Multimodal Explainability Using Class Activation Maps and Canonical Correlation for MI-EEG Deep Learning Classification
Abstract
1. Introduction
2. Related Work
3. Materials and Methods
3.1. GIGAScience Dataset for MI-EEG and Signal Preprocessing
3.2. Subject-Dependent MI-EEG Classification Using Deep Learning
- EEGNet [36]: The process begins with a temporal convolution, which is followed by a depthwise layer that serves as a spatial representation for each filter produced at the previous stage. Afterward, an exponential linear activation function (ELU) is used before an average pooling and a dropout to help minimize overfitting. Next, it applies separable convolution, which is followed by another ELU activation and an average pooling. Lastly, a second dropout layer precedes the flattening and classification stages. Batch normalization is always performed immediately after each convolutional layer.
- KREEGNet [38]: Similar to EEGNet, it uses a Gaussian kernel after batch normalization to extract the connectivity between EEG channels. A delta kernel is implemented on the label data, and a centered kernel alignment (CKA)-based regularization between connectivities and label data is added as a penalty to the straightforward cross-entropy.
- KCS-FCNet [39]: A single convolutional stage occurs before a Gaussian kernel is utilized to measure EEG connectivity. These are then run through an average pooling layer before batch normalization and classification. Interestingly enough, a dropout step is performed between the flatten layer and the dense layer.
- ShallowConvNet [65]: It performs two consecutive convolutions and then proceeds with batch normalization and square activation. After that, average pooling is achieved before logarithmic activation and dropout. Finally, a layer of flattening and density is applied for classification.
- DeepConvNet [19]: The system employs two convolutional layers sequentially, followed by batch normalization and ELU activation. Then, max pooling and dropout are employed before another convolutional layer and batch normalization. Another set of ELU activation, max pooling, and dropouts is performed before a final convolution and batch normalization. Finally, another ELU, max pooling, and dropout are performed before classifying.
- TCFusionNet [37]: Similar to EEGNet, it employs a sequence of residual blocks to gather extra data prior to classification. Each residual block is comprised of dilated convolution, followed by batch normalization, ELU, and dropout twice. In parallel, convolution is performed and then concatenated to the output of the residual block. Before the flattened features from the separable convolution stage are flattened and joined, multiple residual blocks are put in place in a cascading fashion. Finally, a dense layer is used for classification.
3.3. Layer-Wise Class Activation Maps for Explainable MI-EEG Classification
3.4. Questionnaire-MI Performance Canonical Correlation Analysis (QMIP-CCA)
3.5. Multimodal and Explainable Deep Learning Implementation Details
4. Results
4.1. MI Classification Performance
4.2. Explainable MI-EEG Classification Results
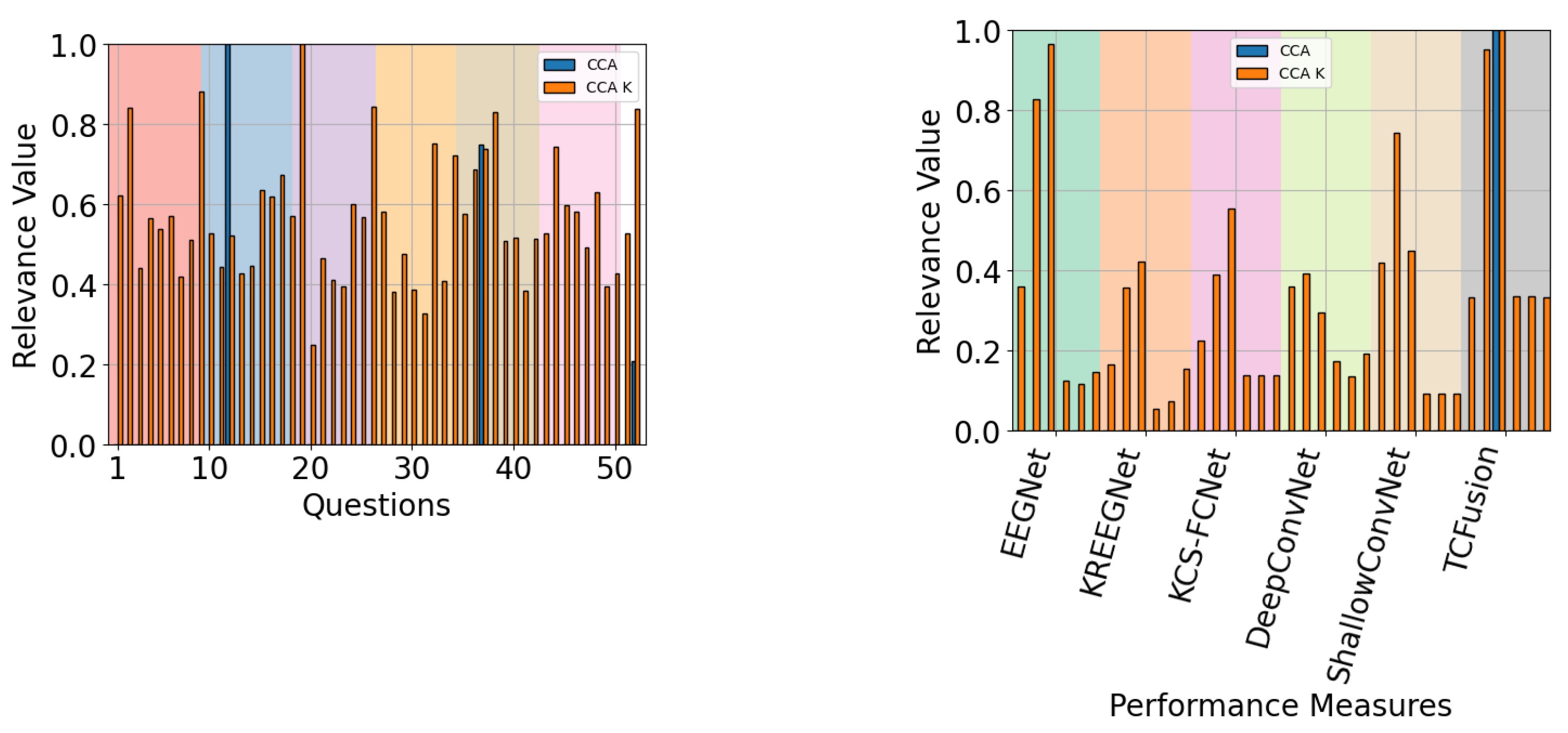
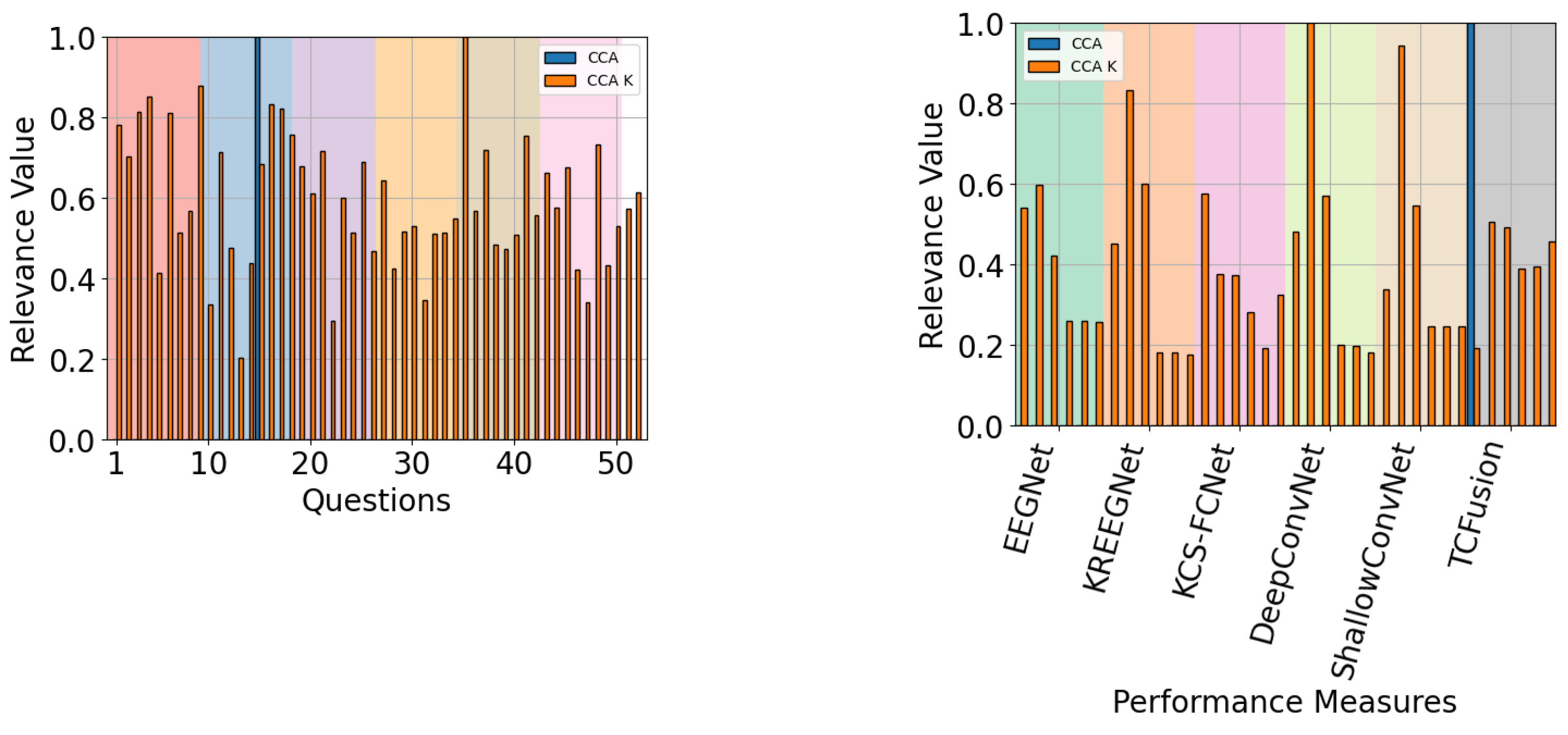
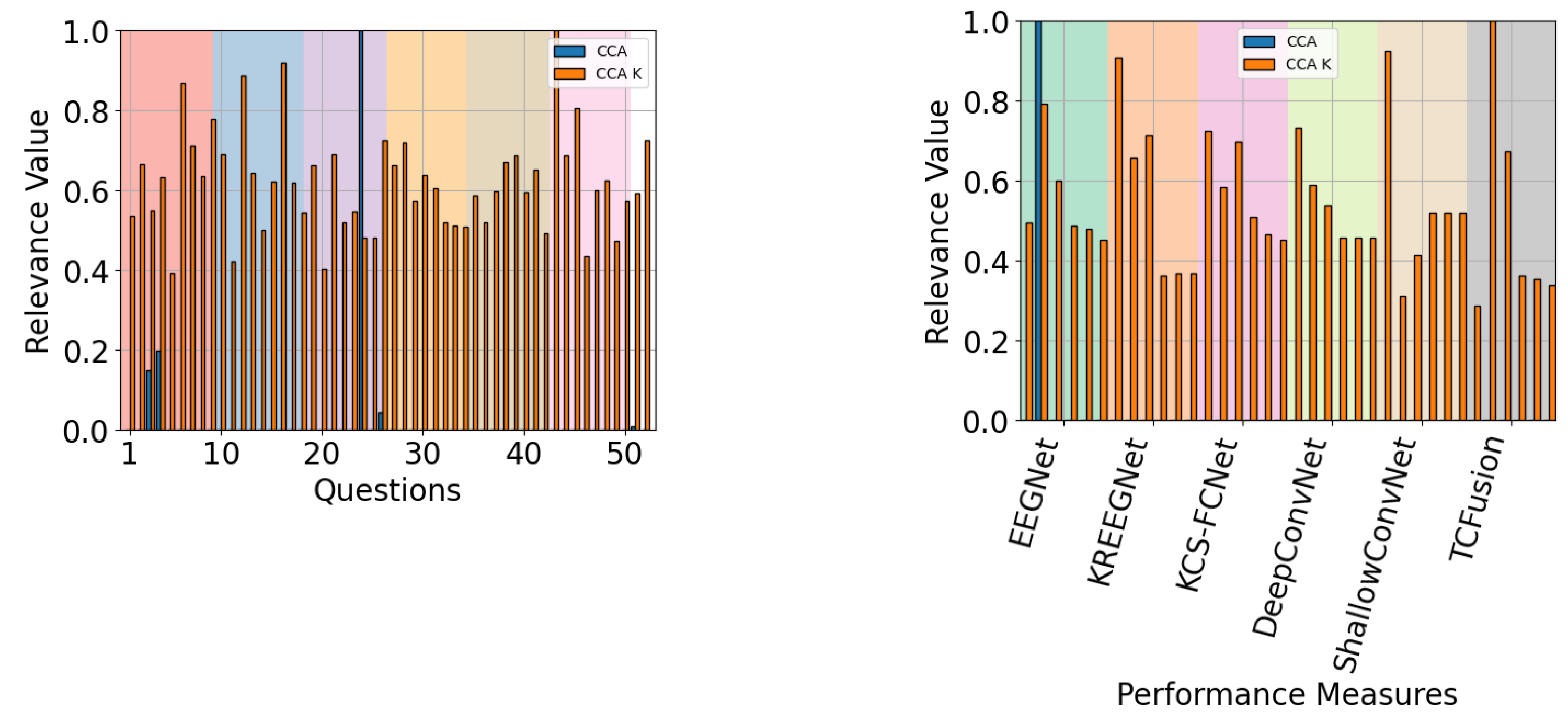
