Predictive Modeling of Photovoltaic Energy Yield Using an ARIMA Approach
Abstract
Featured Application
Abstract
1. Introduction
2. Methods and Design
2.1. PV System Design of Photovoltaic System 5 kW “Chikalov”, Simitli, Blagoevgrad, Bulgaria
2.2. Methods
3. Results
3.1. Specific PV System Yield
3.2. Total Yield
4. Discussion
5. Conclusions
Author Contributions
Funding
Institutional Review Board Statement
Informed Consent Statement
Data Availability Statement
Acknowledgments
Conflicts of Interest
References
- Gong, J.; Liang, J.; Sumathy, K. Review on dye-sensitized solar cells (DSSCs): Fundamental concepts and novel materials. Renew. Sustain. Energy Rev. 2012, 6, 5848–5860. [Google Scholar] [CrossRef]
- Dada, M.; Popoola, P. Recent advances in solar photovoltaic materials and systems for energy storage applications: A review. Beni-Suef Univ. J. Basic Appl. Sci. 2023, 12, 66. [Google Scholar] [CrossRef]
- Hayat, M.; Ali, D.; Monyake, K.; Alagha, L.; Ahmed, N. Solar energy—A look into power generation, challenges, and a solar-powered future. Int. J. Energy Res. 2019, 43, 1049–1067. [Google Scholar] [CrossRef]
- Gong, J.; Li, C.; Wasielewski, M. Advances in solar energy conversion. Chem. Soc. Rev. 2019, 48, 1862–1864. [Google Scholar] [CrossRef] [PubMed]
- Sapundzhi, F. Computer Simulation and Investigations of the Roof Mount Photovoltaic System. Int. J. Online Biomed. Eng. 2019, 15, 88–96. [Google Scholar] [CrossRef]
- Sapundzhi, F.; Baeva, S.; Lazarova, M.; Ivanova, L. An analysis of seasonal fluctuations and forecasting of some production capacities generated by photovoltaic power system. AIP Conf. Proc. 2023, 2939, 100015. [Google Scholar]
- International Energy Agency. Available online: https://www.iea.org/news/investment-in-clean-energy-this-year-is-set-to-be-twice-the-amount-going-to-fossil-fuels (accessed on 14 August 2024).
- Bulgarian Photovoltaic Association. Available online: https://www.bpva.org/en/index (accessed on 25 November 2024).
- Institute for Market Economics. Available online: https://ime.bg/articles/svryhrastezhyt-na-vei-u-nas-prodylzhava-prez-poslednata-godina-pri-tova-v-tsyalata-strana (accessed on 14 August 2024).
- Integrated Plan in the Field of Energy and the Climate of the Republic of Bulgaria. Available online: https://www.me.government.bg/uploads/manager/source/VOP/obshtestveno%20obsajdane/INPEK/INPEK12.06.24.pdf (accessed on 14 August 2024).
