Abstract
Coal mine tailings can lead to a range of environmental problems, including toxic metal contamination, soil erosion, acid mine drainage, and increased salinity. Mine spoils from coal mining activities accumulated as gob piles are difficult to reclaim due to constraints such as a steep slope, unsuitable pH, insufficient nutrient supply, metal toxicity, low water-holding capacity, and poor soil structure. We investigated the efficiency of low-cost amendments on coal gob spoils from Carthage Coal Field (CCF) in New Mexico in improving the quality of coal gob spoils. Gob spoil was incubated for 90 days with various rates of organic amendments such as biochar, compost, and a biochar–compost mix. Gob spoil quality parameters such as the pH, water-holding capacity, and total and plant-available nitrogen and phosphorus content of the gob spoil were measured over a period of 90 days. Both biochar and compost amendment led to a significant increase (40–60% for biochar and 70% for compost, p < 0.05) in water-holding capacity of the coal gob spoil. Plant-available nitrogen content increased from <200 mg N/kg to between 400 and 800 mg N/kg in the amended gob spoil. The period of incubation was a significant factor in the improvement of plant-available nitrogen content. Plant-available phosphorus content also increased; compost amendment was more effective than biochar in increasing plant-available P. This study provides crucial information about the optimum organic amendments that would help in optimizing a sustainable reclamation method for CCF.
1. Introduction
Coal mining is an important industry that supports the economy. Coal provided approximately 27% of energy and contributed to 38% of electricity production worldwide in 2018 [1]. The global coal market is still growing in many parts of the world, particularly in Asia due to increasing energy needs and industrialization. Coal mining also causes tremendous landform disruption and habitat destruction. Disruption of the land produces tons of mining waste material (or spoils), much of which contains high amounts of metals and sulfide-containing minerals such as pyrite [2]. There are several ways of managing coal mine gob spoils, but most often they are put into massive “gob piles” resembling hillocks. Currently, there are 20,000 to 50,000 abandoned mines in the United States, many of them characterized by these gob piles that are highly erosion-prone, thus serving as a major source of environmental pollution and habitat destruction downstream. The nature of spoil materials varies widely, both in physical composition and chemical characteristics [3,4]. It also varies with geography, with spoils from the Appalachian region having more acid-generating capacity than those of the western spoils. This is because most of the western coalbeds have low sulfur and ash contents and are of similar geologic age, Cretaceous through early Tertiary.
Regardless of their geological origin or geographic location, gob piles containing mine spoils are mostly characterized by materials that are texturally unsuitable to hold water or nutrients. Some older gob piles contain thin “topsoil” layers, which vary from clayey to sandy depending on the underlying rock type—shale or sandstone. Low levels of organic matter (OM) have been identified as the most common problem in mine gob spoils, which leads to poor soil health for plant growth and soil microbial life [5,6,7]. Mine gob spoils with low plant diversity are likely to cause a shortage of OM accumulation, which in turn leads to poor soil texture and structure [6]. Poor water-holding capacity (WHC), sediment erosion by wind and water, soil surface crusting, and cracking of soils are some of the adverse effects that result from poor spoil structure [8]. Although annuals and sparse clumps of grasses may be observed on gob piles, stabilizing vegetation is difficult to establish either artificially or naturally, and they mostly remain bare [9].
Revegetation is complicated by a series of soil constraints including unsuitable pH, insufficient nutrient supply, metal toxicity, low water-holding capacity, and poor soil structure [10,11,12,13]. On these slopes, seeds or seedlings are more likely to be washed away or buried by eroding material. Hence, to make a gob pile suitable for vegetation, the textural and chemical characteristics of spoils need to be manipulated to a point where they can sustain plant growth. This process is termed “topsoiling”. Narten et al. (1983) [9] define topsoiling as the reuse of original spoils as all or part of the new growing medium in reclamation. For topsoiling to work for the re-establishment of vegetation, (1) the water- and nutrient-holding capacity needs to be improved through the addition of OM and (2) the metal toxicity of the spoils needs to be decreased using sorbents that help in reducing the plant availability of metals. This is especially important because the added OM could potentially further solubilize metals, resulting in increased toxicity that prevents the establishment of vegetation. While manipulating the soil is the key to restoration, purchasing topsoil is cost-prohibitive. Therefore, it is important to develop inexpensive amendment strategies that could improve soil quality and aid in plant growth.
Our study area was Carthage Coal field (CCF), located approximately 12 miles southeast of Socorro, NM, and 10 miles east of San Antonio, NM (Figure 1A,B). The coalfield lies on the east flank of the Rio Grande Rift in a series of small fault blocks that contain the coal-bearing units. Over 2 million short tons of coal were produced from mines within the CCF from 1882 to 1963 [13]. Mining at CCF was historically carried out by the San Pedro Coal and Coke, Carthage Coal/Carthage Fuel Company, and the Kinney mines. The demand for coal declined during The Great Depression, coupled with the introduction of newer and more affordable means to heat homes. Eventually, the rail operation from CCF was stopped in 1931 when coal mining was no longer profitable. Currently, CCF is full of gob piles that cannot support the growth of vegetation (Figure 1C).