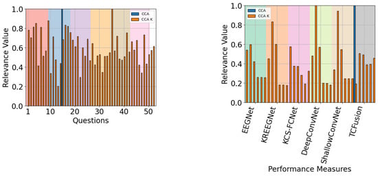
4.3. Questionnaire and MI-EEG Performance Relevance Analysis Results
5. Discussion
6. Conclusions
Author Contributions
Funding
Institutional Review Board Statement
Informed Consent Statement
Data Availability Statement
Conflicts of Interest
Appendix A. Additional Results
| Set | Question | Answer Type | Entropy |
|---|---|---|---|
| Pre-MI | Time slot | (1 = 9:30/2 = 12:30/3 = 15:30/4 = 19:00) | 1.373 |
| Age | (number) | 1.774 | |
| How long did you sleep? | (1 = less than 4 h/2=5 – 6 h/3 = 6 –7 h/4 = 7 –8/ 5 = more than 8) | 1.485 | |
| Did you drink coffee within the past 24 h | (0 = no, number = hours before) | 1.172 | |
| How do you feel? | Relaxed 1 2 3 4 5 Anxious | 1.218 | |
| How do you feel? | Exciting 1 2 3 4 5 Boring | 1.429 | |
| How do you feel? | Very good 1 2 3 4 5 Very bad or tired | 1.291 | |
| How do you feel? | Very good 1 2 3 4 5 Very bad or tired | 1.277 | |
| The BCI performance (accuracy) expected? | % | 1.754 | |
| Run 1 | How do you feel? | Relaxed 1 2 3 4 5 Anxious | 1.186 |
| How do you feel? | Exciting 1 2 3 4 5 Boring | 1.305 | |
| How do you feel? | High 1 2 3 4 5 Low | 1.223 | |
| How do you feel? | Very good 1 2 3 4 5 Very bad or tired | 1.301 | |
| How do you feel? | Very good 1 2 3 4 5 Very bad or tired | 1.247 | |
| Have you nodded off (slept a while) during this run? | (0 = no/number = how many times) | 1.253 | |
| Was it easy to imagine finger movements? | Easy 1 2 3 4 5 Difficult | 1.368 | |
| How many trials you missed? | (0 = no/number = how many times) | 1.179 | |
| The BCI performance (accuracy) expected? | % | 1.879 | |
| Run 2 | How do you feel? | Relaxed 1 2 3 4 5 Anxious | 1.062 |
| How do you feel? | Exciting 1 2 3 4 5 Boring | 1.397 | |
| How do you feel? | High 1 2 3 4 5 Low | 1.217 | |
| How do you feel? | Very good 1 2 3 4 5 Very bad or tired | 1.295 | |
| How do you feel? | Very good 1 2 3 4 5 Very bad or tired | 1.254 | |
| Was it easy to imagine finger movements? | Easy 1 2 3 4 5 Difficult | 1.371 | |
| How many trials you missed? | (0 = no/number = how many times) | 1.185 | |
| The BCI performance (accuracy) expected? | % | 1.846 | |
| Run 3 | How do you feel? | Relaxed 1 2 3 4 5 Anxious | 1.205 |
| How do you feel? | Exciting 1 2 3 4 5 Boring | 1.324 | |
| How do you feel? | High 1 2 3 4 5 Low | 1.313 | |
| How do you feel? | Very good 1 2 3 4 5 Very bad or tired | 1.256 | |
| How do you feel? | Very good 1 2 3 4 5 Very bad or tired | 1.144 | |
| Was it easy to imagine finger movements? | Easy 1 2 3 4 5 Difficult | 1.263 | |
| How many trials you missed? | (0 = no/number = how many times) | 1.055 | |
| The BCI performance (accuracy) expected? | % | 1.859 | |
| Run 4 | How do you feel? | Relaxed 1 2 3 4 5 Anxious | 1.250 |
| How do you feel? | Exciting 1 2 3 4 5 Boring | 1.287 | |
| How do you feel? | High 1 2 3 4 5 Low | 1.249 | |
| How do you feel? | Very good 1 2 3 4 5 Very bad or tired | 1.161 | |
| How do you feel? | Very good 1 2 3 4 5 Very bad or tired | 1.201 | |
| Was it easy to imagine finger movements? | Easy 1 2 3 4 5 Difficult | 1.329 | |
| How many trials you missed? | (0 = no/number = how many times) | 1.212 | |
| The BCI performance (accuracy) expected? | % | 1.833 | |
| Run 5 | How do you feel? | Relaxed 1 2 3 4 5 Anxious | 1.154 |