- Obi, M.; Bass, R. Trends and challenges of grid-connected photovoltaic systems—A review. Renew. Sustain. Energy Rev. 2016, 58, 1082–1094. [Google Scholar] [CrossRef]
- Kesraoui, M.; Lazizi, A.; Chaib, A. Grid Connected Solar PV System: Modeling, Simulation and Experimental Tests. Energy Procedia 2016, 95, 181–188. [Google Scholar] [CrossRef][Green Version]
- Lee, D.-S.; Son, S.-Y. Weighted Average Ensemble-Based PV Forecasting in a Limited Environment with Missing Data of PV Power. Sustainability 2024, 16, 4069. [Google Scholar] [CrossRef]
- Massidda, L.; Bettio, F.; Marrocu, M. Probabilistic day-ahead prediction of PV generation. A comparative analysis of forecasting methodologies and of the factors influencing accuracy. Sol. Energy 2024, 271, 112422. [Google Scholar] [CrossRef]
- Khan, A.; Khursheed, M.; Li, J.P.; Ahmad, F.; Khan, A.N. Machine Learning Application for Solar PV Forecasting. In Photovoltaic Systems Technology, 1st ed.; Husain, M.A., Ahmad, M.W., Bakhsh, F.I., Sanjeevikumar, P., Malik, H., Eds.; John Wiley & Sons, Inc.: Hoboken, NJ, USA, 2024; Chapter 9; pp. 177–190. [Google Scholar]
- Oh, J.; So, D.; Jo, J.; Kang, N.; Hwang, E.; Moon, J. Two-Stage Neural Network Optimization for Robust Solar Photovoltaic Forecasting. Electronics 2024, 13, 1659. [Google Scholar] [CrossRef]
- Asghar, R.; Fulginei, F.R.; Quercio, M.; Mahrouch, A. Artificial Neural Networks for Photovoltaic Power Forecasting: A Review of Five Promising Models. IEEE Access 2024, 12, 90461–90485. [Google Scholar] [CrossRef]
- Guermoui, M.; Fezzani, A.; Mohamed, Z.; Rabehi, A.; Ferkous, K.; Bailek, N.; Bouallit, S.; Riche, A.; Bajaj, M.; Mohammadi, S.A.D.; et al. An analysis of case studies for advancing photovoltaic power forecasting through multi-scale fusion techniques. Sci. Rep. 2024, 14, 6653. [Google Scholar] [CrossRef]
- Liu, W.; Mao, Z. Short-term photovoltaic power forecasting with feature extraction and attention mechanisms. Renew. Energy 2024, 226, 120437. [Google Scholar] [CrossRef]
- Husein, M.; Gago, E.J.; Hasan, B.; Pegalajar, M.C. Towards energy efficiency: A comprehensive review of deep learning-based photovoltaic power forecasting strategies. Heliyon 2024, 10, e33419. [Google Scholar] [CrossRef] [PubMed]
- Feng, S.; Chen, R.; Huang, M.; Wu, Y.; Liu, H. Multisite long-term photovoltaic forecasting model based on VACI. Electronics 2024, 13, 2806. [Google Scholar] [CrossRef]
- Memarzadeh, G.; Keynia, F.; Amirteimoury, F.; Memarzadeh, M.; Noori, H. A new hybrid intelligent method for accurate short term electric power production forecasting from uncertain renewable energy resources. Int. J. Ind. Electron. Control. Optim. 2024; in press. [Google Scholar] [CrossRef]
- Chen, G.; Qi, X.; Wang, Y.; Du, W. ARIMA-LSTM model-based siting study of photovoltaic power generation technology. In Proceedings of the 2024 4th Asia-Pacific Conference on Communications Technology and Computer Science (ACCTCS), Shenyang, China, 24–26 February 2024; pp. 557–562. [Google Scholar] [CrossRef]
- Pookpunt, S. Very-short term forecasting of solar radiation using ARIMA. AIP Conf. Proc 2024, 3239, 020007. [Google Scholar] [CrossRef]
- BYD, “BYD P6-30 Series-3BB”. 2011, pp. 1–2. Available online: http://www.italwarmi.it/fabbriche/images/byd-p6-36-3bb.pdf (accessed on 14 August 2024).
- Sunny Tripower. Available online: https://www.sma.de/en/products/solarinverters/sunny-tripower-30-40-50-60 (accessed on 14 August 2024).
- BYD Energy Storage. Available online: http://www.bydenergy.com (accessed on 14 August 2024).
- Sunny Portal: SMA Solar Technology AG. Available online: https://www.sunnyportal.com (accessed on 14 August 2024).
