Impedance Spectroscopy of Lanthanum-Doped (Pb0.75Ba0.25)(Zr0.70Ti0.30)O3 Ceramics
Abstract
1. Introduction
2. Materials and Methods
3. Results and Discussion
3.1. X-Ray Diffraction
3.2. Analysis of Microstructure and Chemical Composition
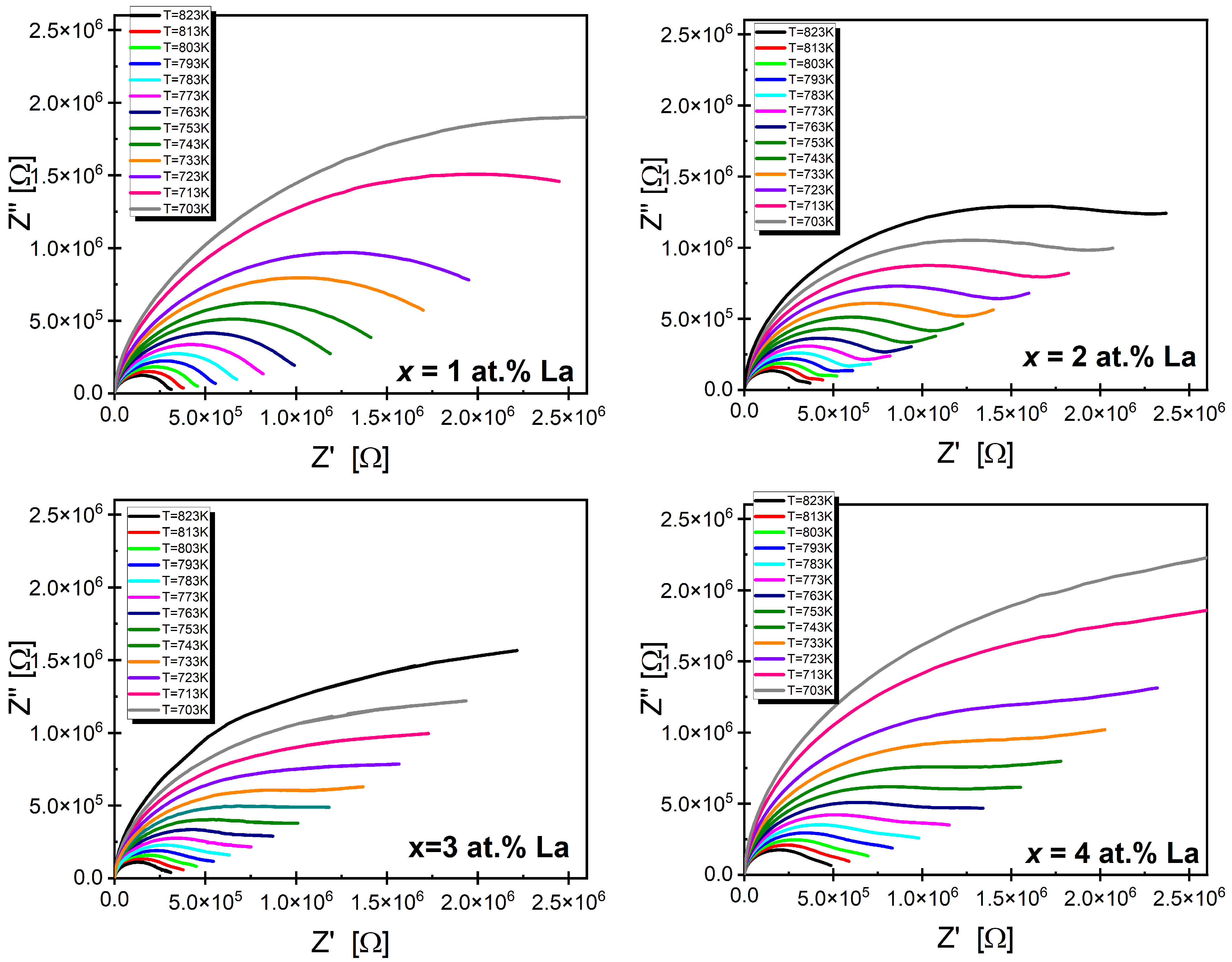
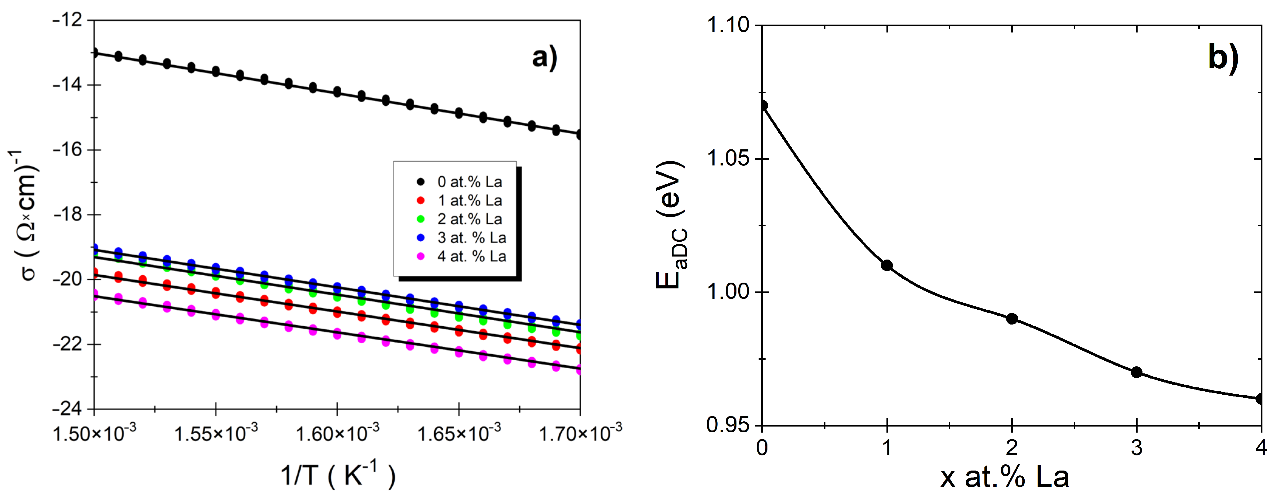
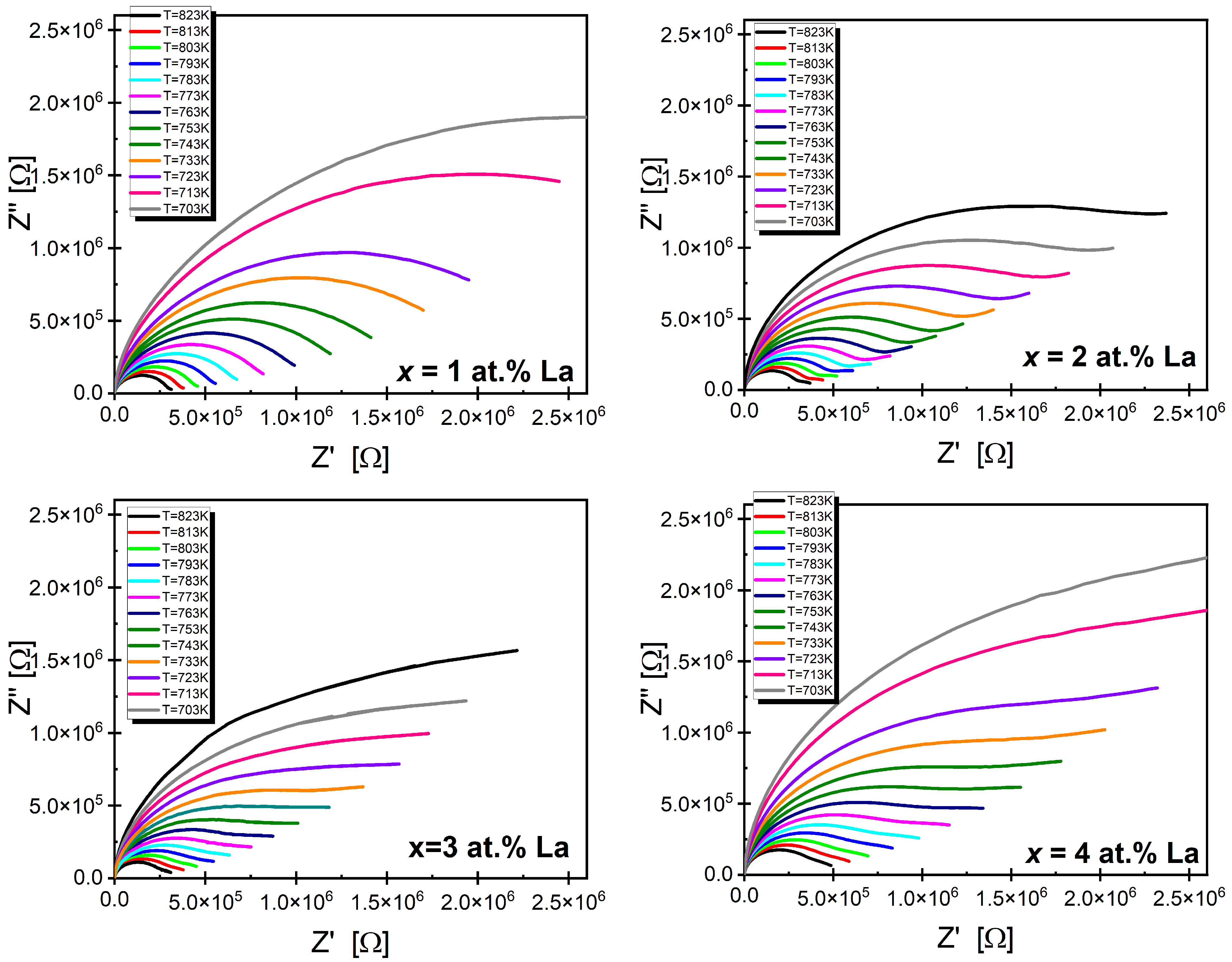
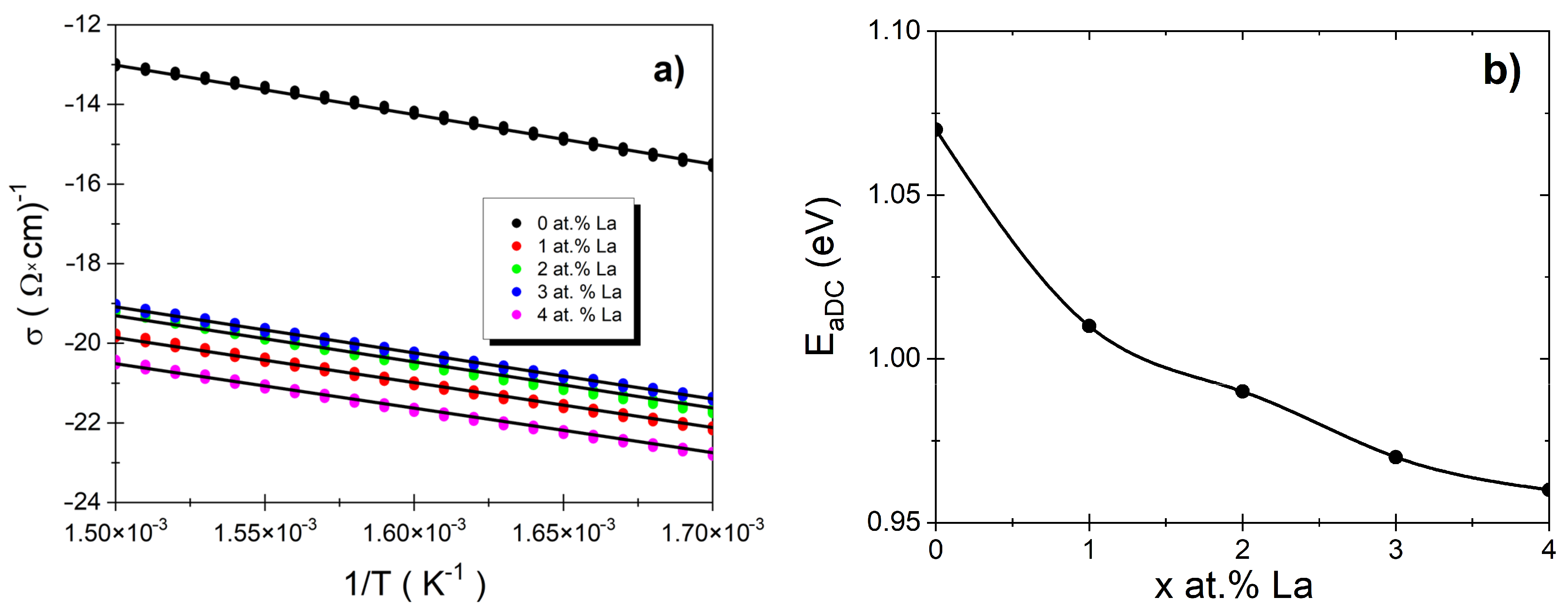
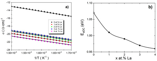
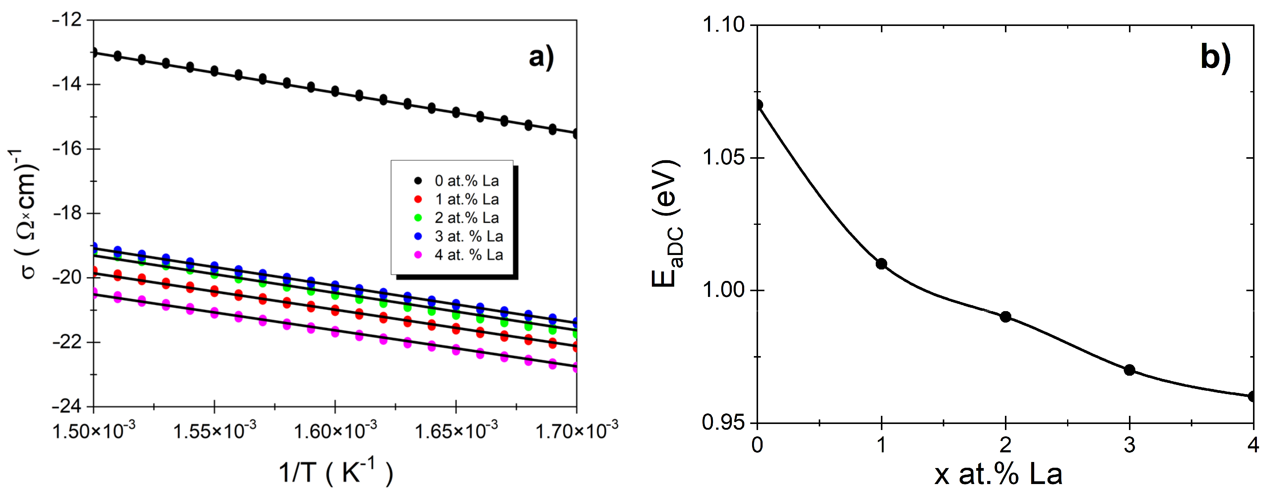
3.3. Impedance Spectroscopic Studies
4. Conclusions
Supplementary Materials
Author Contributions
Funding
Institutional Review Board Statement
Informed Consent Statement
Data Availability Statement
Conflicts of Interest
References
- Li, G.; Wang, B.; Feng, W.; Wang, X.; Xian, W. Improved Interfacial Mechanical Properties between PZT Piezoelectric Ceramic and Ag Metallization Layer by In-Situ-Formed CuO Nanoparticles. J. Alloys Compd. 2024, 1005, 176057. [Google Scholar] [CrossRef]
- Butt, Z.; Pasha, R.A.; Qayyum, F.; Anjum, Z.; Ahmad, N.; Elahi, H. Generation of Electrical Energy Using Lead Zirconate Titanate (PZT-5A) Piezoelectric Material: Analytical, Numerical and Experimental Verifications. J. Mech. Sci. Technol. 2016, 30, 3553–3558. [Google Scholar] [CrossRef]
- Hernández-García, M.; Durr uthy-Rodríguez, M.D.; Costa-Marrero, J.; Calderón-Piñar, F.; Guerra, J.D.S.; Yañez-Limón, J.M. Photoluminescence in Pb0.95Sr0.05(Zr1−xTix)1−yCryO3 Ferroelectric Ceramic System. J. Appl. Phys. 2014, 116, 043510. [Google Scholar] [CrossRef]
- Siddiqui, M.; Mohamed, J.J.; Ahmad, Z.A. Structural, Piezoelectric, and Dielectric Properties of PZT-Based Ceramics without Excess Lead Oxide. J. Aust. Ceram. Soc. 2020, 56, 371–377. [Google Scholar] [CrossRef]
- Bhugra, H. Piezoelectric MEMS Resonators; Springer: Berlin, Germany, 2022. [Google Scholar]
- Luo, C.; Cao, G.Z.; Shen, I.Y. Development of a Lead-Zirconate-Titanate (PZT) Thin-Film Microactuator Probe for Intracochlear Applications. Sens. Actuators A Phys. 2013, 201, 1–9. [Google Scholar] [CrossRef]