| How do you feel? | Exciting 1 2 3 4 5 Boring | 1.324 | |
| How do you feel? | High 1 2 3 4 5 Low | 1.304 | |
| How do you feel? | Very good 1 2 3 4 5 Very bad or tired | 1.223 | |
| How do you feel? | Very good 1 2 3 4 5 Very bad or tired | 1.304 | |
| Was it easy to imagine finger movements? | Easy 1 2 3 4 5 Difficult | 1.469 | |
| How many trials you missed? | (0 = no/number = how many times) | 1.108 | |
| The BCI performance (accuracy) expected? | % | 1.883 | |
| Post-MI | How was this experiment? | Good 1 2 3 4 5 Bad | 1.250 |
| The BCI performance (accuracy) of whole data expected? | % | 1.665 |
References
- UNESCO; International Center for Engineering Education. Engineering for Sustainable Development: Delivering on the Sustainable Development Goals; United Nations Educational, Scientific, and Cultural Organization: Paris, France; International Center for Engineering Education Under the Auspices of UNESCO: Beijing, China; Compilation and Translation Press: Beijing, China, 2021. [Google Scholar]
- Mayo Clinic Editorial Staff. EEG (Electroencephalogram). 2024. Available online: https://www.mayoclinic.org/tests-procedures/eeg/about/pac-20393875 (accessed on 17 August 2024).
- Altaheri, H.; Muhammad, G.; Alsulaiman, M.; Amin, S.U.; Altuwaijri, G.A.; Abdul, W.; Bencherif, M.A.; Faisal, M. Deep learning techniques for classification of electroencephalogram (EEG) motor imagery (MI) signals: A review. Neural Comput. Appl. 2023, 35, 14681–14722. [Google Scholar] [CrossRef]
- Ramadan, R.A.; Altamimi, A.B. Unraveling the potential of brain-computer interface technology in medical diagnostics and rehabilitation: A comprehensive literature review. Health Technol. 2024, 14, 263–276. [Google Scholar] [CrossRef]
- Abidi, M.; De Marco, G.; Grami, F.; Termoz, N.; Couillandre, A.; Querin, G.; Bede, P.; Pradat, P.F. Neural correlates of motor imagery of gait in amyotrophic lateral sclerosis. J. Magn. Reson. Imaging 2021, 53, 223–233. [Google Scholar] [CrossRef] [PubMed]
- Zhang, H.; Zhao, M.; Wei, C.; Mantini, D.; Li, Z.; Liu, Q. EEGdenoiseNet: A benchmark dataset for deep learning solutions of EEG denoising. J. Neural Eng. 2021, 18, 056057. [Google Scholar] [CrossRef] [PubMed]
- Saini, M.; Satija, U.; Upadhayay, M.D. Wavelet based waveform distortion measures for assessment of denoised EEG quality with reference to noise-free EEG signal. IEEE Signal Process. Lett. 2020, 27, 1260–1264. [Google Scholar] [CrossRef]
- Tsuchimoto, S.; Shibusawa, S.; Iwama, S.; Hayashi, M.; Okuyama, K.; Mizuguchi, N.; Kato, K.; Ushiba, J. Use of common average reference and large-Laplacian spatial-filters enhances EEG signal-to-noise ratios in intrinsic sensorimotor activity. J. Neurosci. Methods 2021, 353, 109089. [Google Scholar] [CrossRef]
- Croce, P.; Quercia, A.; Costa, S.; Zappasodi, F. EEG microstates associated with intra-and inter-subject alpha variability. Sci. Rep. 2020, 10, 2469. [Google Scholar] [CrossRef] [PubMed]
- Saha, S.; Baumert, M. Intra-and inter-subject variability in EEG-based sensorimotor brain computer interface: A review. Front. Comput. Neurosci. 2020, 13, 87. [Google Scholar] [CrossRef]
- Maswanganyi, R.C.; Tu, C.; Owolawi, P.A.; Du, S. Statistical evaluation of factors influencing inter-session and inter-subject variability in eeg-based brain computer interface. IEEE Access 2022, 10, 96821–96839. [Google Scholar] [CrossRef]