- Veleva, E.; Jordanova, P. Time Series Analysis of the Spread of COVID-19 Infection in Bulgaria. AIP Conf. Proc 2022, 2522, 050013. [Google Scholar]
- Raeva, E.; Nikolaev, I. Retrospective Review of the Bulgarian Insurance Market Using Time Series Analysis. AIP Conf. Proc 2022, 2522, 050010. [Google Scholar]
- Ngo, T.H.D.; Bros, W. The Box-Jenkins methodology for time series models. In Proceedings of the SAS Global Forum 2013, San Francisco, CA, USA, 28 April–1 May 2013; Volume 6, pp. 1–11. [Google Scholar]
- Klimenko, A.; Mihova, V. An application of time series for forecasting the prices of financial instruments. In Proceedings of the University of Ruse, Ruse, Bulgaria, 28 October 2022; Volume 61, Book 6.1. pp. 11–16. Available online: https://conf.uni-ruse.bg/bg/docs/cp22/6.1/6.1-1.pdf (accessed on 14 August 2024).
- Field, A. Discovering Statistics Using IBM SPSS Statistics, 5th ed.; SAGE Publications: Thousand Oaks, CA, USA, 2017. [Google Scholar]

















| Year | January | February | March | April | May | June | July | August | September | October | November | December |
|---|---|---|---|---|---|---|---|---|---|---|---|---|
| 2013 | 817.58 | 961.42 | 905.64 | 743.00 | 620.91 | 325.01 | 344.36 | |||||
| 2014 | 177.22 | 490.14 | 666.29 | 609.96 | 773.29 | 848.83 | 898.51 | 873.63 | 587.67 | 432.02 | 255.55 | 190.98 |
| 2015 | 351.14 | 482.22 | 464.71 | 788.78 | 859.81 | 864.58 | 969.64 | 845.29 | 525.04 | 417.73 | 165.03 | 0.00 |
| 2016 | 222.82 | 373.67 | 497.22 | 630.06 | 654.5 | 728.41 | 779.47 | 729.98 | 563.51 | 394.18 | 273.23 | 323.47 |
| 2017 | 199.13 | 348.38 | 511.65 | 617.71 | 652.43 | 703.02 | 741.12 | 711.13 | 545.04 | 529.75 | 241.83 | 225.71 |
| 2018 | 283.18 | 234.37 | 402.32 | 669.49 | 719.09 | 634.6 | 778.75 | 751.75 | 700.9 | 582.03 | 308.54 | 220.77 |
| 2019 | 228.41 | 477.54 | 756.91 | 702 | 776.62 | 866.31 | 937.91 | 920.12 | 750.26 | 511.53 | 260.84 | 134.36 |
| 2020 | 372.46 | 488.77 | 595.61 | 754.28 | 787.4 | 786.25 | 920.89 | 845.27 | 744.34 | 533 | 388.94 | 194.62 |
| 2021 | 278.9 | 442.76 | 645.24 | 710 | 824.29 | 875.77 | 940.21 | 837.7 | 687.7 | 488.65 | 302.18 | 219.98 |
| 2022 | 403.58 | 413.02 | 662.92 | 704.27 | 880.86 | 885.9 | 959.46 | 770.75 | 714.26 | 623.74 | 343.94 | 287.89 |
| 2023 | 229.34 | 483.53 | 400.82 | 606.85 | 609.16 | 805.22 | 932.01 | |||||
| Mean value | 274.62 | 423.44 | 560.37 | 679.34 | 753.74 | 801.50 | 892.67 | 819.12 | 656.17 | 513.35 | 286.51 | 214.21 |
