Next Article in Journal
Monitoring and Modeling Urban Temperature Patterns in the State of Iowa, USA, Utilizing Mobile Sensors and Geospatial Data
Previous Article in Journal
Hyperspectral Image Classification Method Based on Morphological Features and Hybrid Convolutional Neural Networks
 
 
Font Type:
Arial Georgia Verdana
Font Size:
Aa Aa Aa
Line Spacing:
Column Width:
Background:
Article

Polarized Three-Dimensional Reconstruction of Maritime Targets Through Zenith Angle Estimation from Specular and Diffuse Reflections

Navigation College, Dalian Maritime University, Dalian 116026, China
*
Author to whom correspondence should be addressed.
Appl. Sci. 2024, 14(22), 10579; https://doi.org/10.3390/app142210579
Submission received: 23 October 2024 / Revised: 14 November 2024 / Accepted: 14 November 2024 / Published: 16 November 2024

Abstract

Polarized 3D imaging technology reconstructs the three-dimensional (3D) surface shape of an object by analyzing the polarization characteristics of light reflected from its surface. A key challenge in polarized 3D imaging is accurately estimating the zenith angle. Specular light poses a notable challenge in estimating the zenith angle because it conveys limited information regarding the target. To enhance the accuracy and robustness of zenith angle estimation for specular light, this study proposes a novel zenith angle estimation method that utilizes both specular and diffuse reflections. Based on the estimated zenith angle, the target surface shape was reconstructed. The feasibility of the proposed method was validated using polarimetric images of marine targets, offering a new solution for the accurate identification and 3D imaging of distant maritime targets.

1. Introduction

Maritime target recognition faces notable challenges due to the complexity of marine environments, such as varying lighting conditions, wave interference, and weather factors. These conditions severely reduce imaging accuracy, particularly for long-distance maritime target recognition and detection. To address these challenges, researchers have developed various three-dimensional imaging technologies, such as structured light 3D imaging, stereo vision, holographic 3D imaging, light detection and ranging (LiDAR), and time-of-flight (ToF) technology.
Structured light 3D imaging involves projecting a known structured light pattern onto a target surface and using cameras to capture the deformed light pattern to reconstruct the target’s 3D information. However, this method is highly sensitive to ambient light, especially in complex outdoor settings. Furthermore, the high complexity of structured light 3D imaging systems limits their practicality in real-world 3D applications [1]. Although stereo vision can reconstruct the 3D information of targets by capturing two or more images from different angles, the disparity is often inaccurate in low-texture and repetitive texture regions; moreover, image matching increases computational costs [2]. Holographic 3D imaging relies on high-precision optical components and stable lasers, making it impractical and costly for real-world applications because of its complex system architecture [3].
Although LiDAR provides excellent accuracy, it performs poorly in marine environments, particularly under adverse weather conditions [4]. In addition, laser signal degradation over long distances hampers its suitability for long-range target identification [5]. ToF technology relies on measuring the target distance based on light speed differences but suffers from notably reduced accuracy with increasing scene depth, requiring high-frequency signals and complex electronic components to mitigate signal attenuation [6].
More recently, polarized 3D imaging has emerged as a prominent research area. This technology is based on using the polarization properties of light to capture the geometric morphology of a target’s surface under complex lighting conditions by analyzing the polarization changes in the reflected light. Polarized 3D imaging overcomes the limitations of traditional 3D imaging methods for long-range imaging and adapts to varying lighting conditions [7], making it highly suitable for target recognition and imaging in marine environments. By using polarized 3D imaging, essential geometric information, such as the zenith and azimuth angles of light reflected from an object’s surface, can be obtained for 3D reconstruction. Unlike traditional geometric 3D imaging, which relies on multiview images or structured light, polarized 3D imaging derives normal surface information from the polarization properties of light using a single image [8].
In practical applications, the zenith and azimuth angles are critical for precise 3D reconstruction. Numerous studies have examined methods for extracting these angles from polarized images for 3D target reconstruction. Liu et al. proposed an improved normal estimation method by analyzing the combined polarization properties of specular and diffuse reflections, which enhanced 3D reconstruction accuracy [9]. Smith et al. introduced a surface normal estimation strategy that simultaneously employs polarization and geometric information [10]. Zhang et al. explored ways to improve the reconstruction accuracy of complex surface shapes by incorporating near-infrared polarization data [11].