- Zhang, Y.; Tang, M.; Wang, Y.; Liu, X.; Ren, X.; Xu, Z.; Yan, Y. Structural Characteristics and Crystalline Nature of PZT Powders Topochemically Synthesized from Needle-Like TiZrO4 Precursors. J. Alloys Compd. 2024, 1003, 175661. [Google Scholar] [CrossRef]
- Lin, C.-H.; Chou, A.-P. Modeling of Visco-Electro-Elastic Responses of PZT-Based Functionally Graded Beam Benders. Int. J. Solids Struct. 2024, 304, 113034. [Google Scholar] [CrossRef]
- Chen, C.; Wang, X.; Wang, Y.; Yang, D.; Yao, F.; Zhang, W.; Wang, B.; Sewvandi, G.A.; Yang, D.; Hu, D. Additive Manufacturing of Piezoelectric Materials. Adv. Funct. Mater. 2020, 30, 2005141. [Google Scholar] [CrossRef]
- Shung, K.K.; Cannata, J.M.; Zhou, Q.F. Piezoelectric Materials for High Frequency Medical Imaging Applications: A Review. J. Electroceram. 2007, 19, 141–147. [Google Scholar] [CrossRef]
- Bian, L.; Qi, X.; Li, K.; Fan, J.; Li, Z.; Sun, E.; Wang, Q.; Yang, Y. High-Performance Pb(Ni1/3Nb2/3)O3-PbZrO3-PbTiO3 Ceramics with the Triple Point Composition. J. Eur. Ceram. Soc. 2021, 41, 6983–6990. [Google Scholar] [CrossRef]
- Gao, X.; Wu, J.; Yu, Y.; Chu, Z.; Shi, H.; Dong, S. Giant Piezoelectric Coefficients in Relaxor Piezoelectric Ceramic PNN-PZT for Vibration Energy Harvesting. Adv. Funct. Mater. 2018, 28, 1706895. [Google Scholar] [CrossRef]
- Guo, F.; Zhang, S.; Long, W.; Fang, P.; Li, X.; Xi, Z. SnO2 Modified PNN-PZT Ceramics with Ultra-High Piezoelectric and Dielectric Properties. Ceram. Int. 2022, 48, 23241–23248. [Google Scholar] [CrossRef]
- Wang, S.; Li, X.; Wang, J.; Wu, X.; Li, L.; Zhang, J.; Zhang, Y.; Chen, Q. Enhanced Electromechanical Properties in MnCO3-Modified Pb(Ni,Nb)O3-PbZrO3-PbTiO3 Ceramics via Defect and Domain Engineering. J. Am. Ceram. Soc. 2023, 106, 1970–1980. [Google Scholar] [CrossRef]