Figure 1.
(A) The location of Carthage Coal Field (CCF) in central New Mexico in the US; (B) the arc GIS map showing the location of CCF; (C) coal gob pile deposits at CCF.
The objective for the first part of developing the reclamation technology was to perform a laboratory incubation study to (1) identify the ideal mix of biosolids/gob spoils and compost/gob spoils to optimize the water-holding and nutrient-holding capacity of the spoils, and (2) perform geochemical fractionation using the sequential extraction protocol to ensure there is no significant increase in plant-availability of metals resulting from the amendments.
2. Materials and Methods
2.1. Collection of Gob Spoil and Organic Amendments
Coal mine gob spoil samples were collected from the surface to a maximum of 6 inches depth from one coal gob pile (33°52′42.0″ N 106°45′22.5″ W) in CCF, NM. The gob spoil samples (called gob spoil soil sample in this study) were thoroughly mixed, air-dried, ground, and sieved (2 mm). Two organic amendments, biochar and compost, were applied at various rates. The biochar was prepared using a traditional, indigenous method. In brief, a 1.5 m deep and 1.2 m wide pit was dug in the ground, and burning coal was placed at the bottom of the pit. Coppiced stumps were placed in layers on top of the burning coal. Once the pit was full, it was covered with clay and soil such that the plant material was charred. The charring process continued for 3 h at 600 °C. The temperature was monitored by inserting a Type-K Digital Thermometer, (Thermo Fisher Scientific, Waltham, MA, USA) probe inside the pit. After the pyrolysis process was completed, the biochar produced was shoveled out and allowed to cool. Finally, the biochar was ground using a mortar and pestle and the powder was used for this study. Commercially available compost (brand Garden Time Mushroom Compost®, Gro-Well Brands Inc., Tempe, AZ, USA) purchased from a local hardware store was used. To maintain the uniformity of the amendments as well as the reliability of experimental results, biochar and compost with a diameter less than 0.5 mm were used and well mixed with the gob spoil soil in this study.
2.2. Physicochemical Characterization of the Gob Spoil and Amendments
Gob spoil soil and the organic amendments (biochar and compost) were analyzed for their properties. Sample pH and electrical conductivity (EC) were measured following standard protocols using a Orion Star A215 (Thermo Fisher Scientific, Waltham, MA, USA), Advanced pH/conductivity benchtop meter [14]. Water-holding capacities were quantified by the modified Bernard method [15] as described in Govindasamy (2018) [16]. Organic matter content was measured by a loss-on-ignition method [17]. Total C and total N were quantified by a CHNS elemental analyzer (Elementar Americas Inc., Ronkonkoma, NY, USA). The soil texture (i.e., silt, sand, and clay contents) was analyzed using the pipette method [18]. Plant-available N was determined by the sum of ammonium, nitrite, and nitrate that are available for plant uptake [19,20]. Plant-available P was analyzed by Inductively Coupled Plasma-Optical Emission Spectroscopy (ICP-OES, Agilent Technologies, model 5100; Agilent Technologies Inc., Santa Clara, CA, USA) after Mehlich III extraction [21].
The total concentrations of metals (Ag, Al, As, Ba, Cd, Cr, Cu, Fe, Hg, Mn, Pb, and Se) and P in samples were measured using ICP-OES after acid digestion following USEPA Method 3050B [22]. For ICP-OES analysis, yttrium was applied as the internal standard and quality control check standards were also used to guarantee the accuracy of sample analysis.
2.3. Incubation Study
Three sets of treatments were performed during the gob spoil soil incubation study. For the first set of treatments, gob spoil soil was thoroughly mixed with compost at three rates (5%, 7.5%, and 10%, w/w). For the second set of treatments, gob spoil soil was thoroughly mixed with biochar at three rates (5%, 7.5%, and 10%, w/w). For the third set of treatments, compost and biochar were first mixed at a 1:1 ratio (mixed amendment), and then gob spoil soil samples were amended with the mix at 5%, 7.5%, and 10% application rates (w/w). For all treatments, 150 g of gob spoil soil with amendments was prepared and 50 g was sampled on day 0. The other 100 g gob spoil soil was incubated in sealed polythene bags for 90 days. As a control, one batch of gob spoil soil was incubated without any amendment. All gob spoil soils were maintained at 70% of water-holding capacity at room temperature [23]. Periodic samplings (~15 g each) were carried out on days 7, 30, 60, and 90. All experiments were performed in triplicate. The incubation length of 90 days was determined based on the characterization results of the samples. Once the samples equilibrated, and insignificant changes were identified, the incubation study was stopped.