| Year portion | 3.99% | 6.16% | 8.15% | 9.88% | 10.96% | 11.66% | 12.98% | 11.91% | 9.54% | 7.47% | 4.17% | 3.12% |
| Year | January | February | March | April | May | June | July | August | September | October | November | December |
|---|---|---|---|---|---|---|---|---|---|---|---|---|
| 2013 | 146.00 | 171.68 | 161.72 | 132.68 | 110.88 | 58.04 | 61.49 | |||||
| 2014 | 31.65 | 87.52 | 118.98 | 108.92 | 138.09 | 151.58 | 160.45 | 156.00 | 104.94 | 77.15 | 45.63 | 34.10 |
| 2015 | 62.70 | 86.11 | 82.99 | 140.85 | 153.54 | 154.39 | 173.15 | 150.95 | 93.76 | 74.60 | 29.47 | 0.00 |
| 2016 | 39.79 | 66.73 | 88.79 | 112.51 | 116.88 | 130.07 | 139.19 | 130.35 | 100.63 | 70.39 | 48.79 | 57.76 |
| 2017 | 35.56 | 62.21 | 91.37 | 110.31 | 116.50 | 125.54 | 132.34 | 126.99 | 97.33 | 94.60 | 43.19 | 40.31 |
| 2018 | 50.57 | 41.85 | 71.84 | 119.55 | 128.41 | 113.32 | 139.06 | 134.24 | 125.16 | 103.93 | 55.10 | 39.42 |
| 2019 | 40.79 | 85.28 | 135.16 | 125.36 | 138.68 | 154.70 | 167.48 | 164.31 | 133.98 | 91.34 | 46.58 | 23.99 |
| 2020 | 66.51 | 87.28 | 106.36 | 134.69 | 140.61 | 140.40 | 164.45 | 150.94 | 132.92 | 95.18 | 69.45 | 34.75 |
| 2021 | 49.80 | 79.06 | 115.22 | 126.79 | 147.20 | 156.39 | 167.90 | 149.59 | 122.80 | 87.26 | 53.96 | 39.28 |
| 2022 | 72.07 | 73.75 | 118.38 | 125.76 | 157.30 | 158.20 | 171.33 | 137.63 | 127.55 | 111.38 | 61.42 | 51.41 |
| 2023 | 40.95 | 86.34 | 71.58 | 108.37 | 108.78 | 143.79 | 166.43 | |||||
| Mean value | 49.04 | 75.61 | 100.07 | 121.31 | 134.60 | 143.12 | 159.41 | 146.27 | 117.17 | 91.67 | 51.16 | 42.50 |
| Year portion | 3.98% | 6.14% | 8.12% | 9.85% | 10.93% | 11.62% | 12.94% | 11.87% | 9.51% | 7.44% | 4.15% | 3.45% |
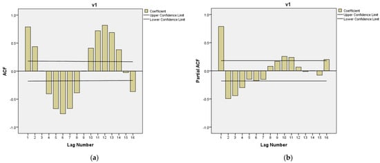
| Lag | Autocorrelation | Std. Error * | Box–Ljung Statistic | ||
|---|---|---|---|---|---|
| Value | df | Sig. ** | |||
| 1 | 0.789 | 0.089 | 77.881 | 1 | 0.000 |
| 2 | 0.437 | 0.089 | 101.949 | 2 | 0.000 |
| 3 | 0.000 | 0.089 | 101.949 | 3 | 0.000 |
| 4 | −0.405 | 0.088 | 122.993 | 4 | 0.000 |
| 5 | −0.670 | 0.088 | 181.058 | 5 | 0.000 |
| 6 | −0.760 | 0.088 | 256.444 | 6 | 0.000 |
| 7 | −0.666 | 0.087 | 314.849 | 7 | 0.000 |
| 8 | −0.387 | 0.087 | 334.680 | 8 | 0.000 |
| 9 | 0.001 | 0.086 | 334.680 | 9 | 0.000 |
| 10 | 0.409 | 0.086 | 357.330 | 10 | 0.000 |
| 11 | 0.720 | 0.086 | 427.926 | 11 | 0.000 |
| 12 | 0.819 | 0.085 | 520.136 | 12 | 0.000 |
| 13 | 0.689 | 0.085 | 585.935 | 13 | 0.000 |
| 14 | 0.381 | 0.084 | 606.274 | 14 | 0.000 |
| 15 | −0.026 | 0.084 | 606.367 | 15 | 0.000 |
| 16 | −0.365 | 0.084 | 625.335 | 16 | 0.000 |