- Wang, H.; Zhang, F.; Chen, Y.; Huang, C.; Wang, X.; Wu, X.; Lu, Y. Giant Piezoelectric Coefficient of PNN-PZT-Based Relaxor Piezoelectric Ceramics by Constructing an R-T MPB. Ceram. Int. 2021, 47, 12284–12291. [Google Scholar] [CrossRef]
- Pu, T.; Chen, H.; Xing, J.; Luo, Y.; Fan, S.; Liu, H.; Yang, Z. High Piezoelectricity of Low-Temperature Sintered Li2CO3-Added PNN-PZT Relaxor Ferroelectrics. J. Mater. Sci. Mater. 2022, 33, 4819–4829. [Google Scholar] [CrossRef]
- Guo, F.; Zhang, S.; Qiu, R.; Bai, W.; Zhou, H.; Chen, Y.; Yang, M. Dramatical Improvement in Temperature Stability of ZnO Modified PNN-PZT Ceramics via Synergistic Effect of Doping and Composite. Ceram. Int. 2023, 49, 18878–18885. [Google Scholar] [CrossRef]
- Shen, Z.Y.; Zhang, N.; Zhang, J.L.; Li, J.F. Enhanced Electromechanical Properties in La-Modified Pb(Zr,Ti)O3 Ceramics. J. Eur. Ceram. Soc. 2013, 33, 911–918. [Google Scholar]
- Kalem, V.; Çam, İ.; Timuçin, M. Dielectric and Piezoelectric Properties of PZT Ceramics Doped with Strontium and Lanthanum. Ceram. Int. 2011, 37, 1265–1275. [Google Scholar] [CrossRef]
- Deng, J.; Liu, C.; Wang, S.; Zhang, B.; Yan, T.; Han, Y.; Gong, W.; Liu, L. Enhanced Ferroelectric and Piezoelectric Properties of Sb/Nb Co-Doped BiScO3-PbTiO3-Based Ceramics via Relaxation Regulation near Morphotropic Phase Boundary. Mater. Res. Bull. 2024, 177, 112840. [Google Scholar] [CrossRef]
- Craciun, F.; Dimitriu, E.; Vasile, B.S.; Negrila, C.C.; Trusca, R.; Birjega, R.; Cernea, M. The Enhancement Mechanism of Dielectric Properties of Pb(Zr,Ti)O3 via (Mg2+,Sb3+) Incorporation for Supercapacitors. Mater. Today Chem. 2020, 18, 100350. [Google Scholar] [CrossRef]
- Peng, W.; Chang, J.; Zhao, J.; Wang, D.; Liu, Z.; Wang, G.; Dong, S. Enhanced Piezoelectric Properties and Thermal Stability of LiNbO3-Modified PNN–PZT Ceramics. J. Mater. 2024, 10, 995–1003. [Google Scholar] [CrossRef]
- Wang, C.; Ning, L.; Li, Y.; Li, F. MnCO3 Modified PMN-PZT Piezoelectric Ceramics with Enhanced Mechanical Quality Factor and Low Loss. Ceram. Int. 2024, 50, 10835–10842. [Google Scholar] [CrossRef]
