemporal chaos in a conservative duffing-type system. Chaos Solitons Fractals 2022, 165, 112776. [Google Scholar] [CrossRef]
- He, Y.; Liu, Y.; Zhang, H. Numerical and electrical simulation of a hindmarsh-rose neuron model. J. Vib. Test. Syst. Dyn. 2022, 6, 329–341. [Google Scholar]
- Albert, C.; Luo, J. Discretization and Implicit Mapping Dynamics; Springer: Berlin/Heidelberg, Germany, 2015. [Google Scholar]
- Albert, C.; Luo, J. Periodic flows to chaos based on discrete implicit mappings of continuous nonlinear systems. Int. J. Bifurc. Chaos 2015, 25, 1550044. [Google Scholar]
- Guo, Y.; Albert, C.; Luo, J. On complex periodic motions and bifurcations in a periodically forced, damped, hardening duffing oscillator. Chaos Solitons Fractals 2015, 81, 378–399. [Google Scholar] [CrossRef]
- Guo, Y.; Albert, C.; Luo, J. Periodic Motions to Chaos in Duffing Oscillator via Discretization Technique; Springer International Publishing: Cham, Switzerland, 2016; pp. 259–276. [Google Scholar]
- Albert, C.; Luo, J.; Xing, S. Bifurcation trees of period-3 motions to chaos in a time-delayed duffing oscillator. Nonlinear Dyn. 2017, 88, 2831–2862. [Google Scholar]
- Liu, Y.; Zhang, H.; He, Y.; Xu, Y. Independent continuous periodic firing series to chaos in the 3-d hindmarsh–rose neuron circuit. Int. J. Non-Linear Mech. 2023, 155, 104454. [Google Scholar] [CrossRef]
- Xu, Y.; Albert, C.; Luo, J. Paired asymmetric periodic oscillations in a pair of first-order asymmetric nonlinear circuit systems. Mech. Syst. Signal Process. 2022, 171, 108810. [Google Scholar] [CrossRef]
- Zhang, X.; Min, F.; Dou, Y.; Xu, Y. Bifurcation analysis of a modified fitzhugh-nagumo neuron with electric field. Chaos Solitons Fractals 2023, 170, 113415. [Google Scholar] [CrossRef]
- Mohamed Sara, M.; Sayed Wafaa, S.; Said Lobna, A.; Radwan Ahmed, G. Reconfigurable fpga realization of fractional-order chaotic systems. IEEE Access 2021, 9, 89376–89389. [Google Scholar] [CrossRef]
- Rui, Z.; Min, F.; Dou, Y.; Ye, B. Switching mechanism and hardware experiment of a non—Smooth rayleighduffing system. Chin. J. Phys. 2023, 82, 134–148. [Google Scholar] [CrossRef]
- Li, B.; Xu, Y.; Shi, H.; Xue, W. Fpga realization of duffing chaotic oscillator based on runge-kutta algorithm. In Proceedings of the 2017 2nd International Conference on Automation, Mechanical Control and Computational Engineering (AMCCE 2017), Beijing, China, 25–26 March 2017; pp. 308–311. [Google Scholar]
- Li, G.; Zhao, K.; Yang, H. A new method for detecting line spectrum of ship-radiated noise based on a new double duffing oscillator differential system. Indian J. Geo-Mar. Sci. 2020, 49, 34–43. [Google Scholar]
- Yan, S.; Sun, X.; Wang, E.; Song, J.; Cui, Y. Application of Weak Signal Detection Based on Improved Duffing Chaotic System. J. Vib. Eng. Technol. 2023, 11, 3057–3068. [Google Scholar] [CrossRef]
- Rajagopal, K.; Khalaf Abdul Jalil, M.; Wei, Z.; Viet-Thanh, P.; Alsaedi, A.; Hayat, T. Hyperchaos and Coexisting Attractors in a Modified van der Pol-Duffing Oscillator. Int. J. Bifurc. Chaos 2019, 29, 1950067. [Google Scholar] [CrossRef]
- Xu, Y.; Wang, M.; Lu, D.; Zandigohar, M. Construction of complex high order subharmonic vibrations in a nonlinear rotor system I: Eigenvalue dynamics and prediction. J. Sound Vib. 2021, 582, 118439. [Google Scholar] [CrossRef]
- Xu, Y.; Chen, Z.; Albert, C.; Luo, J. Period-1 motion to chaos in a nonlinear flexible rotor system. Int. J. Bifurc. Chaos 2020, 30, 2050077. [Google Scholar] [CrossRef]
- IEEE-754; IEEE Standard 754 Floating Point Numbers. IEEE: New York, NY, USA, 1985.














| 2.5 | 1.55 | 0.5 | −0.5 | −1.55 | −2.5 | |
| 2.0165 | 1.5429 | 0.5003 | −0.5016 | −1.5514 | −2.5019 | |
| 0.0165 | −0.0071 | 0.0003 | −0.0016 | −0.0014 | −0.0019 |
| (rad/s) | 1.73 | 2.9 | 3.309 | 2.8606 |
| <1.96% | <1.83% | <3.17% | <4.65% |
Disclaimer/Publisher’s Note: The statements, opinions and data contained in all publications are solely those of the individual author(s) and contributor(s) and not of MDPI and/or the editor(s). MDPI and/or the editor(s) disclaim responsibility for any injury to people or property resulting from any ideas, methods, instructions or products referred to in the content. |
© 2024 by the authors. Licensee MDPI, Basel, Switzerland. This article is an open access article distributed under the terms and conditions of the Creative Commons Attribution (CC BY) license (https://creativecommons.org/licenses/by/4.0/).
Share and Cite
Liu, Y.; Yang, Z.; Mao, T.; Li, W. Complex Periodic Motions and Bifurcations of a Forced Duffing Oscillator with Its Field-Programmable Gate Arrays Implementation. Appl. Sci. 2024, 14, 11243. https://doi.org/10.3390/app142311243
Liu Y, Yang Z, Mao T, Li W. Complex Periodic Motions and Bifurcations of a Forced Duffing Oscillator with Its Field-Programmable Gate Arrays Implementation. Applied Sciences. 2024; 14(23):11243. https://doi.org/10.3390/app142311243
Chicago/Turabian StyleLiu, Yan, Zehua Yang, Taokai Mao, and Wencheng Li. 2024. "Complex Periodic Motions and Bifurcations of a Forced Duffing Oscillator with Its Field-Programmable Gate Arrays Implementation" Applied Sciences 14, no. 23: 11243. https://doi.org/10.3390/app142311243
APA StyleLiu, Y., Yang, Z., Mao, T., & Li, W. (2024). Complex Periodic Motions and Bifurcations of a Forced Duffing Oscillator with Its Field-Programmable Gate Arrays Implementation. Applied Sciences, 14(23), 11243. https://doi.org/10.3390/app142311243