| Lag | Partial Autocorrelation | Std. Error |
|---|---|---|
| 1 | 0.789 | 0.091 |
| 2 | −0.493 | 0.091 |
| 3 | −0.441 | 0.091 |
| 4 | −0.299 | 0.091 |
| 5 | −0.149 | 0.091 |
| 6 | −0.174 | 0.091 |
| 7 | −0.151 | 0.091 |
| 8 | 0.080 | 0.091 |
| 9 | 0.169 | 0.091 |
| 10 | 0.257 | 0.091 |
| 11 | 0.239 | 0.091 |
| 12 | 0.067 | 0.091 |
| 13 | −0.013 | 0.091 |
| 14 | 0.000 | 0.091 |
| 15 | −0.076 | 0.091 |
| 16 | 0.202 | 0.091 |
| Model Fit | |||||||||||
|---|---|---|---|---|---|---|---|---|---|---|---|
| Fit Statistic | Mean | SE | Minimum | Maximum | Percentile | ||||||
| 5 | 10 | 25 | 50 | 75 | 90 | 95 | |||||
| Stationary R-Squared | 0.802 | . | 0.802 | 0.802 | 0.802 | 0.802 | 0.802 | 0.802 | 0.802 | 0.802 | 0.802 |
| R-Squared | 0.802 | . | 0.802 | 0.802 | 0.802 | 0.802 | 0.802 | 0.802 | 0.802 | 0.802 | 0.802 |
| RMSE | 18.929 | . | 18.929 | 18.929 | 18.929 | 18.929 | 18.929 | 18.929 | 18.929 | 18.929 | 18.929 |
| MAPE | 18.591 | . | 18.591 | 18.591 | 18.591 | 18.591 | 18.591 | 18.591 | 18.591 | 18.591 | 18.591 |
| MaxAPE | 107.196 | . | 107.196 | 107.196 | 107.196 | 107.196 | 107.196 | 107.196 | 107.196 | 107.196 | 107.196 |
| MAE | 14.703 | . | 14.703 | 14.703 | 14.703 | 14.703 | 14.703 | 14.703 | 14.703 | 14.703 | 14.703 |
| MaxAE | 45.534 | . | 45.534 | 45.534 | 45.534 | 45.534 | 45.534 | 45.534 | 45.534 | 45.534 | 45.534 |
| Normalized BIC | 6.039 | . | 6.039 | 6.039 | 6.039 | 6.039 | 6.039 | 6.039 | 6.039 | 6.039 | 6.039 |
| Model Fit | |||||||||||
|---|---|---|---|---|---|---|---|---|---|---|---|
| Fit Statistic | Mean | SE | Minimum | Maximum | Percentile | ||||||
| 5 | 10 | 25 | 50 | 75 | 90 | 95 | |||||
| Stationary R-Squared | 0.853 | . | 0.853 | 0.853 | 0.853 | 0.853 | 0.853 | 0.853 | 0.853 | 0.853 | 0.853 |
| R-Squared | 0.853 | . | 0.853 | 0.853 | 0.853 | 0.853 | 0.853 | 0.853 | 0.853 | 0.853 | 0.853 |
| RMSE | 16.568 | . | 16.568 | 16.568 | 16.568 | 16.568 | 16.568 | 16.568 | 16.568 | 16.568 | 16.568 |
| MAPE | 15.957 | . | 15.957 | 15.957 | 15.957 | 15.957 | 15.957 | 15.957 | 15.957 | 15.957 | 15.957 |
| MaxAPE | 97.457 | . | 97.457 | 97.457 | 97.457 | 97.457 | 97.457 | 97.457 | 97.457 | 97.457 | 97.457 |
| MAE | 12.657 | . | 12.657 | 12.657 | 12.657 | 12.657 | 12.657 | 12.657 | 12.657 | 12.657 | 12.657 |
| MaxAE | 44.682 | . | 44.682 | 44.682 | 44.682 | 44.682 | 44.682 | 44.682 | 44.682 | 44.682 | 44.682 |
| Normalized BIC | 5.930 | . | 5.930 | 5.930 | 5.930 | 5.930 | 5.930 | 5.930 | 5.930 | 5.930 | 5.930 |
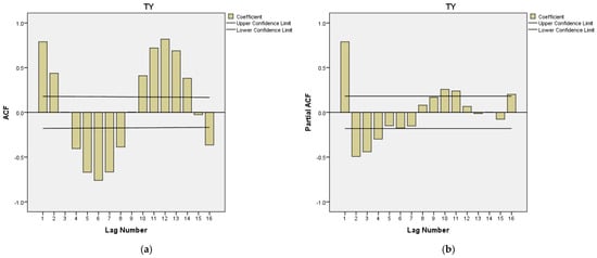