2.4. Chemical Analysis of Incubated Samples
Amended and unamended control gob spoil soils were analyzed periodically for pH, EC, OM content, water-holding capacity, and plant-available N and P, as described in Section 2.2. To obtain the geochemical forms of each metal in the samples, gob spoil soil samples were sequentially extracted following the scheme established by [24]. Six geochemical fractions (i.e., water-soluble F-1, exchangeable F-2, carbonate bound F-3, oxides bound F-4, organically bound F-5, and residual silicate bound F-6) were obtained. After each step, the supernatant was analyzed for metals (Ag, Al, As, Ba, Cd, Cr, Cu, Fe, Hg, Mn, Pb, and Se) using ICP-OES. The gob spoil soil samples from each step were weighed and used in the sequential extraction procedure for the next step. The plant-available metals were calculated by combining water-soluble (F-1) and exchangeable (F-2) fractions.
2.5. Data Analysis
Data analysis was performed using SPSS Statistics software (IBM SPSS Statistics 29.0.2.0, IBM Corp., Armonk, NY, USA). A one-way ANOVA was applied to analyze how the three sets of treatments affected the properties of gob spoil. The least significant difference test was performed to identify the statistical differences among different sets of treatments (p < 0.05).
3. Results
3.1. Physicochemical Characteristics of Soil and Organic Amendments
The gob spoil soil was near-neutral with a measured pH of 7.36 ± 0.07. While the pH of the compost was 7.81 ± 0.02, the pH of the biochar was basic at a pH of 9.70 ± 0.01 (Table 1). The OM content of the soil was ~28%. Both the organic amendments had higher organic contents, ~86% and ~49% for the biochar and the compost, respectively. Gob spoil soil was loamy sand in texture with 72% sand, 25.5% silt, and 2% clay (Table 1) with only ~40% water-holding capacity. The total P content of the soil was 131.78 mg/kg, but the plant-available P content of the soil was low, at 37.34 mg/kg. On the other hand, the total and plant-available P content of the biochar and the compost were comparatively much higher. For biochar, the total and plant-available P contents were 528.22 mg/kg and 251.79 mg/kg, respectively. For compost, the total and plant-available P were 3167.78 and 1770.80 (mg/kg soil), respectively (Table 1). The total carbon content of the soil was 14.5%, whereas for biochar and compost, the total carbon contents were 50.7% and 25%, respectively (Table 1). The RCRA 8 metal contents in the soil were low. Both the organic amendments showed comparatively low levels of RCRA 8 metal content and hence were considered suitable for use as amendments for the gob spoil soil.
Table 1.
Properties of the gob spoil soil, biochar, and compost samples used in this study.
3.2. Effects of Organic Amendments on Soil pH and EC
Biochar and compost are often chosen as mine spoil amendments for their ability to improve soil quality, reduce toxic elements, and provide nutrients for plant growth. The application of biochar and compost is environmentally sustainable as they are derived from organic wastes. In this study, the biochar was produced from coppiced stumps following a local indigenous farming method. This practice also promotes sustainability, as it could reduce transportation and material costs, contribute to waste reduction, and convert waste to a resource.
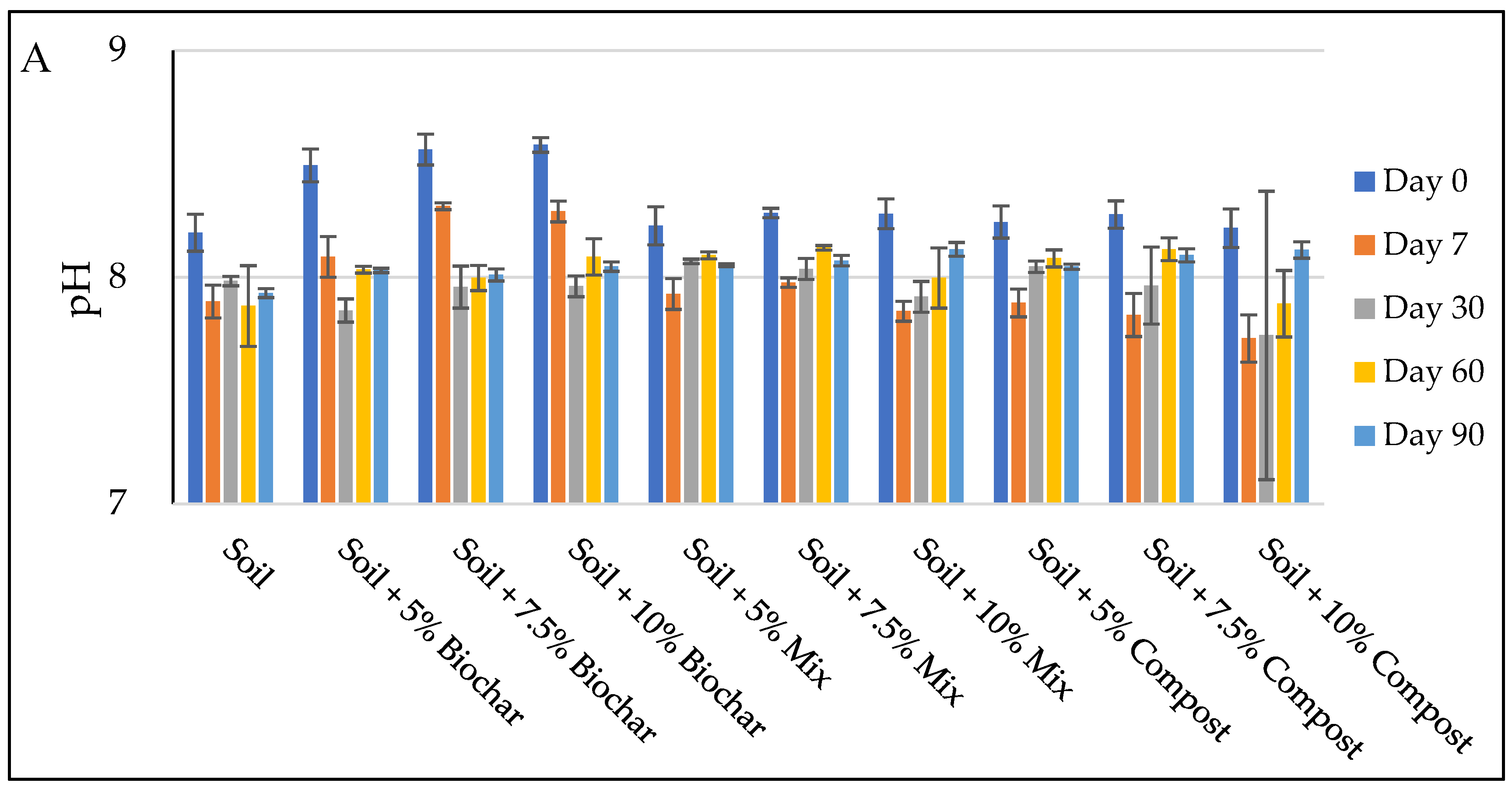
