Simultaneous Removal of Strontium, Manganese, Lead and Arsenate from Wastewaters Using a Green and Low-Cost Adsorbent Derived from Nut Residues
Abstract
1. Introduction
2. Materials and Methods
2.1. Preparation and Characterization of Adsorbent Material
2.2. Mono-Metal and Multi-Metal Kinetic and Adsorption Experiments
2.3. Modelling of Equilibrium and Adsorption Data
3. Results
3.1. Physical and Chemical Properties of Adsorbent
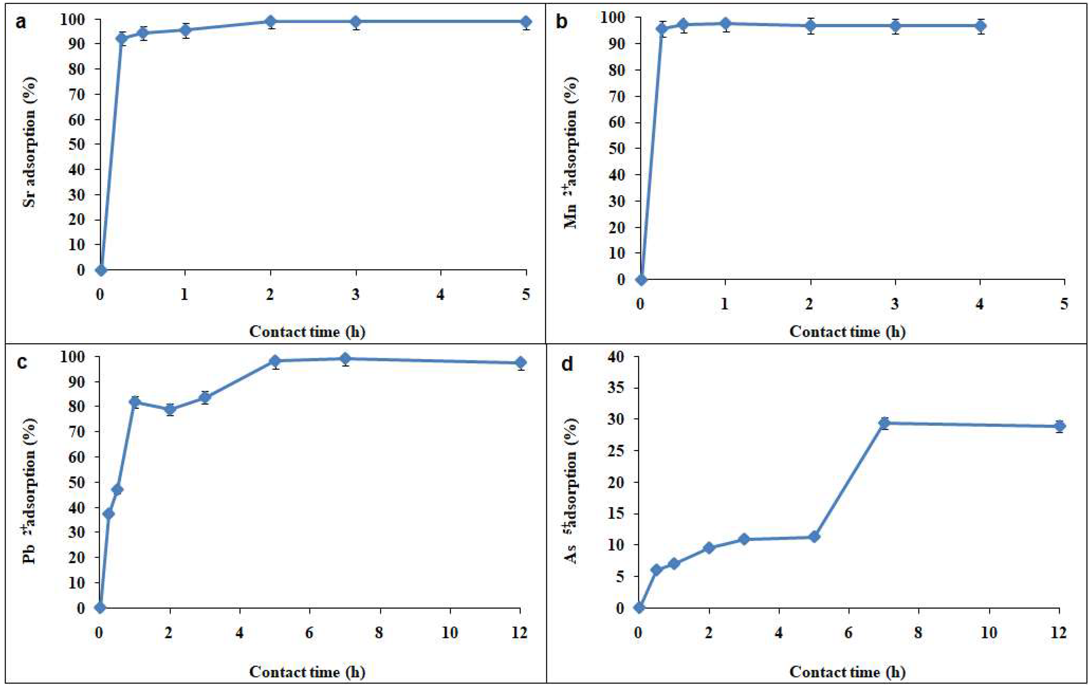
3.2. Kinetics of Sr2+, Mn2+, Pb2+ and As5+ Adsorption
3.3. Mono-Metal Adsorption Capacity
3.4. Multi-Metal Adsorption Capacity
3.5. Mechanisms of Mono-Metal/Multi-Metal Adsorption
3.6. Industrial Application and Future Prospects
4. Conclusions
Author Contributions
Funding
Data Availability Statement
Acknowledgments
Conflicts of Interest
Appendix A




References
- Park, J.; Ok, Y.; Kim, S.; Cho, J.; Heo, J.; Delaune, R.; Seo, D. Competitive adsorption of heavy metals onto sesame straw biochar in aqueous solutions. Chemosphere 2016, 142, 77–83. [Google Scholar] [CrossRef] [PubMed]
- Abouzayed, F.; El-Nasser, N.; Abouel-Enein, S. Synthesis, characterization of functionalized grafted cellulose and its environmental application in uptake of copper (II), manganese (II) and iron (III) ions. J. Molec. Struct. 2022, 1270, 133907. [Google Scholar] [CrossRef]
- Liu, J.; Huang, Z.; Chen, Z.; Sun, J.; Gao, Y.; Wu, E. Resource utilization of swine sludge to prepare modified biochar adsorbent for the efficient removal of Pb(II) from water. J. Clean. Prod. 2020, 257, 120322. [Google Scholar] [CrossRef]
- Herath, A.; Layne, C.; Perez, F.; Hassan, E.; Jr Piiman, C.; Mlsna, T. KOH-activated high surface area Douglas Fir biochar for adsorbing aqueous Cr(VI), Pb(II) and Cd(II). Chemosphere 2021, 269, 128409. [Google Scholar] [CrossRef]
- Yu, Z.; Zhou, L.; Huang, Y.; Song, Z.; Qiu, W. Effects of a manganese-oxide-modified biochar composite on adsorption of arsenic in red soil. J. Environ. Manag. 2015, 163, 155–162. [Google Scholar] [CrossRef]
- Hossain, M.; Ngo, H.; Guo, W.; Nghiem, L.; Hai, F.; Vigneswaran, S.; Nguyen, T. Competitive adsorption of metals on cabbage waste from multi-metal solutions. Biores. Technol. 2014, 160, 79–88. [Google Scholar] [CrossRef]
- Fseha, Y.; Sizirici, B.; Yildiz, I. Manganese and nitrate removal from groundwater using date palm biochar. Application for drinking water. Environ. Adv. 2022, 8, 100237. [Google Scholar] [CrossRef]