2. Related Work

Polarized 3D imaging technology has made notable advances in reconstructing the geometric morphology of target surfaces, particularly in scenarios where specular and diffuse reflections coexist. The combination of these reflections complicates 3D reconstruction, prompting researchers to develop separation methods.
Huang et al. introduced a method based on a dichromatic reflection model that effectively enhances the accuracy of 3D reconstruction by separating specular and diffuse reflections. This method is particularly suitable for 3D imaging of highly reflective surfaces and considerably reduces the interference of specular reflections in polarized imaging [12]. Similarly, Stolz et al. developed a 3D reconstruction method that utilizes multispectral polarization information, which effectively addresses the ambiguity in zenith angle calculations and improves reconstruction accuracy [13]. Kadambi et al. enhanced the estimation accuracy of azimuth and zenith angles by utilizing a rough depth map from a Kinect sensor to correct normal vectors and eliminate azimuth ambiguity, thereby improving the target depth accuracy using polarization cues [14]. Li et al. focused on the 3D reconstruction of complex surface shapes and proposed a technique based on near-infrared polarized imaging that globally corrects uncertainties in surface normals, considerably enhancing 3D reconstruction accuracy [15]. Zhang et al. designed a polarized 3D imaging system optimized for complex environments, demonstrating its feasibility for 3D reconstruction under adverse weather and complex backgrounds [16].
Atkinson and Hancock proposed a novel method for estimating target surface geometry by integrating polarization and shading information, notably enhancing shape recovery accuracy using shape-from-shadow information [17]. Additionally, Miyazaki et al. investigated the use of polarized images to distinguish the reflections of transparent surfaces from the background, which is crucial for reconstructing complex 3D surfaces [18]. Li and Jiang explored the potential applications of polarization imaging in complex scenes. Li focused on reconstructing surface morphologies using polarized imaging in intricate scenarios [19], whereas Jiang introduced a new method for processing polarization information and reconstructing 3D features [20].
In this study, we employed Fresnel’s law and Snell’s law to estimate the zenith angle of target reflected light from both specular and diffuse reflections. We developed a mixed reflection model for 3D surface reconstruction that demonstrates high precision under natural lighting conditions. Unlike traditional methods, the proposed approach is applicable not only in controlled laboratory environments but also in complex outdoor settings, offering notably improved 3D reconstruction accuracy for distant maritime targets.

3. Proposed Method for Zenith Angle Estimation from Mixed Reflected Light

3.1. Principle of Polarized 3D Reconstruction

Generally, natural light is assumed to be completely unpolarized. However, after reflection on the surface of targets, light is partially polarized. The polarization state of the reflected light is related to the material ingredients, surface roughness, and angle of incidence [21].
According to the law of reflection, the angle of incidence equals the angle of reflection, denoted as θ in Figure 1. The propagation direction of the reflected light is along the Z-axis, whereas the XY plane is the plane of the detector. The projection of the object surface normal n onto the XY plane is n , and the angle between n and the X-axis is the azimuth angle φ. θ p o l represents the linear polarization direction of the polarizer [20].
The zenith angle θ and the azimuth angle φ determine the surface normal, which can be expressed as follows [22]:
n = n x n y n z = cos θ cos φ cos θ sin φ cos θ = tan θ cos φ tan θ sin φ 1
where θ ∈ [0°, 90°], φ ∈ [0°, 360°], n x , n y , n z , and n represent the components in the three directions, respectively. The surface normal vector represents the gradient information related to changes in the shape of an object’s surface. p and q denote the gradient fields of the surface normal in the x and y directions, respectively [23].
p = tan θ cos φ = z x q = tan θ sin φ = z y
The degree of polarization of the diffuse reflected light P t and specular reflected light P r with respect to the zenith angle θ and the refractive index n of the object surface are expressed as follows [24]:
P t = n 1 n 2 sin 2 θ 2 + 2 n 2 n + 1 n 2 sin 2 θ + 4 cos θ n 2 sin 2 θ P r = 2 sin 2 θ cos θ n 2 sin 2 θ n 2 sin 2 θ cos 2 θ + sin 4 θ
The azimuth angle φ can be calculated as follows [23]:
φ = 1 2 arctan ( S 2 S 1 ) + 0 ° ,   S 1 > 0 ; S 2 0 arctan ( S 2 S 1 ) + 180 ° ,   S 1 > 0 ; S 2 < 0 arctan ( S 2 S 1 ) + 90 ° ,   S 1 < 0 π 4 ,   S 1 = 0 ; S 2 > 0 3 π 4 ,   S 1 = 0 ; S 2 < 0
In practical applications, the polarization state of a light wave is often represented by the Stokes vector, which consists of the Stokes parameters. I 0 denotes the intensity of the horizontally polarized component of the light beam, I 90 is the intensity of the vertically polarized component, I 45 is the intensity of the component polarized at 45°, and I 135 is the intensity of the component polarized at 135°. The Stokes parameters are defined as follows:
S 1 = I 0 I 90 S 2 = I 45 I 135
The surface normal at each point can be determined by substituting the obtained zenith angle θ and azimuth angle φ into Equation (1). Thereafter, the target surface depth function can be evaluated using the Frankot–Chellappa integration algorithm [25].