- Du, J.; Qiu, J.; Zhu, K.; Ji, H.; Pang, X.; Luo, J. Effects of Fe2O3 Doping on the Microstructure and Piezoelectric Properties of 0.55Pb(Ni1/3Nb2/3)O3–0.45Pb(Zr0.3Ti0.7)O3 Ceramics. Mater. Lett. 2012, 66, 153–155. [Google Scholar] [CrossRef]
- Liu, H.; Nie, R.; Yue, Y.; Zhang, Q.; Chen, Q.; Zhu, J.; Yu, P.; Xiao, D.; Wang, C.; Wang, X. Effect of MnO2 Doping on Piezoelectric, Dielectric, and Ferroelectric Properties of PNN–PZT Ceramics. Ceram. Int. 2015, 41, 11359–11364. [Google Scholar] [CrossRef]
- Liu, W.; Zheng, T.; Ruan, X.; Man, Z.; Xue, H.; Jiang, L.; Zhang, F.; Li, G.; Wu, J. Synergy of Lead Vacancies and Morphotropic Phase Boundary to Promote High Piezoelectricity and Temperature Stability of PBZTN Ceramics. J. Mater. Sci. Technol. 2023, 137, 1–7. [Google Scholar] [CrossRef]
- Mesquita, A.; Michalowicz, A.; Mastelaro, V.R. Influence of Ba-Substitution on the Structural and Ferroelectric Properties of Pb1-xBaxZr0.40Ti0.60O3 Ceramic Materials. Phase Transit. 2012, 85, 8. [Google Scholar] [CrossRef]
- Bochenek, D.; Skulski, R.; Wawrzała, P.; Brzezińska, D. Dielectric Properties of Pb0.75Ba0.25(Zr0.65Ti0.35)1-zSnzO3 Ceramics. Ferroelectrics 2011, 418, 82–87. [Google Scholar] [CrossRef]
- Mesquita, A.; Michalowicz, A.; Moscovici, J.; Pizani, P.S.; Mastelaro, V.R. Relationship Between Ferroelectric Properties and Local Structure of Pb1-xBaxZr0.40Ti0.60O3 Ceramic Materials Studied by X-ray Absorption and Raman Spectroscopies. J. Solid State Chem. 2016, 240, 16–22. [Google Scholar] [CrossRef]
- Smolenskii, G.A.; Agranovskaya, A.I.; Krainik, N. Segnetoelektricheskie svoistva tverdykh rastvorov BaTiO3-PbZrO3. Dokl. Nauk SSSR 1953, 91, 55. [Google Scholar]
- Ikeda, T.J. Studies on (Ba-Pb)(Ti-Zr)O3 System. Phys. Soc. Jpn 1958, 14, 1959. [Google Scholar] [CrossRef]