- Idrees, M.; Batool, S.; Ullah, H.; Hussain, Q.; Al-Wabel, M.I.; Ahmad, M.; Hussain, A.; Riaz, M.; Ok, Y.S.; Kong, J. Adsorption and thermodynamic mechanisms of manganese removal from aqueous media by biowaste-derived biochars. J. Molec. Liq. 2018, 266, 373–380. [Google Scholar] [CrossRef]
- Jang, J.; Miran, W.; Divine, S.; Nawaz, M.; Shahzad, A.; Woo, S.; Lee, D. Rice straw-based biochar beads for the removal of radioactive strontium from aqueous solution. Sci. Tot. Environ. 2018, 615, 698–707. [Google Scholar] [CrossRef]
- Zhang, L.; Li, W.; Cao, H.; Hu, D.; Chen, X.; Guan, Y.; Tang, J.; Gao, H. Ultra-efficient sorption of Cu2+ and Pb2+ ions by light biochar derived from Medulla tetrapanacis. Biores. Technol. 2019, 291, 121818. [Google Scholar] [CrossRef]
- Li, G.; Hao, H.; Zhuang, Y.; Wang, Z.; Shi, B. Powered activated carbon enhanced manganese(II) removal by chlorine oxidation. Water Res. 2019, 156, 287–296. [Google Scholar] [CrossRef] [PubMed]
- Lee, H.; Shin, H. Competitive adsorption of heavy metals onto modified biochars: Comparison of biochar properties and modification methods. J. Environ. Manag. 2021, 299, 113651. [Google Scholar] [CrossRef] [PubMed]
- Xu, X.; Cao, X.; Zhao, L. Comparison of rice husk-and dairy manure-derived biochars for simultaneously removing heavy metals from aqueous solutions: Role of mineral components in biochars. Chemosphere 2013, 92, 955–961. [Google Scholar] [CrossRef]
- Li, Q.; Liang, W.; Liu, F.; Wang, G.; Wan, J.; Zhang, W.; Peng, C.; Yang, J. Simultaneous immobilization of arsenic, lead and cadmium by magnesium-aluminum modified biochar in mining soil. J. Environ. Manag. 2022, 310, 114792. [Google Scholar] [CrossRef]
- Samsuri, A.; Zadeh, F.; Bardan, B. Adsorption of As (III) and As (V) by Fe coated biochars and biochars produced from empty fruit bunch and rice husk. J. Environ. Chem. Eng. 2013, 1, 981–988. [Google Scholar] [CrossRef]
- Chakraborty, V.; Das, P.; Roy, P. Carbonaceous materials synthesized from thermally treated waste materials and its application for the treatment of strontium metal solution: Batch and optimization using Response Surface Methodology. Environ. Technol. Innov. 2019, 15, 100394. [Google Scholar] [CrossRef]
- Cruz, G.; Mondal, D.; Rimaycuna, J.; Soukup, K.; Gomez, M.; Solis, J.; Lang, J. Agrowaste derived biochars impregnated with ZnO for removal of arsenic and lead in water. J. Environ. Chem. Eng. 2019, 8, 103800. [Google Scholar] [CrossRef]