| Lag | Autocorrelation | Std. Error * | Box–Ljung Statistic | ||
|---|---|---|---|---|---|
| Value | df | Sig. ** | |||
| 1 | 0.789 | 0.089 | 77.880 | 1 | 0.000 |
| 2 | 0.437 | 0.089 | 101.947 | 2 | 0.000 |
| 3 | 0.000 | 0.089 | 101.947 | 3 | 0.000 |
| 4 | −0.405 | 0.088 | 122.991 | 4 | 0.000 |
| 5 | −0.670 | 0.088 | 181.053 | 5 | 0.000 |
| 6 | −0.760 | 0.088 | 256.437 | 6 | 0.000 |
| 7 | −0.666 | 0.087 | 314.841 | 7 | 0.000 |
| 8 | −0.387 | 0.087 | 334.671 | 8 | 0.000 |
| 9 | 0.001 | 0.086 | 334.672 | 9 | 0.000 |
| 10 | 0.409 | 0.086 | 357.321 | 10 | 0.000 |
| 11 | 0.720 | 0.086 | 427.917 | 11 | 0.000 |
| 12 | 0.819 | 0.085 | 520.126 | 12 | 0.000 |
| 13 | 0.689 | 0.085 | 585.924 | 13 | 0.000 |
| 14 | 0.381 | 0.084 | 606.263 | 14 | 0.000 |
| 15 | −0.026 | 0.084 | 606.357 | 15 | 0.000 |
| 16 | −0.365 | 0.084 | 625.324 | 16 | 0.000 |
| Lag | Partial Autocorrelation | Std. Error |
|---|---|---|
| 1 | 0.789 | 0.091 |
| 2 | −0.493 | 0.091 |
| 3 | −0.441 | 0.091 |
| 4 | −0.299 | 0.091 |
| 5 | −0.149 | 0.091 |
| 6 | −0.174 | 0.091 |
| 7 | −0.151 | 0.091 |
| 8 | 0.080 | 0.091 |
| 9 | 0.169 | 0.091 |
| 10 | 0.257 | 0.091 |
| 11 | 0.239 | 0.091 |
| 12 | 0.067 | 0.091 |
| 13 | −0.013 | 0.091 |
| 14 | 0.000 | 0.091 |
| 15 | −0.076 | 0.091 |
| 16 | 0.202 | 0.091 |
| Model Fit | |||||||||||
|---|---|---|---|---|---|---|---|---|---|---|---|
| Fit Statistic | Mean | SE | Minimum | Maximum | Percentile | ||||||
| 5 | 10 | 25 | 50 | 75 | 90 | 95 | |||||
| Stationary R-Squared | 0.802 | . | 0.802 | 0.802 | 0.802 | 0.802 | 0.802 | 0.802 | 0.802 | 0.802 | 0.802 |
| R-Squared | 0.802 | . | 0.802 | 0.802 | 0.802 | 0.802 | 0.802 | 0.802 | 0.802 | 0.802 | 0.802 |
| RMSE | 106.009 | . | 106.009 | 106.009 | 106.009 | 106.009 | 106.009 | 106.009 | 106.009 | 106.009 | 106.009 |
| MAPE | 18.591 | . | 18.591 | 18.591 | 18.591 | 18.591 | 18.591 | 18.591 | 18.591 | 18.591 | 18.591 |
| MaxAPE | 107.209 | . | 107.209 | 107.209 | 107.209 | 107.209 | 107.209 | 107.209 | 107.209 | 107.209 | 107.209 |
| MAE | 82.340 | . | 82.340 | 82.340 | 82.340 | 82.340 | 82.340 | 82.340 | 82.340 | 82.340 | 82.340 |
| MaxAE | 255.018 | . | 255.018 | 255.018 | 255.018 | 255.018 | 255.018 | 255.018 | 255.018 | 255.018 | 255.018 |
| Normalized BIC | 9.485 | . | 9.485 | 9.485 | 9.485 | 9.485 | 9.485 | 9.485 | 9.485 | 9.485 | 9.485 |
| Model Fit | |||||||||||
|---|---|---|---|---|---|---|---|---|---|---|---|
| Fit Statistic | Mean | SE | Minimum | Maximum | Percentile | ||||||
| 5 | 10 | 25 | 50 | 75 | 90 | 95 | |||||