- Li, G.; Heartling, G.H. Dielectric, ferroelectric and electric field-induced strain properties of (Pb1-xBax)(Zr1-yTiy)O3 ceramics. Ferroelectrics 1995, 166, 31–45. [Google Scholar] [CrossRef]
- Adamczyk, M.; Ujma, Z.; Hańderek, J. Relaxor behavior of La-modified ceramics. J. Appl. Phys. 2001, 89, 542–547. [Google Scholar] [CrossRef]
- Wodecka-Dus, B.; Adamczyk, M.; Osinska, K.; Plonska, M.; Czekaj, D. Dielectric properties of Ba1−xLaxTi1−x/4O3 ceramics with different La3+ content. Adv. Sci. Technol. 2012, 77, 35–40. [Google Scholar]
- Wodecka-Duś, B.; Płońska, M.; Czekaj, D. Synthesis, microstructure, and the crystalline structure of barium titanate ceramics doped with lanthanum. Arch. Metall. Mater. 2013, 2013, 1305–1308. [Google Scholar] [CrossRef]
- Goudarzi, H.; Baghshahi, S. The effect of lanthanum substitution on the sintering behavior and the dielectric and piezoelectric properties of niobium doped Pb(Zr0.95Ti0.05)O3 ceramics. J. Mater. Sci. Mater. Electron. 2016, 28, 4863–4870. [Google Scholar] [CrossRef]
- Kozielski, L.; Adamczyk, M.; Pilch, M. Comparison Study of Macro and Micro Scale AC and DC Conductivity Measurements with Impedance Spectroscopy and Atomic Force Microscopy Techniques Applied in PBZT Ceramics. Ceram. Int. 2012, 38, 3105–3109. [Google Scholar] [CrossRef]
- Triyono, D.; Fitria, S.N.; Hanifah, U. Dielectric Analysis and Electrical Conduction Mechanism of La1−xBixFeO3 Ceramics. RSC Adv. 2020, 31, 18323. [Google Scholar] [CrossRef]
- Dutta, S.; Choudhary, R.N.P.; Sinha, P.K. Impedance Spectroscopy Studies on Fe3+ Ion Modified PLZT Ceramics. Ceram. Int. 2007, 33, 13–20. [Google Scholar] [CrossRef]
- Park, J.-H.; Choi, B.-C. Impedance Spectroscopy of (Pb0.98La0.02)(Zr0.95Ti0.05)O3(PLZT-2/95/5) Ceramics above Ferroelectric Phase Transition Temperatures. J. Cryst. Growth 2005, 276, 465–470. [Google Scholar] [CrossRef]
- Kumari, L.K.; Prasad, K.; Choudhary, R.N.P. Impedance spectroscopy of (Na0.5Bi0.5)(Zr0.25Ti0.75)O3 lead-free ceramic. J. Alloys Compd. 2008, 453, 325–331. [Google Scholar]