- Blanco-Diaz, C.F.; Antelis, J.M.; Ruiz-Olaya, A.F. Comparative analysis of spectral and temporal combinations in CSP-based methods for decoding hand motor imagery tasks. J. Neurosci. Methods 2022, 371, 109495. [Google Scholar] [CrossRef] [PubMed]
- Wang, B.; Wong, C.M.; Kang, Z.; Liu, F.; Shui, C.; Wan, F.; Chen, C.P. Common spatial pattern reformulated for regularizations in brain–computer interfaces. IEEE Trans. Cybern. 2020, 51, 5008–5020. [Google Scholar] [CrossRef] [PubMed]
- Galindo-Noreña, S.; Cárdenas-Peña, D.; Orozco-Gutierrez, A. Multiple Kernel Stein Spatial Patterns for the Multiclass Discrimination of Motor Imagery Tasks. Appl. Sci. 2020, 10, 8628. [Google Scholar] [CrossRef]
- Geng, X.; Li, D.; Chen, H.; Yu, P.; Yan, H.; Yue, M. An improved feature extraction algorithms of EEG signals based on motor imagery brain-computer interface. Alex. Eng. J. 2022, 61, 4807–4820. [Google Scholar] [CrossRef]
- Chollet, F. Deep Learning with Python; Manning: Shelter Island, NY, USA, 2017. [Google Scholar]
- Collazos-Huertas, D.F.; Álvarez-Meza, A.M.; Castellanos-Dominguez, G. Image-based learning using gradient class activation maps for enhanced physiological interpretability of motor imagery skills. Appl. Sci. 2022, 12, 1695. [Google Scholar] [CrossRef]
- Rakhmatulin, I.; Dao, M.S.; Nassibi, A.; Mandic, D. Exploring Convolutional Neural Network Architectures for EEG Feature Extraction. Sensors 2024, 24, 877. [Google Scholar] [CrossRef] [PubMed]
- Schirrmeister, R.T.; Springenberg, J.T.; Fiederer, L.D.J.; Glasstetter, M.; Eggensperger, K.; Tangermann, M.; Hutter, F.; Burgard, W.; Ball, T. Deep learning with convolutional neural networks for EEG decoding and visualization. Hum. Brain Mapp. 2017, 38, 5391–5420. [Google Scholar] [CrossRef]
- Li, F.; He, F.; Wang, F.; Zhang, D.; Xia, Y.; Li, X. A novel simplified convolutional neural network classification algorithm of motor imagery EEG signals based on deep learning. Appl. Sci. 2020, 10, 1605. [Google Scholar] [CrossRef]
- Liu, J.; Wu, G.; Luo, Y.; Qiu, S.; Yang, S.; Li, W.; Bi, Y. EEG-based emotion classification using a deep neural network and sparse autoencoder. Front. Syst. Neurosci. 2020, 14, 43. [Google Scholar] [CrossRef] [PubMed]
- Chowdary, M.K.; Anitha, J.; Hemanth, D.J. Emotion recognition from EEG signals using recurrent neural networks. Electronics 2022, 11, 2387. [Google Scholar] [CrossRef]
- Ma, Y.; Song, Y.; Gao, F. A novel hybrid CNN-transformer model for EEG motor imagery classification. In Proceedings of the 2022 International Joint Conference on Neural Networks (IJCNN), Padua, Italy, 18–23 July 2022; IEEE: New York, NY, USA, 2022; pp. 1–8. [Google Scholar]
- Li, X.; Xiong, H.; Li, X.; Wu, X.; Zhang, X.; Liu, J.; Bian, J.; Dou, D. Interpretable deep learning: Interpretation, interpretability, trustworthiness, and beyond. Knowl. Inf. Syst. 2022, 64, 3197–3234. [Google Scholar] [CrossRef]
- Bhardwaj, H.; Tomar, P.; Sakalle, A.; Ibrahim, W. Eeg-based personality prediction using fast fourier transform and deeplstm model. Comput. Intell. Neurosci. 2021, 2021, 6524858. [Google Scholar] [CrossRef] [PubMed]
- Cho, H.; Ahn, M.; Ahn, S.; Kwon, M.; Jun, S.C. EEG datasets for motor imagery brain–computer interface. GigaScience 2017, 6, gix034. [Google Scholar] [CrossRef] [PubMed]