- Palansooriya, K.N.; Yoon, I.-H.; Kim, S.-M.; Wang, C.-H.; Kwon, H.; Lee, S.-H.; Igalavithana, A.D.; Mukhopadhyay, R.; Sarkar, B.; Ok, Y.S. Designer biochar with enhanced functionality for efficient removal of radioactive cesium and strontium from water. Environ. Res. 2022, 214, 114072. [Google Scholar] [CrossRef]
- Vamvuka, D.; Alexandrakis, S.; Alevizos, G.; Stratakis, A. Recycling of waste materials for stabilizing ash from co-combustion of municipal solid wastes with an olive by-product: Soil leaching experiments. Soil Syst. 2020, 4, 34. [Google Scholar] [CrossRef]
- Vamvuka, D. Biomass, Bioenergy and the Environment; Tziolas Publications: Salonica, Greece, 2009. [Google Scholar]
- Vamvuka, D.; Stergiou, K.; Sdoukou, E.; Stratakis, A. Magnesium or bentonite modified almond kernel biochar for phosphate adsorption from contaminated waster solutions. J. Environ. Chem. Eng. 2024, 12, 111907. [Google Scholar] [CrossRef]
- Mahdi, Z.; El Hanandeh, A.; Yu, Q.J. Preparation, characterization and application of surface modified biochar from date seed for improved lead, copper and nickel removal from aqueous solutions. J. Environ. Chem. Eng. 2019, 7, 103379. [Google Scholar] [CrossRef]
- Jiang, M.; Yang, Y.; Lei, T.; Ye, Z.; Huang, S.; Fu, X.; Liu, P.; Li, H. Removal of phosphate by a novel activated sewage sludge biochar: Equilibrium, kinetic and mechanism studies. Applic. Ener. Comb. Sci. 2022, 9, 100056. [Google Scholar] [CrossRef]
- Zhou, N.; Che, H.; Xi, J.; Yao, D.; Zhou, Z.; Tian, Y.; Lu, X. Biochars with excellent Pb(II) adsorption property produced from fresh and dehydrated banana peels via hydrothermal carbonation. Biores. Technol. 2017, 232, 204–210. [Google Scholar] [CrossRef] [PubMed]
- Abdelhafez, A.; Li, J. Removal of Pb(II) from aqueous solution by using biochars derived from sugar cane bagasse and orange peel. J. Taiwan Inst. Chem. Eng. 2016, 61, 367–375. [Google Scholar] [CrossRef]
- Yankovych, H.; Novoseltseva, V.; Kovalenko, O.; Behunova, D.; Kanuchova, M.; Vaclavikova, M.; Melnyk, I. New perception of Zn(II) and Mn(II) removal mechanism on sustainable sunflower biochar from alkaline batteries contaminated water. J. Environ. Manag. 2021, 292, 112757. [Google Scholar] [CrossRef]
- IR Spectrum Table by Frequency Range; Merck KGaA: Darustadt, Germany, 2021.