3.2. Zenith Angle Estimation from Two Types of Reflected Light

Based on Equation (1), the gradient magnitude of the object surface can be derived as follows [26]:
f = p 2 + q 2 = tan θ
This equation indicates that the gradient magnitude of the object surface is related solely with the zenith angle. Therefore, the accuracy of the zenith angle directly influences the details of the reconstructed surface. The more accurate the zenith angle is, the greater the revealed detail is and the clearer the contours of the 3D image are.
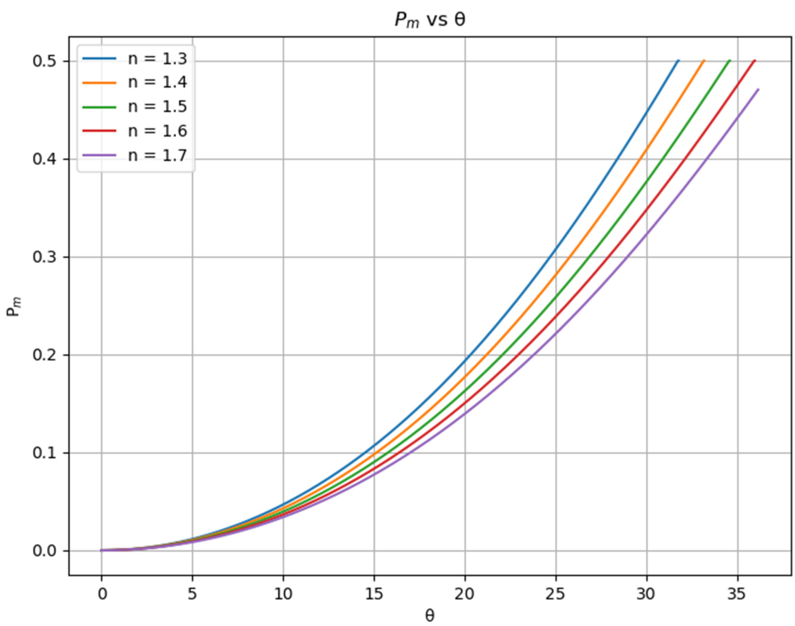
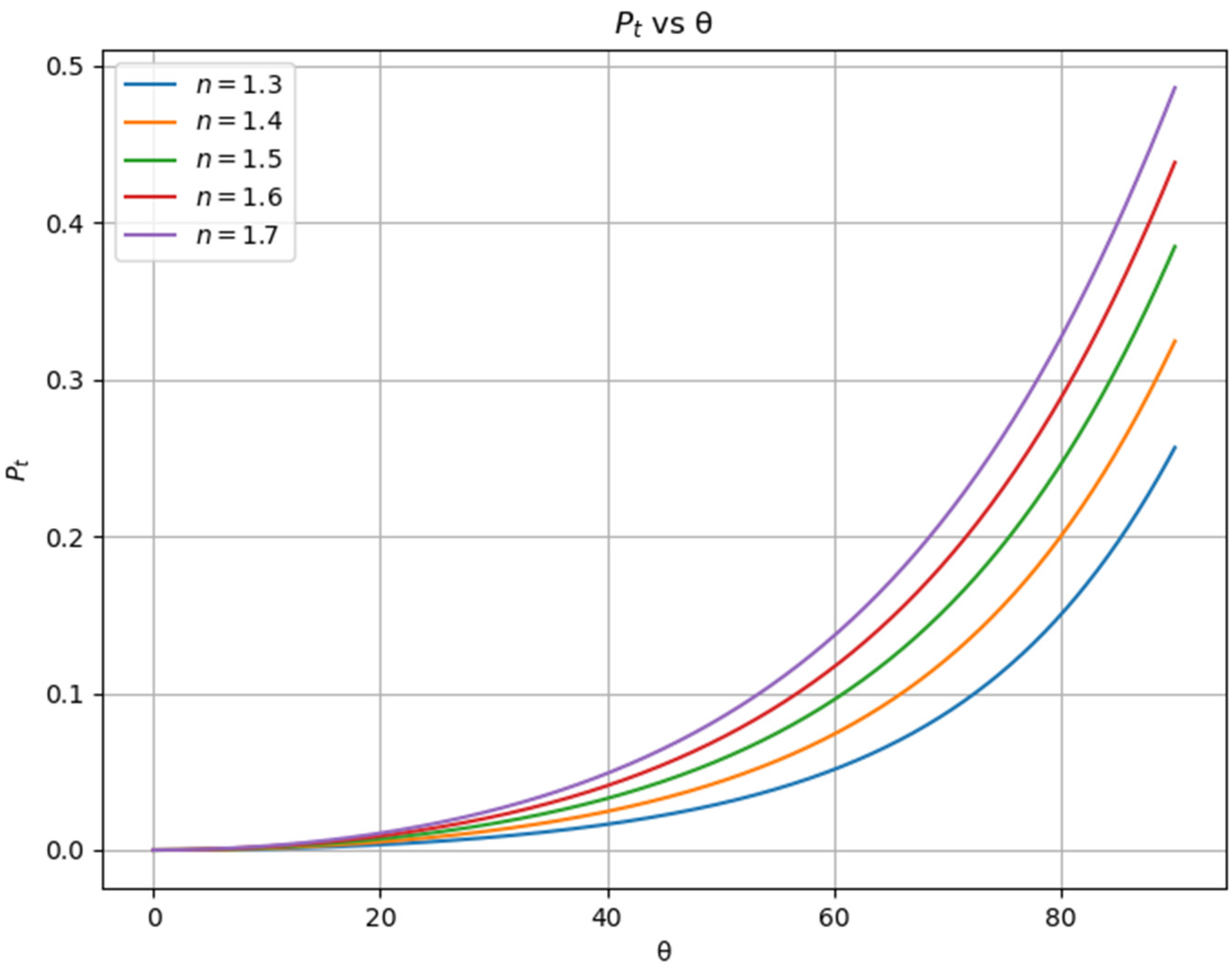
The light reflected from the target surface can be divided into specular and diffuse reflections. In the early stages of polarized 3D reconstruction research, many researchers relied primarily on specular reflection characteristics for target restoration. However, specular reflection exhibits strong directionality, and its degree of polarization has a multivalued relationship with the incidence angle, as shown in Figure 2. This complexity can lead to inaccurate 3D reconstruction results. To address these issues, subsequent research has proposed the use of the degree of polarization of diffuse light to obtain the incidence angle. In this process, light enters the object’s surface and, after transmission through the object, exits into the air as diffused light. This light not only possesses polarization properties but also maintains a one-to-one relationship between its degree of polarization and the angle of incidence, as shown in Figure 3.
When calculating the zenith angle, the effectiveness of the specular and diffuse reflection models depends on the type of reflected light. Under controlled laboratory lighting conditions—typically within a single darkroom environment—the light source is typically a point source. The target object is moderately sized and composed of uniform material, ensuring a short distance between the target and the camera with no interfering factors within the field of view. This setup helps ensure the uniqueness of the reflected light component. Given the limitations of specular and diffuse reflection models, this study proposes a method for solving the zenith angle from mixed reflected light, making it suitable for outdoor natural lighting conditions. The proposed method allows for the accurate calculation of the zenith angle while remaining robust against variations in the reflected light components. Thus, it achieves high precision in polarized 3D reconstruction.