The pH of the unamended soil decreased slightly from ~8.2 to below 8 within 7 days of incubation. Biochar amendment initially raised the soil pH above 8.5. However, the pH started decreasing with the passage of incubation time and stabilized at ~8.00 within 30 days. Subsequently, the pH remained stable for the remaining period (Figure 2A). No substantial change in initial pH was observed for soils amended with either the compost or the mixed amendment (p < 0.05). No difference in soil pH trends was observed with changing amendment rates (p > 0.05). Overall, observable variations in soil pH with either the rate or the type of amendments were negligible, and the soil remained slightly basic (between pH 7.5 and 8.5). In general, organic amendments tend to decrease the soil pH [25,26]. However, as the starting pH of compost and biochar were neutral to basic, the amendment of the soil with either of them did not lead to a decrease in pH.

Figure 2.
The impact of organic amendments on (A) soil pH; and (B) electrical conductivity. Data are shown as mean (n = 3) ± standard deviation.
The EC of the unamended soil was much higher initially, at ~0.6 dS/m (Figure 2B). After 7 days of incubation, the EC decreased drastically to ~0.4 dS/m. Beyond 7 days of incubation, the EC decreased at a slower rate to ~0.3 dS/m. This decrease in the conductivity indicates that a larger fraction of the metals bind to OM over the incubation period, leading to a lower fraction of free metals. Similar trends in EC were observed for soils with biochar amendments. In the case of soils with either the mixed amendment or only compost amendment, no clear trends were observed. This can be explained by the considerably lower OM content of the compost as compared to that of the biochar (Table 1).
3.3. Effects of Organic Amendments on Soil Water-Holding Capacity
The soil water-holding capacity is recognized as one of the most important parameters to facilitate vegetation and microbial activities [27,28]. However, the average water-holding capacity of the gob spoil soil was below 40% during the soil incubation study due to its loamy sand soil texture (Figure 3A). Regardless of amendment rates, biochar increased the soil water-holding capacity to approximately 60%, indicating a 50% increase. Biochar has been widely reported to enhance soil water-holding capacity [29,30,31,32]. Biochar generated from yellow pine scrap lumber was reported to double the water-holding capacity of a loamy sand soil at an amendment rate of 9% [31]. Although no significant differences (p > 0.05) were seen among the three biochar amendment rates (5%, 7.5%, and 10%) during the 90-day incubation period (Table 2), the increase in water-holding capacity we observed (~50%) was slightly higher than the 38% reported in sandy soils, using red oak biochar amendment at 6% during a 91-day incubation [30]. In comparison, both soils amended by compost or by the mixed amendment had average water-holding capacities at around 70%, which was not significantly higher (p > 0.05) than those amended by biochar only (Figure 3A, Table 2). Ghorbani et al. (2023) [33] reported a better water-holding capacity by biochar under insufficient water stress in a field study, probably due to the increased soil aggregation and the porous structure of biochar. However, the efficiencies of biochar or compost in enhancing soil water-holding capacity also depend on the types of biochar or compost used [34]. In this study, all the treatments showed significant impacts (p < 0.05) on enhancing the water-holding capacity of the gob spoil soil (Table 2).