- Rahman, A.U.; Tubaishat, A.; Al-Obeidat, F.; Halim, Z.; Tahir, M.; Qayum, F. Extended ICA and M-CSP with BiLSTM towards improved classification of EEG signals. Soft Comput. 2022, 26, 10687–10698. [Google Scholar] [CrossRef]
- Jin, J.; Xiao, R.; Daly, I.; Miao, Y.; Wang, X.; Cichocki, A. Internal Feature Selection Method of CSP Based on L1-Norm and Dempster–Shafer Theory. IEEE Trans. Neural Netw. Learn. Syst. 2021, 32, 4814–4825. [Google Scholar] [CrossRef]
- Wang, H.; Tang, Q.; Zheng, W. L1-Norm-Based Common Spatial Patterns. IEEE Trans. Biomed. Eng. 2012, 59, 653–662. [Google Scholar] [CrossRef] [PubMed]
- Ang, K.K.; Chin, Z.Y.; Zhang, H.; Guan, C. Filter Bank Common Spatial Pattern (FBCSP) in Brain-Computer Interface. In Proceedings of the 2008 IEEE International Joint Conference on Neural Networks (IEEE World Congress on Computational Intelligence), Hong Kong, China, 1–8 June 2008; pp. 2390–2397. [Google Scholar] [CrossRef]
- Zhang, Y.; Zhou, G.; Jin, J.; Wang, X.; Cichocki, A. Optimizing spatial patterns with sparse filter bands for motor-imagery based brain–computer interface. J. Neurosci. Methods 2015, 255, 85–91. [Google Scholar] [CrossRef] [PubMed]
- Miao, Y.; Jin, J.; Daly, I.; Zuo, C.; Wang, X.; Cichocki, A.; Jung, T.P. Learning common time-frequency-spatial patterns for motor imagery classification. IEEE Trans. Neural Syst. Rehabil. Eng. 2021, 29, 699–707. [Google Scholar] [CrossRef]
- Luo, J.; Gao, X.; Zhu, X.; Wang, B.; Lu, N.; Wang, J. Motor imagery EEG classification based on ensemble support vector learning. Comput. Methods Programs Biomed. 2020, 193, 105464. [Google Scholar] [CrossRef]
- Tibrewal, N.; Leeuwis, N.; Alimardani, M. Classification of motor imagery EEG using deep learning increases performance in inefficient BCI users. PLoS ONE 2022, 17, e0268880. [Google Scholar] [CrossRef]
- Lopes, M.; Cassani, R.; Falk, T.H. Using CNN Saliency Maps and EEG Modulation Spectra for Improved and More Interpretable Machine Learning-Based Alzheimer’s Disease Diagnosis. Comput. Intell. Neurosci. 2023, 2023, 3198066. [Google Scholar] [CrossRef]
- Lawhern, V.J.; Solon, A.J.; Waytowich, N.R.; Gordon, S.M.; Hung, C.P.; Lance, B.J. EEGNet: A compact convolutional neural network for EEG-based brain–computer interfaces. J. Neural Eng. 2018, 15, 056013. [Google Scholar] [CrossRef]
- Musallam, Y.K.; AlFassam, N.I.; Muhammad, G.; Amin, S.U.; Alsulaiman, M.; Abdul, W.; Altaheri, H.; Bencherif, M.A.; Algabri, M. Electroencephalography-based motor imagery classification using temporal convolutional network fusion. Biomed. Signal Process. Control 2021, 69, 102826. [Google Scholar] [CrossRef]
- Tobón-Henao, M.; Álvarez Meza, A.M.; Castellanos-Dominguez, C.G. Kernel-Based Regularized EEGNet Using Centered Alignment and Gaussian Connectivity for Motor Imagery Discrimination. Computers 2023, 12, 145. [Google Scholar] [CrossRef]
- García-Murillo, D.G.; Álvarez Meza, A.M.; Castellanos-Dominguez, C.G. KCS-FCnet: Kernel Cross-Spectral Functional Connectivity Network for EEG-Based Motor Imagery Classification. Diagnostics 2023, 13, 1122. [Google Scholar] [CrossRef]
- Lu, N.; Li, T.; Ren, X.; Miao, H. A deep learning scheme for motor imagery classification based on restricted Boltzmann machines. IEEE Trans. Neural Syst. Rehabil. Eng. 2016, 25, 566–576. [Google Scholar] [CrossRef] [PubMed]