| Sample | Volatile Matter | Fixed Carbon | Ash | C | H | N | O | S | Specific Surface Area (m2/g) | Micropore Volume × 102 (cm3/g) |
|---|---|---|---|---|---|---|---|---|---|---|
| Raw (AL) | 72.0 | 27.5 | 0.5 | 54.0 | 6.0 | 0.5 | 39.0 | - | 2.5 | 6.6 |
| Biochar (ALB) | - | 97.4 | 2.6 | 66.2 | 1.1 | - | 30.1 | - | 660 | 33.0 |
| Kinetic Model Parameters | ||||||
|---|---|---|---|---|---|---|
| Pseudo-First Order | Pseudo-Second Order | |||||
| qe (mg/g) | k1 (1/h) | R2 | qe (mg/g) | k2 (1/h) | R2 | |
| Sr2+ | 2.214 | 0.012 | 0.516 | 0.406 | 0.402 | 1.0 |
| Mn2+ | 0.933 | 0.004 | 0.023 | 0.412 | 0.413 | 1.0 |
| Pb2+ | 2.482 | 0.007 | 0.245 | 0.400 | 0.398 | 0.999 |
| As5+ | 0.732 | 0.009 | 0.427 | 1.362 | 0.973 | 0.759 |
| Initial Ion Concentration (mg/L) | Removal Efficiency (%) | pH After Adsorption | ||||||
|---|---|---|---|---|---|---|---|---|
| Sr2+ | Mn2+ | Pb2+ | As5+ | Sr2+ | Mn2+ | Pb2+ | As5+ | |
| 1 | 98.9 | 97.5 | 99.9 | - | 9.8 | 10.5 | 9.7 | 8.2 |
| 5 | 93.2 | 90.9 | 99.7 | 2.2 | 9.6 | 10.4 | 9.5 | 8.0 |
| 10 | 99.1 | 97.8 | 99.2 | 29.3 | 9.5 | 10.0 | 9.4 | 7.9 |
| 25 | 68.8 | 97.8 | 99.3 | 24.4 | 9.3 | 9.6 | 9.3 | 7.9 |
| 50 | 58.5 | 97.5 | 99.1 | 41.2 | 9.1 | 8.9 | 9.3 | 8.0 |
| 75 | 57.2 | 80.1 | 98.7 | 45.2 | 8.9 | 8.6 | 9.3 | 8.0 |
| 100 | 49.0 | 53.4 | 98.7 | 49.4 | 8.6 | 8.2 | 9.2 | 8.0 |
| Langmuir Model | Freundlich Model | |||||
|---|---|---|---|---|---|---|
| Q (mg/g) | b (L/mg) | R2 | k (L/g) | 1/n | R2 | |
| Sr2+ | 11.820 | 0.258 | 0.945 | 2.514 | 0.404 | 0.893 |
| Mn2+ | 14.306 | 0.396 | 0.977 | 2.913 | 0.604 | 0.704 |
| Pb2+ | 38.314 | 1.145 | 0.839 | 19.593 | 0.709 | 0.984 |
| As5+ | 12.469 | 0.009 | 0.205 | 0.126 | 1.080 | 0.888 |
| Adsorbent Dose 4 g/L | ||||||||
|---|---|---|---|---|---|---|---|---|
| Initial Ion Concentration (mg/L) | Removal Efficiency (%) | pH After Adsorption | ||||||
| Sr2+ | Mn2+ | Pb2+ | As5+ | Sr2+ | Mn2+ | Pb2+ | As5+ | |
| 5 | 97.9 | 99.9 | 100 | 88.4 | 9.1 | 9.1 | 9.1 | 9.1 |
| 10 | 98.0 | 99.9 | 100 | 90.8 | 8.2 | 8.2 | 8.2 | 8.2 |
| 25 | 98.3 | 99.9 | 99.9 | 95.0 | 8.2 | 8.2 | 8.2 | 8.2 |
| 50 | 97.6 | 99.8 | 99.9 | 96.8 | 8.0 | 8.0 | 8.0 | 8.0 |
| 75 | 97.4 | 99.7 | 99.9 | 97.4 | 7.9 | 7.9 | 7.9 | 7.9 |
| 100 | 97.0 | 99.6 | 99.9 | 97.7 | 7.8 | 7.8 | 7.8 | 7.8 |
| Adsorbent Dose 2 g/L | ||||||||
| 5 | 98.9 | 99.9 | 100 | 99.9 | 9.2 | 9.2 | 9.2 | 9.2 |
| 10 | 94.1 | 99.9 | 100 | 99.9 | 8.2 | 8.2 | 8.2 | 8.2 |
| 25 | 98.4 | 99.8 | 99.9 | 99.9 | 8.3 | 8.3 | 8.3 | 8.3 |
| 50 | 94.5 | 99.2 | 99.9 | 99.9 | 8.1 | 8.1 | 8.1 | 8.1 |