| Stationary R-Squared | 0.856 | . | 0.856 | 0.856 | 0.856 | 0.856 | 0.856 | 0.856 | 0.856 | 0.856 | 0.856 |
| R-Squared | 0.856 | . | 0.856 | 0.856 | 0.856 | 0.856 | 0.856 | 0.856 | 0.856 | 0.856 | 0.856 |
| RMSE | 92.303 | . | 92.303 | 92.303 | 92.303 | 92.303 | 92.303 | 92.303 | 92.303 | 92.303 | 92.303 |
| MAPE | 15.720 | . | 15.720 | 15.720 | 15.720 | 15.720 | 15.720 | 15.720 | 15.720 | 15.720 | 15.720 |
| MaxAPE | 85.819 | . | 85.819 | 85.819 | 85.819 | 85.819 | 85.819 | 85.819 | 85.819 | 85.819 | 85.819 |
| MAE | 70.398 | . | 70.398 | 70.398 | 70.398 | 70.398 | 70.398 | 70.398 | 70.398 | 70.398 | 70.398 |
| MaxAE | 242.351 | . | 242.351 | 242.351 | 242.351 | 242.351 | 242.351 | 242.351 | 242.351 | 242.351 | 242.351 |
| Normalized BIC | 9.405 | . | 9.405 | 9.405 | 9.405 | 9.405 | 9.405 | 9.405 | 9.405 | 9.405 | 9.405 |
| Month | Forecast ARIMA (2,0,1) | Conf. Int. ARIMA (2,0,1) | Forecast ARIMA (3,0,4) | Conf. Int. ARIMA (3,0,4) |
|---|---|---|---|---|
| August 2023 | 158.47 | [121.94; 194.99] | 149.83 | [119.08; 180.58] |
| September 2023 | 137.44 | [87.05; 187.83] | 115.60 | [82.11; 149.09] |
| October 2023 | 110.06 | [54.06; 166.06] | 89.45 | [55.88; 123.03] |
| November 2023 | 83.85 | [27.11; 140.6] | 63.87 | [30.29; 97.44] |
| December 2023 | 65.24 | [8.11; 122.38] | 50.86 | [17.27; 84.45] |
| January 2024 | 58.03 | [−2.21; 118.27] | 49.99 | [16.39; 83.59] |
| February 2024 | 62.76 | [−2.61; 128.13] | 64.45 | [30.84; 98.05] |
| March 2024 | 76.92 | [7.06; 146.78] | 88.14 | [54.52; 121.77] |
| April 2024 | 95.94 | [23.85; 168.04] | 116.42 | [82.80; 150.04] |
| May 2024 | 114.53 | [42.06; 186.99] | 140.47 | [106.85; 174.10] |
| June 2024 | 128.09 | [55.52; 200.66] | 154.82 | [121.20; 188.44] |
| Jully 2024 | 133.80 | [60.1; 207.49] | 154.92 | [121.30; 188.54] |
| August 2024 | 131.09 | [55.32; 206.86] | 141.28 | [107.65; 174.91] |
| September 2024 | 121.58 | [43.83; 199.33] | 117.14 | [83.51; 150.78] |
| October 2024 | 108.39 | [29.57; 187.22] | 89.26 | [55.62; 122.90] |
| November 2024 | 95.23 | [16.2; 174.27] | 64.84 | [31.20; 98.48] |
| December 2024 | 85.38 | [6.32; 164.44] | 50.59 | [16.96; 84.22] |
| Month | Forecast ARIMA (2,0,1) | Conf. Int. ARIMA (2,0,1) | Forecast ARIMA (3,0,5) | Conf. Int. ARIMA (3,0,5) |
|---|---|---|---|---|
| August 2023 | 887.41 | [682.85; 1091.97] | 838.04 | [666.42; 1009.67] |
| September 2023 | 769.69 | [487.50; 1051.88] | 690.56 | [502.76; 878.36] |
| October 2023 | 616.33 | [302.73; 929.93] | 513.46 | [321.10; 705.82] |