3.3. Zenith Angle Estimation Model Based on Two Types of Reflected Light

The relationship between the amplitude and the phase of incident, as well as reflected and refracted light, can be derived based on the electromagnetic theory of light [21]. This relationship is further described by Fresnel’s laws, where a plane wave with a vector direction can be decomposed into s and p components, as illustrated in Figure 4.
The reflection coefficients r s and r p , and the transmission coefficients t s and t p for the s and p components, can be defined as follows:
r s = E 0 r E 0 i = n 1 cos θ i n 2 cos θ t n 1 cos θ i + n 2 cos θ t r p = E 0 r // E 0 i // = n 2 cos θ i n 1 cos θ t n 2 cos θ i + n 1 cos θ t t s = E 0 t E 0 i = 2 n 1 cos θ i n 1 cos θ i + n 2 cos θ t t p = E 0 t // E 0 i // = 2 n 1 cos θ i n 2 cos θ i + n 1 cos θ t
where n 1 and n 2 represent the refractive indices of different media, and n 1 = 1 for the light incident from the air. According to Snell’s law,
n 1 sin θ i = n 2 sin θ t
The reflectance R and transmittance T are defined as follows:
R s = r s 2 , R p = r p 2 T s = 1 R s , T p = 1 R s
According to the definition of the polarization degree, the degree of polarization of the reflected and refracted light can be expressed as follows [19]:
P r = R p R s R p + R s , P t = T p T s T p + T s
The light received by the detector is a mixture of specular and diffuse reflected light. S m , S r , and S t represent the intensity of the mixed light received by the detector, the intensity of the specular reflected light, and that of the diffuse reflected light, respectively; P m , P r , and P t denote the degree of polarization of the mixed light, the specular reflected light, and the diffused reflected light, respectively. Therefore, we can obtain the following:
S m P m = S r P r + S t P t
S m = S r + S t
S r S t = R p + R s T p + T s
Furthermore, we can obtain the following:
S r S t = P m P t P r P m = R p + R s T p + T s
Considering Equations (9)–(14), we can obtain the following:
S r S t = r p 2 + r s 2 2 r p 2 r s 2
Substituting Snell’s law into the equation, the relationship between the degree of polarization of the mixed reflected light from the object surface, the refractive index of the object surface, and the zenith angle can be derived as follows:
( cos θ n cos [ a r c sin ( sin θ n ) ] ) 2 ( cos θ + n cos [ a r c sin ( sin θ n ) ] ) 2 + ( n cos θ cos [ a r c sin ( sin θ n ) ] ) 2 ( n cos θ + cos [ a r c sin ( sin θ n ) ] ) 2 2 { ( cos θ n cos [ a r c sin ( sin θ n ) ] ) 2 ( cos θ + n cos [ a r c sin ( sin θ n ) ] ) 2 + ( n cos θ cos [ a r c sin ( sin θ n ) ] ) 2 ( n cos θ + cos [ a r c sin ( sin θ n ) ] ) 2 } = P m P r P t P m
The relationship is depicted in the Figure 5 below.

4. Experiments and Analysis

4.1. Experimental Setup

The physical setup of the polarized image acquisition system is shown in Figure 6. The experimental system mainly consisted of a light source, a polarization camera, maritime targets, and a computer. The light source illuminated the target’s surface, and the reflected light was captured by the polarization camera. The acquired digital images were subsequently transmitted to a computer for processing. The sun served as the light source, and the polarization camera was a division of the focal plane polarized imaging system, model OR-250CNC-P (Milltronics, Waconia, MN, USA). Figure 6b shows the lens, which has a diameter of 50 mm and a relative aperture of 1:2.8; Figure 6c shows the camera and lens assembly; Figure 6d displays the camera’s imaging interface; and Figure 7 illustrates the pixel arrangement in the polarization detector.
To obtain experimental data, the polarization camera captured images of the seaside on a sunny day. To ensure high-quality image data, the camera was stabilized on a tripod with a gimbal. The resolution of the images is 2448 × 2048, with the adjacent 4 pixels arranged in a 2 × 2 grid corresponding to the polarization directions of 0°, 45°, 90°, and 135°, respectively. The raw image was split into four polarized images—0°, 45°, 90°, and 135°—each with a resolution of 1224 × 1024. The code of the proposed 3D reconstruction algorithm was implemented in Python and executed on a laptop with a 12th Gen Intel (R) Core (TM) i7-12700H 2.30 GHz (Intel Corporation, Santa Clara, CA, USA).