- Mirzaei, S.; Ghasemi, P. EEG motor imagery classification using dynamic connectivity patterns and convolutional autoencoder. Biomed. Signal Process. Control 2021, 68, 102584. [Google Scholar] [CrossRef]
- Hwaidi, J.F.; Chen, T.M. Classification of motor imagery EEG signals based on deep autoencoder and convolutional neural network approach. IEEE Access 2022, 10, 48071–48081. [Google Scholar] [CrossRef]
- Wei, C.S.; Keller, C.J.; Li, J.; Lin, Y.P.; Nakanishi, M.; Wagner, J.; Wu, W.; Zhang, Y.; Jung, T.P. Inter-and intra-subject variability in brain imaging and decoding. Front. Comput. Neurosci. 2021, 15, 791129. [Google Scholar] [CrossRef]
- Alessandrini, M.; Biagetti, G.; Crippa, P.; Falaschetti, L.; Luzzi, S.; Turchetti, C. Eeg-based alzheimer’s disease recognition using robust-pca and lstm recurrent neural network. Sensors 2022, 22, 3696. [Google Scholar] [CrossRef]
- Luo, J.; Wang, Y.; Xia, S.; Lu, N.; Ren, X.; Shi, Z.; Hei, X. A shallow mirror transformer for subject-independent motor imagery BCI. Comput. Biol. Med. 2023, 164, 107254. [Google Scholar] [CrossRef]
- Bang, J.S.; Lee, S.W. Interpretable convolutional neural networks for subject-independent motor imagery classification. In Proceedings of the 2022 10th International Winter Conference on Brain-Computer Interface (BCI), Gangwon-do, Republic of Korea, 21–23 February 2022; IEEE: New York, NY, USA, 2022; pp. 1–5. [Google Scholar]
- Bejani, M.M.; Ghatee, M. A systematic review on overfitting control in shallow and deep neural networks. Artif. Intell. Rev. 2021, 54, 6391–6438. [Google Scholar] [CrossRef]
- Zhang, Y.; Tiňo, P.; Leonardis, A.; Tang, K. A survey on neural network interpretability. IEEE Trans. Emerg. Top. Comput. Intell. 2021, 5, 726–742. [Google Scholar] [CrossRef]
- Onishi, S.; Nishimura, M.; Fujimura, R.; Hayashi, Y. Why Do Tree Ensemble Approximators Not Outperform the Recursive-Rule eXtraction Algorithm? Mach. Learn. Knowl. Extr. 2024, 6, 658–678. [Google Scholar] [CrossRef]
- Hong, Q.; Wang, Y.; Li, H.; Zhao, Y.; Guo, W.; Wang, X. Probing filters to interpret CNN semantic configurations by occlusion. In Proceedings of the Data Science: 7th International Conference of Pioneering Computer Scientists, Engineers and Educators, ICPCSEE 2021, Taiyuan, China, 17–20 September 2021; Proceedings, Part II. Springer: Singapore, 2021; pp. 103–115. [Google Scholar]
- Christoph, M. Interpretable Machine Learning: A Guide for Making Black Box Models Explainable; Leanpub: Victoria, BC, Canada, 2020. [Google Scholar]
- Zhou, B.; Khosla, A.; Lapedriza, A.; Oliva, A.; Torralba, A. Learning Deep Features for Discriminative Localization. In Proceedings of the 2016 IEEE Conference on Computer Vision and Pattern Recognition (CVPR), Las Vegas, NV, USA, 27–30 June 2016; pp. 2921–2929. [Google Scholar] [CrossRef]
- Selvaraju, R.R.; Cogswell, M.; Das, A.; Vedantam, R.; Parikh, D.; Batra, D. Grad-CAM: Visual Explanations from Deep Networks via Gradient-Based Localization. Int. J. Comput. Vis. 2019, 128, 336–359. [Google Scholar] [CrossRef]