| November 2023 | 469.59 | [151.80; 787.37] | 377.03 | [184.68; 569.37] |
| December 2023 | 365.36 | [45.39; 685.33] | 291.46 | [99.13; 483.80] |
| January 2024 | 324.98 | [−12.39; 662.35] | 283.33 | [91.00; 475.67] |
| February 2024 | 351.45 | [−14.64; 717.55] | 351.02 | [158.66; 543.38] |
| March 2024 | 430.77 | [39.55; 821.99] | 480.27 | [287.88; 672.66] |
| April 2024 | 537.27 | [133.53; 941.02] | 632.93 | [440.53; 825.32] |
| May 2024 | 641.36 | [235.55; 1047.17] | 772.08 | [579.70; 964.47] |
| June 2024 | 717.30 | [310.91; 1123.68] | 856.98 | [664.62; 1049.35] |
| July 2024 | 749.25 | [336.55; 1161.94] | 868.72 | [676.35; 1061.09] |
| August 2024 | 734.10 | [309.78; 1158.41] | 800.49 | [608.10; 992.88] |
| September 2024 | 680.85 | [245.42; 1116.27] | 674.13 | [481.70; 866.55] |
| October 2024 | 607.01 | [165.58; 1048.44] | 519.61 | [327.18; 712.04] |
| November 2024 | 533.31 | [90.72; 975.90] | 381.73 | [189.31; 574.14] |
| December 2024 | 478.13 | [35.38; 920.88] | 293.54 | [101.14; 485.94] |
Disclaimer/Publisher’s Note: The statements, opinions and data contained in all publications are solely those of the individual author(s) and contributor(s) and not of MDPI and/or the editor(s). MDPI and/or the editor(s) disclaim responsibility for any injury to people or property resulting from any ideas, methods, instructions or products referred to in the content. |
© 2024 by the authors. Licensee MDPI, Basel, Switzerland. This article is an open access article distributed under the terms and conditions of the Creative Commons Attribution (CC BY) license (https://creativecommons.org/licenses/by/4.0/).
Share and Cite
Sapundzhi, F.; Chikalov, A.; Georgiev, S.; Georgiev, I. Predictive Modeling of Photovoltaic Energy Yield Using an ARIMA Approach. Appl. Sci. 2024, 14, 11192. https://doi.org/10.3390/app142311192
Sapundzhi F, Chikalov A, Georgiev S, Georgiev I. Predictive Modeling of Photovoltaic Energy Yield Using an ARIMA Approach. Applied Sciences. 2024; 14(23):11192. https://doi.org/10.3390/app142311192
Chicago/Turabian StyleSapundzhi, Fatima, Aleksandar Chikalov, Slavi Georgiev, and Ivan Georgiev. 2024. "Predictive Modeling of Photovoltaic Energy Yield Using an ARIMA Approach" Applied Sciences 14, no. 23: 11192. https://doi.org/10.3390/app142311192
APA StyleSapundzhi, F., Chikalov, A., Georgiev, S., & Georgiev, I. (2024). Predictive Modeling of Photovoltaic Energy Yield Using an ARIMA Approach. Applied Sciences, 14(23), 11192. https://doi.org/10.3390/app142311192