Figure 3.
The impact of organic amendments on (A) soil water-holding capacity and (B) soil organic matter. Data are shown as mean (n = 3) ± standard deviation.
Table 2.
Statistical analytical results for soil amended with different amendments after 90 days of incubation.
3.4. Effects of Organic Amendments on Soil Organic Matter and Plant-Available Nutrients
The average OM in gob spoil soil ranged from 25% to 30% during the 90-day incubation period (Figure 3B). The average OM percentage in soil did not show a significant (p > 0.5) increase in OM content after adding the amendments.
The availability of nutrients is an important indicator of soil quality. Nutrient depletion leads to soil chemical degradation as well as decreased vegetation cover [35]. The concentration of plant-available nitrogen in the gob spoil soil was below 200 mg N/kg during incubation (Figure 4A). This concentration significantly (p < 0.05) increased to approximately 500 mg N/kg after adding biochar at a 5% rate, which further increased to over 600 mg N/kg at higher biochar amendment rates at 7.5% and 10%. The increasing trend in plant-available nitrogen along with increased biochar amendment rates was similar to that of using compost as an amendment. By day 90, the average concentrations of plant-available nitrogen were 556, 628, and 667 mg N/kg for compost amendment rates at 5%, 7.5%, and 10%, respectively (Figure 4A). Both biochar and compost increased nutrient availability for plants, which was consistent with previous literature [33]. For the mixed amendment treatment, the concentrations of plant-available nitrogen by the end of the soil incubation study were 578, 637, and 695 mg N/kg at amendment rates of 5%, 7.5%, and 10%, respectively, which were similar to using biochar or compost alone as soil amendments (Table 2).

Figure 4.
The impact of organic amendments on (A) plant-available nitrogen and (B) plant-available phosphorous. Data are shown as mean (n = 3) ± standard deviation.
As shown in Figure 4B, the addition of soil amendments significantly (p < 0.05) boosted the plant-available P in gob spoil soil (Table 2). The average plant-available P in gob spoil soil was 122 mg P/kg without any soil amendment. This concentration increased by approximately 40, 50, and 70 mg P/kg after adding biochar at amendment rates of 5%, 7.5%, and 10%, respectively. In comparison, more plant-available P was provided by the compost. After 90 days, the concentration increased by approximately 120, 140, and 160 mg P/kg at 5%, 7.5%, and 10% amendment rates, respectively. This can be explained by the concentration difference in plant-available P between biochar and compost, which were 252 and 1771 mg P/kg, respectively. As indicated by the concentration levels, compost is rich in nutrients, particularly P. Compost releases P as it breaks down in the soil, providing a continuous supply of P. In biochar, nutrients are more stable and released slowly. Unlike compost, biochar may also retain P, making it unavailable to plants. The average concentration of plant-available P was approximately 250 mg P/kg for the mixed amendment at a 7.5% or 10% rate.
3.5. Effects of Organic Amendments on Soil Metals
The total concentrations of multiple metals, including Ag, Al, As, Ba, Cd, Cr, Cu, Fe, Hg, Mn, Pb, and Se, in soil samples with or without organic amendments, were quantified on days 0, 7, 30, 60, and 90 during the soil incubation study. Results showed that the concentrations of all metals were very low, except for Fe and Al (Table S1 in Supplementary Materials). Due to the relatively high concentrations of Fe and Al in all soils, sequential extraction was carried out to study the geochemical fractionation of these two elements in the soil. The toxicity of metals depends on bioavailability; hence, understanding the geochemical fractions of metals will provide a better understanding of the potential toxicity of these metals in soil [23]. Geochemical fractions of Fe and Al on days 0 and 90 are shown in Figure 5. Results showed that the water-soluble, exchangeable, and carbonate-bound Fe and Al were negligible in gob spoil soil on day 0 (Figure 5A,C). The majority of the Fe present in the unamended soil was in oxides-bound (17.5%), organic-bound (7.5%), and residual silicate-bound (74.9%) forms (Figure 5A), while for Al, the corresponding percentages for these forms were 3.5%, 19.6, and 76.6%, respectively (Figure 5C). Figure 5A shows that the percentages of organic bound Fe in soils amended by compost (5.0%, 5.9%, and 5.8% for 5%, 7.5%, and 10% amendment rates, respectively) were slightly lower than the unamended soil. This is consistent with the slightly lower total OM contents for compost-amended soil than that for the unamended soil (Figure 3B). In comparison, biochar-amended soil showed similar (at amendment rate 5%) or higher (at amendment rates 7.5% and 10%) organic-bound Fe compared to the unamended gob spoil soil, which was also consistent with the trends in total OM results (Figure 3B). The oxides-bound Fe in gob spoil soil amended by 10% biochar was the highest among all treatments and the control. The two major geochemical fractions for Al were residual silicate-bound and organic-bound in gob spoil soil, followed by oxides-bound for all samples. On day 0, the addition of biochar at 10% increased the percentages of oxides-bound and organic-bound Al, while all other organic amendment treatments did not significantly change the percentages of Al geochemical fractions compared to unamended gob spoil soil. By the end of the incubation period, the percentages of organic-bound Fe for all organic amendment treatments increased compared to time zero (Figure 5B). A similar trend was observed for Al in terms of the organic-bound Al fractions (Figure 5D). An insignificant increase in plant availability of Al (i.e., the sum of water-soluble and exchangeable forms of Al) was observed, but the percentages were very low at <2%.