4.2. Experimental Results

4.2.1. Long-Distance Maritime Target

We acquired images under natural light conditions at the seaside for long-distance targets to verify the proposed method.
Figure 8 presents the image of a “lighthouse” set against a sea-sky background at a distance of ~1.5 km, captured under direct sunlight. Figure 9 depicts a seaside building from a distance of ~200 m, wherein the sun was obscured but the sky was brightly illuminated. We employed the diffuse reflection theoretical model in Equation (6) and the proposed mixed light-based zenith angle solution model to reconstruct the zenith angle for both targets.
Figure 10a displays the outline of a lighthouse. Despite some areas appearing relatively bright, owing to the strong direct sunlight, the basic shape of the lighthouse, including its tower body and the lantern room at the top, is clearly identifiable. This suggests that the depth map retains a certain level of detail, adequately conveying the outline and key features of the structure.
Conversely, Figure 10b is more blurred, which increases the difficulty of discerning specific structures or objects. It exhibits a gradient effect that gradually darkens from the center outward. The central area of the image is slightly brighter but lacks clear edges and details, making it challenging to determine the target shape. Overall, the depth information provided by this image is very inaccurate, offering a vague sense of spatial depth and lacking recognizable details.
Figure 11a demonstrates that the outline of the lighthouse is relatively clear, particularly the tower body. The top and bottom parts are quite distinct, and the overall structure exhibits a banded distribution. There is significant local depth variation, with a noticeable ripple-like structure near the top of the lighthouse. In the zoomed-in sections on the left and right sides of the lighthouse, finer surface details are displayed. The sides of the lighthouse are well restored, especially in the higher areas, with distinct detail.
In the results reconstructed based on the diffuse reflection model, it is evident that the depth of the target surface is smoother compared to the reconstructed depth by our proposed method. Although the overall outline still resembles the shape of the lighthouse, the level of surface texture detail is not as pronounced as in Figure 11a. In the zoomed-in sections, the surface structure is smoother. The reconstruction result in Figure 11b exhibits less prominent depth compared to the left side.
The brightness distribution in Figure 12a prominently depicts the cylindrical tower structure, with adequate representation of the brick texture in the middle of the tower body. The image reveals the brick structure of the lighthouse, displaying the depth variations in the gaps between the bricks. Specifically, in the central part of the tower, the alternating bright and dark areas form a regular pattern that displays the arrangement of the bricks and their depth variations.
In contrast, Figure 12b exhibits lower brightness, with the depth information appearing smoother, and almost no distinct details are visible. The depth information shown is relatively even, and whereas the overall outline of the tower can still be observed, the surface details are significantly reduced compared to Figure 12a. The brick texture is almostly invisible, and the surface presents a smooth, curved effect.
Figure 13a illustrates the surface details of the tower, particularly the arrangement of the bricks. Overall, the surface texture of the tower is clear, especially in the middle area, where a regular layered structure is visible. The top region of the image exhibits more drastic color variations, indicating significant target surface depth changes.
In contrast, Figure 13b exhibits minimal undulation, and the detailed representation is inferior to Figure 13a. Most notably, the true depth information at the top of the image is almost completely lost.

4.2.2. The Generalization Ability of the Proposed Method for Indoor Polarized Images

Furthermore, we used a publicly available dataset to obtain the images shown in Figure 14, which feature a bus model captured at close range under indoor natural light conditions. We used this dataset to validate the method proposed in this paper [28].
Figure 15a is relatively clear, particularly with the distinct outline of the double-decker bus. The front and rear outlines, roof, and the layered structure of the bus are clearly visible. The 3D appearance of the bus is well represented, especially between the upper and lower decks, where the contours are more pronounced.
In contrast, Figure 15b displays a blurred outline. Although the basic outline of the double-decker bus can still be discerned, the boundaries are not as distinct as in Figure 15a. The front of the bus appears blurred, and the sense of layering is weaker. The surface depth difference between the upper and lower decks is not as apparent as in Figure 15a, and the gradient of the contours is smoother and lacks depth of clarity.
The overall structure of the double-decker bus is illustrated in Figure 16. Figure 16a exhibits a strong sense of depth, with the outline of the bus well represented, particularly in the overall contour, side of the body, windows, and lettered areas, where the boundary lines are very clear, and the overall structure is well preserved. The depth difference between the two buses, front and back, is distinct, and the sense of depth is prominent, highlighting the depth difference between the bus body and the ground.
In comparison, although the basic outline of the bus is still visible in Figure 16b, the depth difference between the front and back buses is less pronounced, and the layering between the buses is not as clear as in the left image, lacking support from finer details. The 3D appearance and sense of layering of the bus are moderately weakened. The lettered area in the upper part appears blurry, and the outlines of the letters are not distinct, especially toward the edges of the image, where the shapes of the letters become indistinct. The right image loses some detail, with the edges of the letters appearing less defined.