- Chattopadhay, A.; Sarkar, A.; Howlader, P.; Balasubramanian, V.N. Grad-CAM++: Generalized Gradient-Based Visual Explanations for Deep Convolutional Networks. In Proceedings of the 2018 IEEE Winter Conference on Applications of Computer Vision (WACV), Lake Tahoe, NV, USA, 12–15 March 2018; IEEE: New York, NY, USA, 2018. [Google Scholar] [CrossRef]
- Jiang, P.T.; Zhang, C.B.; Hou, Q.; Cheng, M.M.; Wei, Y. Layercam: Exploring hierarchical class activation maps for localization. IEEE Trans. Image Process. 2021, 30, 5875–5888. [Google Scholar] [CrossRef] [PubMed]
- Bi, J.; Wang, F.; Yan, X.; Ping, J.; Wen, Y. Multi-domain fusion deep graph convolution neural network for EEG emotion recognition. Neural Comput. Appl. 2022, 34, 22241–22255. [Google Scholar] [CrossRef]
- Wu, D.; Zhang, J.; Zhao, Q. Multimodal Fused Emotion Recognition About Expression-EEG Interaction and Collaboration Using Deep Learning. IEEE Access 2020, 8, 133180–133189. [Google Scholar] [CrossRef]
- Collazos-Huertas, D.F.; Velasquez-Martinez, L.F.; Perez-Nastar, H.D.; Alvarez-Meza, A.M.; Castellanos-Dominguez, G. Deep and wide transfer learning with kernel matching for pooling data from electroencephalography and psychological questionnaires. Sensors 2021, 21, 5105. [Google Scholar] [CrossRef] [PubMed]
- Abibullaev, B.; Keutayeva, A.; Zollanvari, A. Deep learning in EEG-based BCIs: A comprehensive review of transformer models, advantages, challenges, and applications. IEEE Access 2023, 11, 127271–127301. [Google Scholar] [CrossRef]
- Kim, H.; Luo, J.; Chu, S.; Cannard, C.; Hoffmann, S.; Miyakoshi, M. ICA’s bug: How ghost ICs emerge from effective rank deficiency caused by EEG electrode interpolation and incorrect re-referencing. Front. Signal Process. 2023, 3, 1064138. [Google Scholar] [CrossRef]
- Vempati, R.; Sharma, L.D. EEG rhythm based emotion recognition using multivariate decomposition and ensemble machine learning classifier. J. Neurosci. Methods 2023, 393, 109879. [Google Scholar] [CrossRef] [PubMed]
- Babiloni, C.; Arakaki, X.; Azami, H.; Bennys, K.; Blinowska, K.; Bonanni, L.; Bujan, A.; Carrillo, M.C.; Cichocki, A.; de Frutos-Lucas, J.; et al. Measures of resting state EEG rhythms for clinical trials in Alzheimer’s disease: Recommendations of an expert panel. Alzheimer’s Dement. 2021, 17, 1528–1553. [Google Scholar] [CrossRef] [PubMed]
- Demir, F.; Sobahi, N.; Siuly, S.; Sengur, A. Exploring deep learning features for automatic classification of human emotion using EEG rhythms. IEEE Sens. J. 2021, 21, 14923–14930. [Google Scholar] [CrossRef]
- Murphy, K.P. Probabilistic Machine Learning: An Introduction; MIT Press: Cambridge, MA, USA, 2022. [Google Scholar]
- Kim, S.J.; Lee, D.H.; Lee, S.W. Rethinking CNN Architecture for Enhancing Decoding Performance of Motor Imagery-based EEG Signals. IEEE Access 2022, 10, 96984–96996. [Google Scholar] [CrossRef]
- Jung, H.; Oh, Y. Towards better explanations of class activation mapping. In Proceedings of the IEEE/CVF International Conference on Computer Vision, Montreal, QC, Canada, 10–17 October 2021; pp. 1336–1344. [Google Scholar]
- Fukumizu, K.; Bach, F.R.; Gretton, A. Statistical consistency of kernel canonical correlation analysis. J. Mach. Learn. Res. 2007, 8, 361–383. [Google Scholar]
- MNE Contributors. mne.viz.plottopomap - MNE 1.8.0 documentation. Available online: https://mne.tools/stable/generated/mne.viz.plot_topomap.html (accessed on 21 November 2024).