Figure 5.
The impact of organic amendments on geochemical fractions of Fe and Al: (A) Fe fractions on day 0, (B) Fe fractions on day 90, (C) Al fractions on day 0, and (D) Al fractions on day 90.
4. Conclusions
Organic amendment of the gob spoil soil by both biochar and the compost led to a significant increase (p < 0.05) in its water-holding capacity leading to the enhancement in the soil quality for the growth of vegetation. No significant increase (p > 0.05) in the OM content of the gob spoil soil was observed due to the organic amendments. However, as the soil itself had a good amount of organic matter (~28%), any enhancement in OM content due to the amendments may not make a big difference in soil fertility. On the other hand, the plant-available N and plant-available P content of the gob spoil soil were improved drastically due to the biochar and compost amendments. Plant-available N content increased from <200 mg N/kg for unamended soil to 400 to 800 mg N/kg in the amended soil. The period of incubation was also a significant factor in the improvement of plant-available N content as it increased with incubation time in most cases. The plant-available P content also increased as a result of organic amendment. The impact of compost was much higher than the biochar in improving plant-available phosphorus levels. The potentially toxic trace metal content in the gob spoil soil was low and hence any concern about organic amendments mobilizing toxic metals was negligible. The only exceptions were Al and Fe, which did not show a significant increase in soluble and exchangeable fractions, which are the plant-available forms of the metals.
The organic amendment of the gob spoils soil by either the biochar or the compost potentially improved soil fertility by improving its water-holding capacity and the plant-available nutrient contents. The incubation time was a significant factor in improving the plant-available N content. In the case of plant-available P, compost amendment was more effective than biochar amendment. This study provides the data necessary for future experiments to test plant germination and growth on amended gob pile soils. A greenhouse study is currently in progress to test the efficacy of these amendments in aiding plant growth in gob pile soils. Based on the results from the soil incubation study and the greenhouse study, a field study will be performed to establish a vegetative cover on the gob piles of CCF using the optimal rate of organic amendment. The results from this study will aid in future research on the remediation of mine sites with varying properties at different geographic locations. Exploring the effectiveness of different biochar and compost types could also yield valuable insights into the restoration of mine sites.
Supplementary Materials
The following supporting information can be downloaded at: https://www.mdpi.com/article/10.3390/app14219723/s1, Table S1: Total metal concentrations for soil incubation samples (mg/kg).
Author Contributions
Conceptualization, D.S., R.D. and A.R.; methodology, K.M., A.R., Z.Z. and A.S.; formal analysis, Z.Z., A.S., K.M. and A.R.; resources, A.R., D.S. and R.D.; writing—original draft preparation, Z.Z. and A.S.; writing—review and editing, R.D., A.R. and D.S.; supervision, A.R., D.S. and R.D.; project administration, A.R., D.S. and R.D.; funding acquisition, A.R., D.S. and R.D. All authors have read and agreed to the published version of the manuscript.
Funding
This work was supported by the U.S. Department of the Interior Office of Surface Mining Reclamation and Enforcement (USDoI-OSMRE) Grant numbers S21AC10036-00.
Institutional Review Board Statement
Not applicable.
Informed Consent Statement
Not applicable.
Data Availability Statement
All data generated or analyzed during this study are included in this article.
Acknowledgments
The authors acknowledge the help from Navajo Technical University undergraduate students Phaizon Osborne and Jared Pino toward this study. The authors acknowledge Navajo Technical University undergraduate student Randy Largo for preparing the GIS maps included in this manuscript. The authors acknowledge the help from Mike Tompson and his team at the New Mexico Abandoned Mine Land Program for giving us access to the Carthage Coal Field. The authors finally want to acknowledge the help from Edward Vasquez from OSMRE Western Region for his critical input toward this study.