5. Conclusions and Future Work

This study addresses the limitations of traditional polarized 3D reconstruction methods when applied to outdoor maritime scenes. By analyzing the composition of surface-emitted light under natural outdoor light conditions and applying Fresnel’s and Snell’s laws, we proposed a method for solving the zenith angle using a mixed reflection model. The proposed method effectively mitigates the detail loss commonly encountered in conventional polarized 3D reconstruction methods when working in mixed natural light environments, particularly in maritime settings. The experimental results demonstrate that the proposed method is better suited for outdoor maritime scenes because it successfully preserves fine details. The proposed method offers notable improvements in terms of depth level, contour accuracy, and reflection processing, enabling the generation of more realistic and refined results in practical 3D reconstruction scenarios, especially under complex lighting conditions.
Despite these advancements, our method still faces challenges. Under intense sunlight, which can lead to strong specular reflections, the reconstructed results may exhibit noticeable collapse and distortion in the affected regions, thereby negatively affecting the overall visual quality. In addition, the degree of polarization of the target can influence the reconstruction accuracy. Given long-distance imaging conditions outdoors, the polarization degree of the reflected light received by the detector is often attenuated. Furthermore, the polarization degree of seawater is often higher than that of the target, and their refractive indices are also different. If the refractive index of the target is set while ignoring the seawater, failure to properly extract the seawater prior to reconstruction can lead to the target being “submerged” by the seawater. In future work, we plan to address these challenges by developing techniques to improve target extraction, especially in high-polarization environments. Additionally, we aim to optimize the algorithm to reduce the runtime, enhancing the overall efficiency of the reconstruction process.

Author Contributions

Conceptualization, Z.Z. and S.Z.; methodology, S.Z.; software, S.Z.; validation, Z.Z. and R.M.; formal analysis, S.Z.; investigation, R.M.; resources, R.M.; data curation, S.Z. and Z.W.; writing—original draft preparation, S.Z.; writing—review and editing, Z.Z., Q.J. and S.Z.; visualization, Z.W. and R.M.; supervision, Z.Z.; project administration, Z.Z.; funding acquisition, Z.Z. All authors have read and agreed to the published version of the manuscript.

Funding

This research received no external funding.

Institutional Review Board Statement

Not applicable.

Informed Consent Statement

Not applicable.

Data Availability Statement

The raw data supporting the conclusions of this article will be made available by the authors upon request.

Conflicts of Interest

The authors declare no conflicts of interest.