| 75 | 95.0 | 99.7 | 99.8 | 98.8 | 8.0 | 8.0 | 8.0 | 8.0 |
| 100 | 95.2 | 99.8 | 99.5 | 97.3 | 7.9 | 7.9 | 7.9 | 7.9 |
| Adsorbent Dose 4 g/L | ||||||
|---|---|---|---|---|---|---|
| Langmuir Model | Freundlich Model | |||||
| Q (mg/g) | b (L/mg) | R2 | k (L/g) | 1/n | R2 | |
| Sr2+ | 65.359 | 0.198 | 0.829 | 7.723 | 0.888 | 0.984 |
| Mn2+ | 31.949 | 7.825 | 0.984 | 51.463 | 0.663 | 0.975 |
| Pb2+ | 27.322 | 20.333 | 0.986 | 41.985 | 0.491 | 0.711 |
| As5+ | 7.728 | 0.342 | 0.497 | 5.182 | 1.508 | 0.857 |
| Adsorbent Dose 2 g/L | ||||||
| Sr2+ | 78.740 | 0.219 | 0.284 | 13.674 | 0.680 | 0.851 |
| Mn2+ | 25.773 | 77.6 | 0.969 | 53.015 | 0.502 | 0.779 |
| Pb2+ | 54.645 | 20.333 | 0.986 | 83.985 | 0.491 | 0.712 |
| As5+ | 81.301 | 0.583 | 0.508 | 27.327 | 0.698 | 0.850 |
Disclaimer/Publisher’s Note: The statements, opinions and data contained in all publications are solely those of the individual author(s) and contributor(s) and not of MDPI and/or the editor(s). MDPI and/or the editor(s) disclaim responsibility for any injury to people or property resulting from any ideas, methods, instructions or products referred to in the content. |
© 2024 by the authors. Licensee MDPI, Basel, Switzerland. This article is an open access article distributed under the terms and conditions of the Creative Commons Attribution (CC BY) license (https://creativecommons.org/licenses/by/4.0/).
Share and Cite
Vamvuka, D.; Sdoukou, E.; Stratakis, A. Simultaneous Removal of Strontium, Manganese, Lead and Arsenate from Wastewaters Using a Green and Low-Cost Adsorbent Derived from Nut Residues. Appl. Sci. 2024, 14, 10199. https://doi.org/10.3390/app142210199
Vamvuka D, Sdoukou E, Stratakis A. Simultaneous Removal of Strontium, Manganese, Lead and Arsenate from Wastewaters Using a Green and Low-Cost Adsorbent Derived from Nut Residues. Applied Sciences. 2024; 14(22):10199. https://doi.org/10.3390/app142210199
Chicago/Turabian StyleVamvuka, Despina, Elena Sdoukou, and Antonios Stratakis. 2024. "Simultaneous Removal of Strontium, Manganese, Lead and Arsenate from Wastewaters Using a Green and Low-Cost Adsorbent Derived from Nut Residues" Applied Sciences 14, no. 22: 10199. https://doi.org/10.3390/app142210199
APA StyleVamvuka, D., Sdoukou, E., & Stratakis, A. (2024). Simultaneous Removal of Strontium, Manganese, Lead and Arsenate from Wastewaters Using a Green and Low-Cost Adsorbent Derived from Nut Residues. Applied Sciences, 14(22), 10199. https://doi.org/10.3390/app142210199