Conflicts of Interest
The authors declare no conflicts of interest.
References
- Tai, X.; Xiao, W.; Tang, Y. A quantitative assessment of vulnerability using social-economic-natural compound ecosystem framework in coal mining cities. J. Clean. Prod. 2020, 258, 120969. [Google Scholar] [CrossRef]
- Kossoff, D.; Dubbin, W.; Alfredsson, M.; Edwards, S.; Macklin, M.; Hudson-Edwards, K.A. Mine tailings dams: Characteristics, failure, environmental impacts, and remediation. Appl. Geochem. 2014, 51, 229–245. [Google Scholar] [CrossRef]
- Johnson, D.B. Chemical and microbiological characteristics of mineral spoils and drainage waters at abandoned coal and metal mines. Water Air Soil Pollut. Focus 2003, 3, 47–66. [Google Scholar] [CrossRef]
- Zevgolis, I.E.; Theocharis, A.I.; Deliveris, A.V.; Koukouzas, N.C.; Roumpos, C.; Marshall, A.M. Geotechnical characterization of fine-grained spoil material from surface coal mines. J. Geotech. Geoenviron. Eng. 2021, 147, 04021050. [Google Scholar] [CrossRef]
- Pulford, I. Sewage sludge as an amendment for reclaimed colliery spoil. In Alternative Uses for Sewage Sludge; Hall, J.E., Ed.; Pergamon: Oxford, UK, 1991; pp. 41–54. [Google Scholar]
- Castillejo, J.M.; Castello, R. Influence of the application rate of an organic amendment (municipal solid waste [MSW] compost) on gypsum quarry rehabilitation in semiarid environments. Arid. Land Res. Manag. 2010, 24, 344–364. [Google Scholar] [CrossRef]
- Larney, F.J.; Angers, D.A. The role of organic amendments in soil reclamation: A review. Can. J. Soil Sci. 2012, 92, 19–38. [Google Scholar] [CrossRef]
- Hossner, L.; Hons, F. Reclamation of mine tailings. Soil Restor. 1992, 17, 311–350. [Google Scholar]
- Narten, P.F.; Litner, S.; Allingham, J.; Foster, L.; Larsen, D.; McWreath, H. Reclamation of Mined Lands in the Western Coal Region. U.S. Geological Survey Circular 872. 1983. Available online: https://pubs.usgs.gov/publication/cir872 (accessed on 15 September 2024).
- Dollhopf, D. pH control in acidic metalliferous mine waste for site revegetation. In Proceedings of the 25th Anniversary and 15th Annual National Meeting of the American Society for Surface Mining Reclamation “Mining Gateway to the Future”, St. Louis, MO, USA, 17 May 1998; Joseph, Ed.; American Society for Surface Mining Reclamation: Washington, DC, USA, 1998. [Google Scholar]
- Semalulu, O.; Barnhisel, R.; Witt, S. Vegetation Establishment on Soil-amended Weathered Fly Ash. J. Am. Soc. Min. Reclam. 1998, 1998, 722–731. [Google Scholar] [CrossRef]
- Miekle, T.; Barta, L.; Barta, J. Waste rock revegetation: Evaluation of nutrient and biological amendments. In Proceedings of the 16th Annual National Meeting of the American Society for Surface Mining Reclamation, Scottsdale, AZ, USA, 13–19 August 1999. [Google Scholar]
- Hoffman, G.K.; Hereford, J.P. Mining history of the Carthage coal field, Socorro County, New Mexico. Geol. Chupadera Mesa New Mex. Geol. Soc. Guideb. 2009, 60, 407–413. [Google Scholar]
- Sparks, D.; Page, A.; Helmke, P.; Loppert, R.; Soltanpour, P.; Tabatabai, M.; Johnston, C.; Summner, M. Methods of Soil Analysis: Chemical Methods, Part 3; ASA and SSSA: Madison, WI, USA, 1996. [Google Scholar]
- Bernard, J.M. Forest floor moisture capacity of the New Jersey pine barrens. Ecology 1963, 44, 574–576. [Google Scholar] [CrossRef]
- Govindasamy, P. Effect of Long-Term Tillage Practices on Soil Physico-Chemical Properties and Weed Population Dynamics in a 36-Year Old Experiment. Ph.D. Thesis, Texas A&M University, College Station, TX, USA, 2018. [Google Scholar]
- Schulte, E.; Hopkins, B. Estimation of soil organic matter by weight loss-on-ignition. Soil Org. Matter Anal. Interpret. 1996, 46, 21–31. [Google Scholar]
- Bieganowski, A.; Ryżak, M. Soil Texture: Measurement Methods. In Encyclopedia of Agrophysics; Gliński, J., Horabik, J., Lipiec, J., Eds.; Encyclopedia of Earth Sciences Series; Springer: Dordrecht, The Netherlands, 2011. [Google Scholar]
- Gianello, C.; Bremner, J. A simple chemical method of assessing potentially available organic nitrogen in soil. Commun. Soil Sci. Plant Anal. 1986, 17, 195–214. [Google Scholar] [CrossRef]
- Stockdale, E.; Rees, R. Relationships between biomass nitrogen and nitrogen extracted by other nitrogen availability methods. Soil Biol. Biochem. 1994, 26, 1213–1220. [Google Scholar] [CrossRef]
- Mehlich, A. Mehlich 3 soil test extractant: A modification of Mehlich 2 extractant. Comm. Soil Sci. Pant Anal. 1984, 15, 1409–1416. [Google Scholar] [CrossRef]
- USEPA. Test Methods for Evaluating Solid Waste, SW 846, 3rd ed.; Office of Solid Waste and Emergency Response: Washington, DC, USA, 1996.