- Bauerle, J.E. Study of solid electrolyte polarization by a complex admittance method. J. Phys. Chem. Solids 1969, 30, 2657–2670. [Google Scholar] [CrossRef]
- Vasudevan, S.; Tharani, S.D.; Manickam, M.; Sivasubramanian, R. A sol-gel derived LaCoO3 perovskite as an electrocatalyst for Al-air batteries. Dalton Trans. 2024, 53, 3713–3721. [Google Scholar] [CrossRef] [PubMed]
- Parida, B.N.; Das, P.R.; Padhee, R.; Choudhary, R.N.P. Synthesis and Characterization of a Tungsten Bronze Ferroelectric Oxide. Adv. Mater. Lett. 2012, 3, 231–238. [Google Scholar] [CrossRef]
- Sahoo, S.; Choudhary, R.N.P.; Mathur, B.K. Structural, Ferroelectric and Impedance Spectroscopy Properties of Y3+ Modified Pb(Fe0.5Nb0.5)O3 Ceramics. Phys. B Condens. Matter 2011, 406, 1660–1664. [Google Scholar] [CrossRef]
- Achary, P.G.R.; Dehury, S.K.; Choudhary, R.N.P. Structural, Electrical and Dielectric Properties of Double Perovskites: BiHoZnZrO6 and BiHoCuTiO6. J. Mater. Sci. Mater. Electron. 2018, 29, 6805–6816. [Google Scholar] [CrossRef]
- Schmidt, R. Impedance spectroscopy of electroceramics. In Ceramic Materials Research Trends; Lin, P.B., Ed.; Nova Science Publishers: New York, NY, USA, 2006; pp. 321–351. [Google Scholar]
- Chen, P.-Y.; Chou, C.-C.; Tseng, T.-Y.; Chen, H. Correlation of microstructures and conductivities of ferroelectric ceramics using complex impedance spectroscopy. Jpn. J. Appl. Phys. 2010, 49, 061505. [Google Scholar] [CrossRef]
- Ujma, Z.; Adamczyk, M.; Hańderek, J. Relaxor Properties of (Pb0.75Ba0.25)(Zr0.70Ti0.30)O3 Ceramics. J. Eur. Ceram. Soc. 1998, 18, 2201–2207. [Google Scholar] [CrossRef]
- Haertling, G.H. PLZT Electrooptic Materials and Applications—A Review. Ferroelectrics 1987, 75, 25–55. [Google Scholar] [CrossRef]
- Haertling, G.H. Ceramic Materials for Electronics. In Ceramic Materials for Electronics; Buchanan, R.C., Ed.; Marcel Dekker: New York, NY, USA, 1991; Chapter 3. [Google Scholar]