References

  1. Hu, X.; Chen, S.; Zhang, J. Real-time 3D shape measurement based on phase-shifting structured light. Lasers Eng. 2010, 48, 1128–1136. [Google Scholar]
  2. Chen, Y.; Zhang, L.; Wang, Y. Accurate and robust 3D reconstruction using structured light. Opt. Express 2012, 20, 21464–21474. [Google Scholar]
  3. Zhang, Z. A flexible new technique for camera calibration. IEEE Trans. Pattern Anal. Mach. Intell. 2000, 22, 1330–1334. [Google Scholar] [CrossRef]
  4. Zhang, H.; Gao, C.; Lu, Z. Digital holography: Advances and future trends. Light Sci. Appl. 2020, 9, 1–19. [Google Scholar]
  5. Levinson, J.; Askeland, J.; Becker, J.; Dolson, J.; Held, D.; Kammel, S.; Kolter, J.Z.; Langer, D.; Pink, O.; Pratt, V.; et al. Towards fully autonomous driving: Systems and algorithms. In Proceedings of the IEEE Intelligent Vehicles Symposium (IV), Baden-Baden, Germany, 5–9 June 2011; pp. 163–168. [Google Scholar]
  6. Kilic, O.; Cagatay, A.; Thomas, D.; Zarr, C. Challenges in designing TOF camera systems. IEEE Sens. J. 2010, 11, 100–111. [Google Scholar]
  7. Foix, S.; Alenya, G.; Torras, C. Lock-in time-of-flight (ToF) cameras: A Survey. IEEE Sens. J. 2011, 11, 1917–1926. [Google Scholar] [CrossRef]
  8. Zhang, H.; Li, Y.; Yan, C.; Zhang, J. Three-dimensional polarization ray tracing calculus for partially polarized light. Opt. Express 2017, 25, 26973–26986. [Google Scholar] [CrossRef] [PubMed]
  9. Liu, T.; Liu, F.; Wang, D. 3D Shape estimation using polarization-based surface normal correction. J. Opt. Soc. Am. A 2017, 34, 2140–2148. [Google Scholar]
  10. Smith, W.A.P.; Ramamoorthi, R.; Tozza, S. Linear depth estimation from an uncalibrated, monocular polarisation image. In Computer Vision—ECCV 2016: 14th European Conference, Amsterdam, The Netherlands, 11–14 October 2016, Proceedings, Part VIII; Springer: Cham, Switzerland, 2016; pp. 109–125. [Google Scholar] [CrossRef]
  11. Zhang, Y.; Guo, X.; Li, S. Near-infrared polarization imaging for 3D reconstruction of complex surfaces. Opt. Lett. 2020, 45, 5471–5474. [Google Scholar]
  12. Huang, S.; Liu, F.; Han, P.; Li, X.; Li, X.; Shao, X. Surface normals correction by removing specular reflection for 3D polarization imaging. In Proceeding of the Frontiers in Optics/Laser Science, Washington, DC, USA, 16–20 September 2018; paper JTu2A.135; Optica Publishing Group: Washington, DC, USA, 2018. [Google Scholar]
  13. Stolz, C.; Ferraton, M.; Meriaudeau, F. Shape from polarization: A method for solving zenithal angle ambiguity. Opt. Lett. 2012, 37, 4218–4220. [Google Scholar] [CrossRef] [PubMed]
  14. Kadambi, A.; Taamazyan, V.; Shi, B.; Raskar, R. Polarized 3D: High-quality depth sensing with polarization cues. In Proceedings of the IEEE International Conference on Computer Vision (ICCV), Santiago, Chile, 7–13 December 2015; pp. 3370–3378. [Google Scholar]
  15. Li, X.; Liu, F.; Han, P.; Zhang, S.; Shao, X. Near-infrared monocular 3D computational polarization imaging of surfaces exhibiting nonuniform reflectance. Opt. Express 2021, 29, 15616–15630. [Google Scholar] [CrossRef] [PubMed]
  16. Zhang, Y.; Jiao, J.; Zhang, X.; Liu, Y.; Li, X.; Su, Y. The design and application of a polarization 3D imager for land object imaging. Electronics 2024, 13, 168. [Google Scholar] [CrossRef]
  17. Atkinson, G.A.; Hancock, E.R. Shape estimation using polarization and shading from two views. IEEE Trans. Pattern Anal. Mach. Intell. 2007, 29, 2001–2017. [Google Scholar] [CrossRef] [PubMed]
  18. Miyazaki, D.; Kagesawa, M.; Ikeuchi, K. Transparent surface modeling from a pair of polarization images. IEEE Trans. Pattern Anal. Mach. Intell. 2004, 26, 73–82. [Google Scholar] [CrossRef] [PubMed]
  19. Li, X. Research on Polarization 3D Imaging Technology in Complex Scenarios. Ph.D. Thesis, Xi’an University of Electronic Science and Technology, Xi’an, China, 2021. [Google Scholar]
  20. Jiang, T. Research on Polarization Imaging Information Processing and Three-Dimensional Feature Reconstruction Technology. Ph.D. Thesis, University of Chinese Academy of Sciences, Beijing, China, 2022. (In Chinese). [Google Scholar]
  21. Bass, M. (Ed.) Handbook of Optics: Fundamentals, Techniques, and Design, 2nd ed.; McGraw-Hill: New York, NY, USA, 1995. [Google Scholar]
  22. Ngo, T.T.; Nagahara, H.; Taniguchi, R. Shape and Light Directions from Shading and Polarization. In Proceedings of the 2015 IEEE Conference on Computer Vision and Pattern Recognition (CVPR), Boston, MA, USA, 7–12 June 2015; pp. 2310–2318. [Google Scholar] [CrossRef]
  23. Wu, X.; Li, P.; Zhang, X.; Chen, J.; Huang, F. Three Dimensional Shape Reconstruction via Polarization Imaging and Deep Learning. Sensors 2023, 23, 4592. [Google Scholar] [CrossRef] [PubMed]
  24. Li, X.; Liu, Z.; Cai, Y.; Pan, C.; Song, J.; Wang, J.; Shao, X. Polarization 3D Imaging Technology: A Review. Front. Phys. 2023, 11, 1198457. [Google Scholar] [CrossRef]
  25. Frankot, R.T.; Chellappa, R. A method for enforcing integrability in shape from shading algorithms. IEEE Trans. Pattern Anal. Mach. Intell. 1988, 10, 439–451. [Google Scholar] [CrossRef]
  26. Yu, Y.; Li, X.; Niu, C.; Xing, X.; Liu, X. The Influence of Illumination on the Effect of Polarization 3D Reconstruction. J. Beijing Inf. Sci. Technol. Univ. (Nat. Sci. Ed.) 2024, 39, 35–42. (In Chinese) [Google Scholar] [CrossRef]
  27. Miyazaki, D.; Shigetomi, T.; Baba, M.; Furukawa, R.; Hiura, S.; Asada, N. Surface Normal Estimation of Black Specular Objects from Multiview Polarization Images. Opt. Eng. 2017, 56, 041303. [Google Scholar] [CrossRef]
  28. Du, J. 3D Reconstruction of Small Objects Based on Polarization Imaging. CSDN. 2022. Available online: https://download.csdn.net/download/qq_40777801/86732481 (accessed on 22 October 2024).
Figure 1. Schematic diagram of the surface normal.
Figure 1. Schematic diagram of the surface normal.
Applsci 14 10579 g001
Figure 2. The degree of polarization of the specular reflection in relation to the refractive index and the angle of incidence [27].
Figure 2. The degree of polarization of the specular reflection in relation to the refractive index and the angle of incidence [27].
Applsci 14 10579 g002
Figure 3. The degree of polarization of diffuse reflection in relation to the refractive index and the angle of incidence [17].
Figure 3. The degree of polarization of diffuse reflection in relation to the refractive index and the angle of incidence [17].
Applsci 14 10579 g003
Figure 4. A diagram of the s and p components [20].
Figure 4. A diagram of the s and p components [20].
Applsci 14 10579 g004
Figure 5. The degree of polarization of the mixed reflected light in relation to the refractive index and the angle of incidence.
Figure 5. The degree of polarization of the mixed reflected light in relation to the refractive index and the angle of incidence.
Applsci 14 10579 g005
Figure 6. Experimental setup. (a) Polarimetric camera; (b) lens; (c) camera and lens combination; (d) camera imaging page.
Figure 6. Experimental setup. (a) Polarimetric camera; (b) lens; (c) camera and lens combination; (d) camera imaging page.
Applsci 14 10579 g006
Figure 7. The distribution of the polarization detector pixels.
Figure 7. The distribution of the polarization detector pixels.
Applsci 14 10579 g007
Figure 8. Polarized imaging of a seaside building. The polarization component of light (a) in the horizontal direction, (b) along the 45° direction, (c) in the vertical direction, and (d) along the 135° direction.
Figure 8. Polarized imaging of a seaside building. The polarization component of light (a) in the horizontal direction, (b) along the 45° direction, (c) in the vertical direction, and (d) along the 135° direction.
Applsci 14 10579 g008
Figure 9. Polarized imaging of the seaside structures. The polarization component of light (a) in the horizontal direction, (b) along the 45° direction, (c) in the vertical direction, and (d) along the 135° direction.
Figure 9. Polarized imaging of the seaside structures. The polarization component of light (a) in the horizontal direction, (b) along the 45° direction, (c) in the vertical direction, and (d) along the 135° direction.
Applsci 14 10579 g009
Figure 10. A comparison of the reconstructed depth maps of the target. The depth map obtained using (a) the proposed method and (b) the diffuse reflection model.
Figure 10. A comparison of the reconstructed depth maps of the target. The depth map obtained using (a) the proposed method and (b) the diffuse reflection model.
Applsci 14 10579 g010
Figure 11. Reconstruction results of the target in Figure 8. The reconstruction results obtained using (a) the proposed method and (b) the diffuse reflection theoretical model.
Figure 11. Reconstruction results of the target in Figure 8. The reconstruction results obtained using (a) the proposed method and (b) the diffuse reflection theoretical model.
Applsci 14 10579 g011
Figure 12. A comparison of the reconstructed depth maps of the target. (a) The depth map obtained by the proposed method and (b) the depth map obtained from the diffuse reflection model.
Figure 12. A comparison of the reconstructed depth maps of the target. (a) The depth map obtained by the proposed method and (b) the depth map obtained from the diffuse reflection model.
Applsci 14 10579 g012
Figure 13. Reconstruction results of the target in Figure 9. The reconstruction results obtained using (a) the proposed method and (b) the diffuse reflection theoretical model.
Figure 13. Reconstruction results of the target in Figure 9. The reconstruction results obtained using (a) the proposed method and (b) the diffuse reflection theoretical model.
Applsci 14 10579 g013
Figure 14. Close-range polarized imaging of the bus model. The polarization component of light (a) in the horizontal direction, (b) along the 45° direction, (c) in the vertical direction, and (d) along the 135° direction.
Figure 14. Close-range polarized imaging of the bus model. The polarization component of light (a) in the horizontal direction, (b) along the 45° direction, (c) in the vertical direction, and (d) along the 135° direction.
Applsci 14 10579 g014
Figure 15. A comparison of the reconstructed depth maps of the target. The depth map obtained using (a) the proposed method and (b) the diffuse reflection model.
Figure 15. A comparison of the reconstructed depth maps of the target. The depth map obtained using (a) the proposed method and (b) the diffuse reflection model.
Applsci 14 10579 g015
Figure 16. Reconstruction results of the target in Figure 14. The reconstruction result obtained using (a) the proposed method and (b) the diffuse reflection theoretical model.
Figure 16. Reconstruction results of the target in Figure 14. The reconstruction result obtained using (a) the proposed method and (b) the diffuse reflection theoretical model.
Applsci 14 10579 g016
Disclaimer/Publisher’s Note: The statements, opinions and data contained in all publications are solely those of the individual author(s) and contributor(s) and not of MDPI and/or the editor(s). MDPI and/or the editor(s) disclaim responsibility for any injury to people or property resulting from any ideas, methods, instructions or products referred to in the content.