- RoyChowdhury, A.; Sarkar, D.; Datta, R. Preliminary studies on potential remediation of acid mine drainage-impacted soils by amendment with drinking-water treatment residuals. Remediat. J. 2018, 28, 75–82. [Google Scholar] [CrossRef]
- Tessier, A.; Campbell, P.G.; Bisson, M. Sequential extraction procedure for the speciation of particulate trace metals. Anal. Chem. 1979, 51, 844–851. [Google Scholar] [CrossRef]
- Naramabuye, F.; Haynes, R.J. Effect of organic amendments on soil pH and Al solubility and use of laboratory indices to predict their liming effect. Soil Sci. 2006, 171, 754–763. [Google Scholar] [CrossRef]
- Cui, Y.; Du, X.; Weng, L.; Zhu, Y. Effects of rice straw on the speciation of cadmium (Cd) and copper (Cu) in soils. Geoderma 2008, 146, 370–377. [Google Scholar] [CrossRef]
- Lebourgeois, F.; Bréda, N.; Ulrich, E.; Granier, A. Climate-tree-growth relationships of European beech (Fagus sylvatica L.) in the French Permanent Plot Network (RENECOFOR). Trees 2005, 19, 385–401. [Google Scholar] [CrossRef]
- Bréda, N.; Huc, R.; Granier, A.; Dreyer, E. Temperate forest trees and stands under severe drought: A review of ecophysiological responses, adaptation processes and long-term consequences. Ann. For. Sci. 2006, 63, 625–644. [Google Scholar] [CrossRef]
- Karhu, K.; Mattila, T.; Bergström, I.; Regina, K. Biochar addition to agricultural soil increased CH4 uptake and water holding capacity–Results from a short-term pilot field study. Agri. Ecosyst. Environ. 2011, 140, 309–313. [Google Scholar] [CrossRef]
- Basso, A.S.; Miguez, F.E.; Laird, D.A.; Horton, R.; Westgate, M. Assessing potential of biochar for increasing water-holding capacity of sandy soils. GCB Bioenergy 2013, 5, 132–143. [Google Scholar] [CrossRef]
- Yu, O.-Y.; Raichle, B.; Sink, S. Impact of biochar on the water holding capacity of loamy sand soil. Int. J. Energy Environ. Eng. 2013, 4, 44. [Google Scholar] [CrossRef]
- Verheijen, F.G.; Zhuravel, A.; Silva, F.C.; Amaro, A.; Ben-Hur, M.; Keizer, J.J. The influence of biochar particle size and concentration on bulk density and maximum water holding capacity of sandy vs sandy loam soil in a column experiment. Geoderma 2019, 347, 194–202. [Google Scholar] [CrossRef]
- Ghorbani, M.; Neugschwandtner, R.; Konvalina, W.; Asadi, P.; Kopecký, H.; Amirahmadi, M. Comparative effects of biochar and compost applications on water holding capacity and crop yield of rice under evaporation stress: A two-year field study. Paddy Water Environ. 2023, 21, 47–58. [Google Scholar] [CrossRef]
- Gonzalez, R.; Cooperband, L. Compost effects on soil physical properties and field nursery production. Compos. Sci. Util. 2002, 10, 226–237. [Google Scholar] [CrossRef]
- Lal, R. Restoring soil quality to mitigate soil degradation. Sustainability 2015, 7, 5875–5895. [Google Scholar] [CrossRef]
Disclaimer/Publisher’s Note: The statements, opinions and data contained in all publications are solely those of the individual author(s) and contributor(s) and not of MDPI and/or the editor(s). MDPI and/or the editor(s) disclaim responsibility for any injury to people or property resulting from any ideas, methods, instructions or products referred to in the content. |
© 2024 by the authors. Licensee MDPI, Basel, Switzerland. This article is an open access article distributed under the terms and conditions of the Creative Commons Attribution (CC BY) license (https://creativecommons.org/licenses/by/4.0/).