| Sample | Crystal System | Space Group | Lattice Param. [A] | Contrib. [wt. % ] |
|---|---|---|---|---|
| PBZT | rhombohedral (hex. axes) | R3c | a = 5.8155 c = 14.279 | 100 |
| x = 1 at.% La | rhombohedral (hex. axes) | R3c | a = 5.8069 c = 14.285 | 100 |
| x = 2 at.% La | rhombohedral (hex. axes) | R3c | a = 5.8070 c = 14.285 | 100 |
| x = 3 at.% La | cubic | Pm-3m | a = 4.1056 | 70.0 |
| rhombohedral (hex. axes) | R3c | a = 5.8169 c = 14.290 | 30.0 | |
| x = 4 at.% La | cubic | Pm-3m | a = 4.1057 | 71.1 |
| rhombohedral (hex. axes) | R3c | a = 5.8170 c = 14.290 | 28.9 |
| Element | Parameter | Samples | |||
|---|---|---|---|---|---|
| x = 1 at.% La | x = 2 at.% La | x = 3 at.% La | x = 4 at.% La | ||
| RG | Value [Ω] | 8.90 × 105 | 7.73 × 105 | 2,487,400 | 2.14 × 106 |
| Absolute error [Ω] | 2589 | 2590 | 2.85 × 105 | 46,909 | |
| Relative error [%] | 0.29 | 0.34 | 11.45 | 2.19 | |
| CPE-TG | Value [F] | 1.13 × 10−8 | 1.61 × 10−8 | 3.80 × 10−7 | 1.39 × 10−7 |
| Absolute error [F] | 2.69 × 10−10 | 5.05 × 10−10 | 2.68 × 10−8 | 3.86 × 10−9 | |
| Relative error [%] | 2.39 | 3.13 | 7.05 | 2.79 | |
| CPE-PG | Value [a.u.] | 0.54 | 0.44 | 0.24 | 0.34 |
| Absolute error [a.u.] | 0.003 | 0.003 | 0.008 | 0.004 | |
| Relative error [%] | 0.58 | 0.73 | 3.17 | 1.1876 | |
| CG | Value [F] | 5.90 × 10−10 | 4.36 × 10−10 | 8.25 × 10−10 | 7.58 × 10−10 |
| Absolute error [F] | 2.37 × 10−12 | 1.59 × 10−13 | 1.36 × 10−11 | 6.46 × 10−12 | |
| Relative error [%] | 0.40 | 0.04 | 1.65 | 0.85219 | |
| RGB | Value [Ω] | 23,201 | 3.69 × 105 | 163,960 | 353,410 |
| Absolute error [Ω] | 954 | 3270 | 7762 | 4187 | |
| Relative error [%] | 4.115 | 0.88 | 4.73 | 1.19 | |
| CPE-TGB | Value [F] | 4.03 × 10−9 | 3.26 × 10−8 | 2.64 × 10−9 | 1.11 × 10−9 |
| Absolute error [F] | 1.08 × 10−10 | 3.27 × 10−10 | 1.43 × 10−10 | 1.44 × 10−11 | |
| Relative error [%] | 2.69 | 1.01 | 5.41 | 1.30 | |