Share and Cite

MDPI and ACS Style

Zhang, S.; Zhang, Z.; Ma, R.; Wang, Z.; Jia, Q. Polarized Three-Dimensional Reconstruction of Maritime Targets Through Zenith Angle Estimation from Specular and Diffuse Reflections. Appl. Sci. 2024, 14, 10579. https://doi.org/10.3390/app142210579

AMA Style

Zhang S, Zhang Z, Ma R, Wang Z, Jia Q. Polarized Three-Dimensional Reconstruction of Maritime Targets Through Zenith Angle Estimation from Specular and Diffuse Reflections. Applied Sciences. 2024; 14(22):10579. https://doi.org/10.3390/app142210579

Chicago/Turabian Style

Zhang, Shuolin, Zhenduo Zhang, Rui Ma, Zhen Wang, and Qilong Jia. 2024. "Polarized Three-Dimensional Reconstruction of Maritime Targets Through Zenith Angle Estimation from Specular and Diffuse Reflections" Applied Sciences 14, no. 22: 10579. https://doi.org/10.3390/app142210579

APA Style

Zhang, S., Zhang, Z., Ma, R., Wang, Z., & Jia, Q. (2024). Polarized Three-Dimensional Reconstruction of Maritime Targets Through Zenith Angle Estimation from Specular and Diffuse Reflections. Applied Sciences, 14(22), 10579. https://doi.org/10.3390/app142210579

Note that from the first issue of 2016, this journal uses article numbers instead of page numbers. See further details here.

Article Metrics

Back to TopTop