- Li, H.; Li, J.; Guan, X.; Liang, B.; Lai, Y.; Luo, X. Research on Overfitting of Deep Learning. In Proceedings of the 2019 15th International Conference on Computational Intelligence and Security (CIS), Macao, China, 13–16 December 2019; pp. 78–81. [Google Scholar] [CrossRef]
- Pratik, K.; Mutha, K.Y.H.; Sainburg, R.L. The Effects of Brain Lateralization on Motor Control and Adaptation. J. Mot. Behav. 2012, 44, 455–469. [Google Scholar] [CrossRef] [PubMed]
- Daeglau, M.; Zich, C.; Kranczioch, C. The impact of context on EEG motor imagery neurofeedback and related motor domains. Curr. Behav. Neurosci. Rep. 2021, 8, 90–101. [Google Scholar] [CrossRef]
- Velasco, I.; Sipols, A.; De Blas, C.S.; Pastor, L.; Bayona, S. Motor imagery EEG signal classification with a multivariate time series approach. Biomed. Eng. Online 2023, 22, 29. [Google Scholar] [CrossRef]
- Zhang, D.; Li, H.; Xie, J. MI-CAT: A transformer-based domain adaptation network for motor imagery classification. Neural Netw. 2023, 165, 451–462. [Google Scholar] [CrossRef]

























| Training Hyperparameter | Argument | Value |
|---|---|---|
| Monitor | Training Loss | |
| Factor | 0.1 | |
| Reduce learning rate on plateau | Patience | 30 |
| Min Delta | 0.01 | |
| Min learning rate | 0 | |
| Adam | Learning rate | 0.01 |
| Splits | 5 | |
| Stratified shuffle split | Test size | 20% |
| Validation size | 0% |
| Model | Avg. Ranking | Avg. t-Test p-Value |
|---|---|---|
| CSP | ||
| EEGNet | ||
| KCS-FCNet | ||
| KREEGNet | ||
| DeepConvNet | ||
| ShallowConvNet | ||
| TCFusionNet |
| Model | ACC [%] | CAM-Enhanced ACC [%] | Difference [%] |
|---|---|---|---|
| CSP | - | - | |
| EEGNet | |||
| KREEGNet | |||
| KCS-FCNet | |||
| DeepConv | |||
| ShallowConv | |||
| TCFusion |
| Model | Avg. Ranking | Avg. t-Test p-Value |
|---|---|---|
| EEGNet | ||
| KCS-FCNet | ||
| KREEGNet | ||
| DeepConvNet | ||
| ShallowConvNet | ||
| TCFusionNet |
Disclaimer/Publisher’s Note: The statements, opinions and data contained in all publications are solely those of the individual author(s) and contributor(s) and not of MDPI and/or the editor(s). MDPI and/or the editor(s) disclaim responsibility for any injury to people or property resulting from any ideas, methods, instructions or products referred to in the content. |
© 2024 by the authors. Licensee MDPI, Basel, Switzerland. This article is an open access article distributed under the terms and conditions of the Creative Commons Attribution (CC BY) license (https://creativecommons.org/licenses/by/4.0/).
Share and Cite
Loaiza-Arias, M.; Álvarez-Meza, A.M.; Cárdenas-Peña, D.; Orozco-Gutierrez, Á.Á.; Castellanos-Dominguez, G. Multimodal Explainability Using Class Activation Maps and Canonical Correlation for MI-EEG Deep Learning Classification. Appl. Sci. 2024, 14, 11208. https://doi.org/10.3390/app142311208
Loaiza-Arias M, Álvarez-Meza AM, Cárdenas-Peña D, Orozco-Gutierrez ÁÁ, Castellanos-Dominguez G. Multimodal Explainability Using Class Activation Maps and Canonical Correlation for MI-EEG Deep Learning Classification. Applied Sciences. 2024; 14(23):11208. https://doi.org/10.3390/app142311208
Chicago/Turabian StyleLoaiza-Arias, Marcos, Andrés Marino Álvarez-Meza, David Cárdenas-Peña, Álvaro Ángel Orozco-Gutierrez, and German Castellanos-Dominguez. 2024. "Multimodal Explainability Using Class Activation Maps and Canonical Correlation for MI-EEG Deep Learning Classification" Applied Sciences 14, no. 23: 11208. https://doi.org/10.3390/app142311208
APA StyleLoaiza-Arias, M., Álvarez-Meza, A. M., Cárdenas-Peña, D., Orozco-Gutierrez, Á. Á., & Castellanos-Dominguez, G. (2024). Multimodal Explainability Using Class Activation Maps and Canonical Correlation for MI-EEG Deep Learning Classification. Applied Sciences, 14(23), 11208. https://doi.org/10.3390/app142311208