| 1.53 × 10−5 | 7.45 × 10−6 | 4.8 × 10−5 | 9.89 × 10−6 | ||
| Samples | EaG [eV] | EaGB [eV] |
|---|---|---|
| x = 1 at.% La | 1.23 | 0.83 |
| x = 2 at.% La | 1.59 | 0.8 |
| x = 3 at.% La | 2.05 | 0.66 |
| x = 4 at.% La | 1.82 | 0.6 |
Disclaimer/Publisher’s Note: The statements, opinions and data contained in all publications are solely those of the individual author(s) and contributor(s) and not of MDPI and/or the editor(s). MDPI and/or the editor(s) disclaim responsibility for any injury to people or property resulting from any ideas, methods, instructions or products referred to in the content. |
© 2024 by the authors. Licensee MDPI, Basel, Switzerland. This article is an open access article distributed under the terms and conditions of the Creative Commons Attribution (CC BY) license (https://creativecommons.org/licenses/by/4.0/).
Share and Cite
Adamczyk-Habrajska, M.; Makowska, J.; Pikula, T.; Wodecka-Duś, B.; Bartkowska, J.A.; Panek, R.; Osińska, K. Impedance Spectroscopy of Lanthanum-Doped (Pb0.75Ba0.25)(Zr0.70Ti0.30)O3 Ceramics. Appl. Sci. 2024, 14, 9854. https://doi.org/10.3390/app14219854
Adamczyk-Habrajska M, Makowska J, Pikula T, Wodecka-Duś B, Bartkowska JA, Panek R, Osińska K. Impedance Spectroscopy of Lanthanum-Doped (Pb0.75Ba0.25)(Zr0.70Ti0.30)O3 Ceramics. Applied Sciences. 2024; 14(21):9854. https://doi.org/10.3390/app14219854
Chicago/Turabian StyleAdamczyk-Habrajska, Małgorzata, Jolanta Makowska, Tomasz Pikula, Beata Wodecka-Duś, Joanna A. Bartkowska, Rafał Panek, and Katarzyna Osińska. 2024. "Impedance Spectroscopy of Lanthanum-Doped (Pb0.75Ba0.25)(Zr0.70Ti0.30)O3 Ceramics" Applied Sciences 14, no. 21: 9854. https://doi.org/10.3390/app14219854
APA StyleAdamczyk-Habrajska, M., Makowska, J., Pikula, T., Wodecka-Duś, B., Bartkowska, J. A., Panek, R., & Osińska, K. (2024). Impedance Spectroscopy of Lanthanum-Doped (Pb0.75Ba0.25)(Zr0.70Ti0.30)O3 Ceramics. Applied Sciences, 14(21), 9854. https://doi.org/10.3390/app14219854

