Research on the Inner Surface Discharge of the Insulation Sheath of Electric Locomotive Cable Terminals
Abstract
1. Introduction
2. Establishment of a Simulation Model of the Cable Terminal Sheath Structure
2.1. Governing Equations Employed for the Simulations
2.2. Establishment of a Geometric Model of the Roof Cable Terminal
2.3. Defining Material Parameters and Boundary Conditions
2.4. Meshing
3. Cable Terminal–Sheath Structure Electric Field Simulation Research
3.1. Distribution of the Electric Field in the Cable Termination–Sheath Structure When No Sheath Is Installed
3.2. Electric Field Distribution of a Cable Termination–Sheath Structure Without External Moisture Contamination
3.2.1. No Air Gaps Are Present Between Cable Terminals and Jackets, with No Interfacial Moisture Contamination
3.2.2. Air Gap between the Cable Terminals and Sheath, with No Interfacial Wetting
- (1)
- Effect of different air gap positions on electric field distribution in cable termination–sheath structures
- (2)
- Effect of different air gap lengths on electric field distribution in cable termination–sheath structures
3.2.3. The Interface between the Cable Terminal and the Sheath Is Wet, and There Is No Air Gap
- (1)
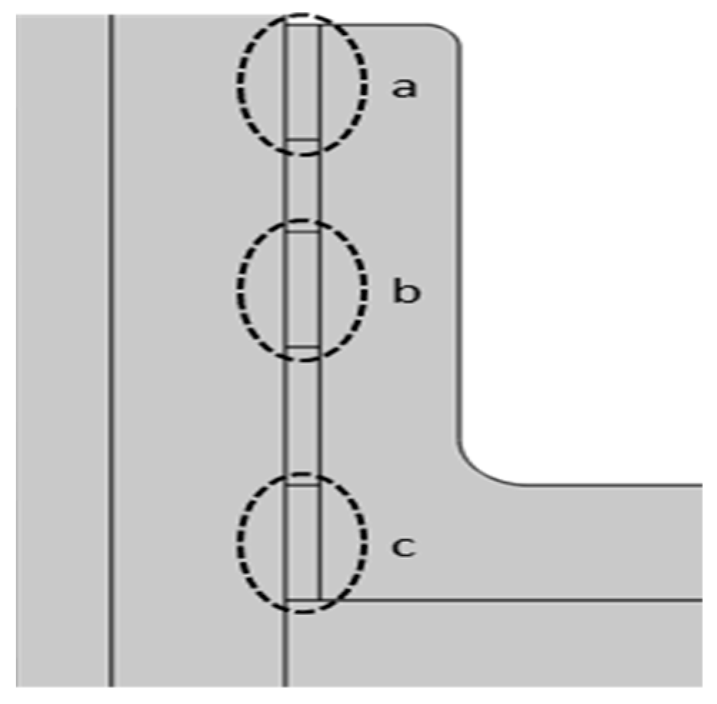
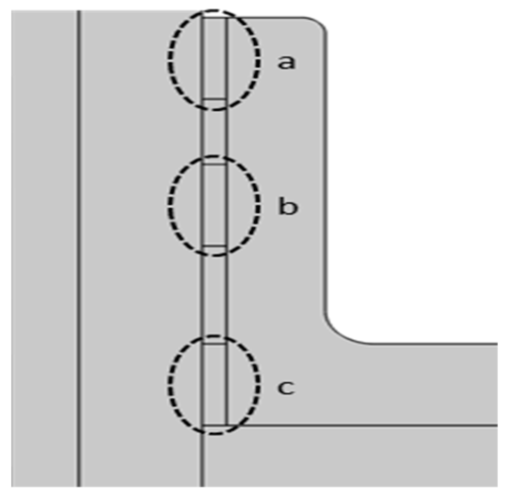
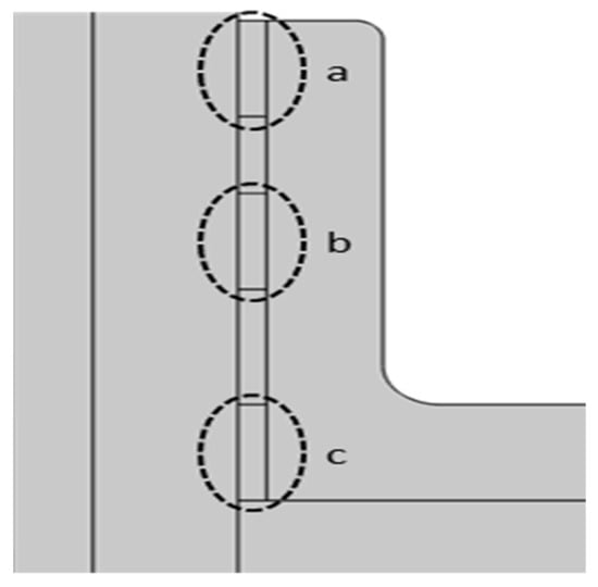
- Effect of interfacial wet contamination at different locations on the electric field of cable termination–sheath structures
- (2)
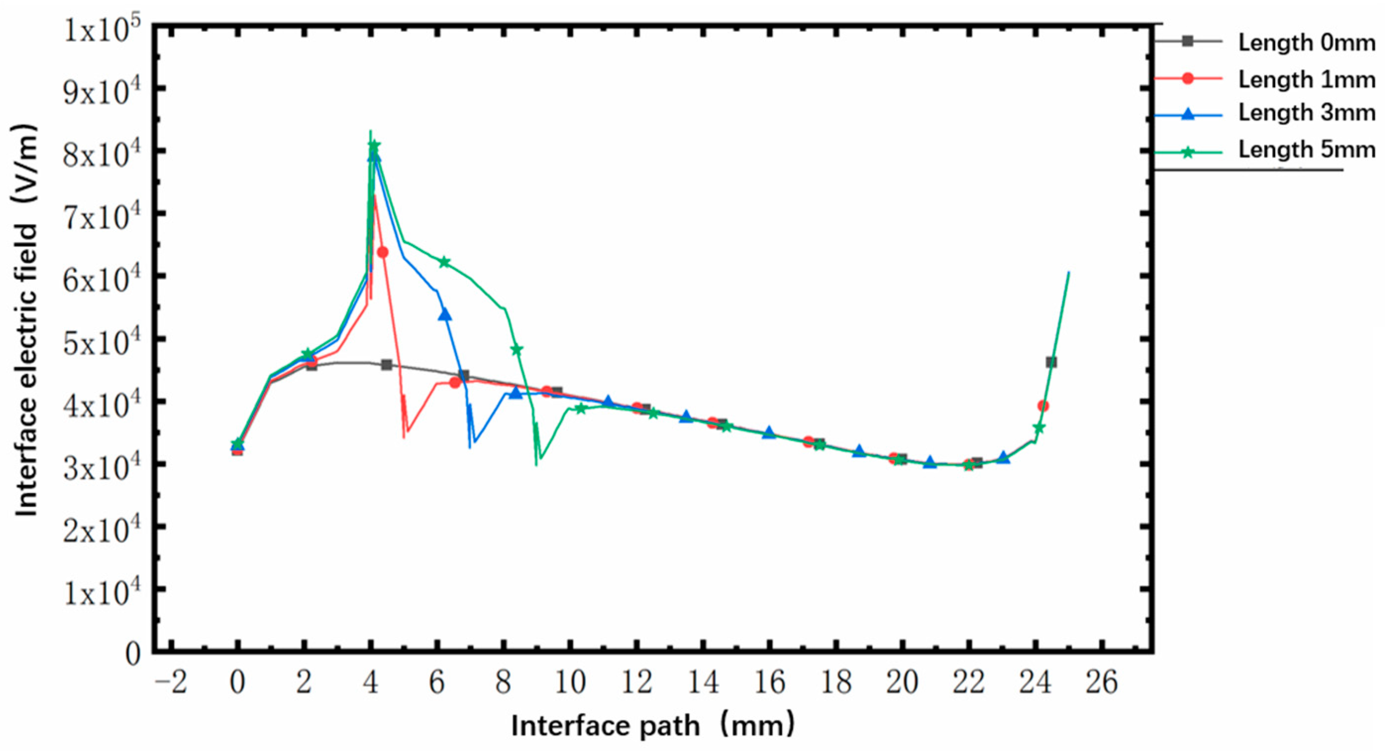
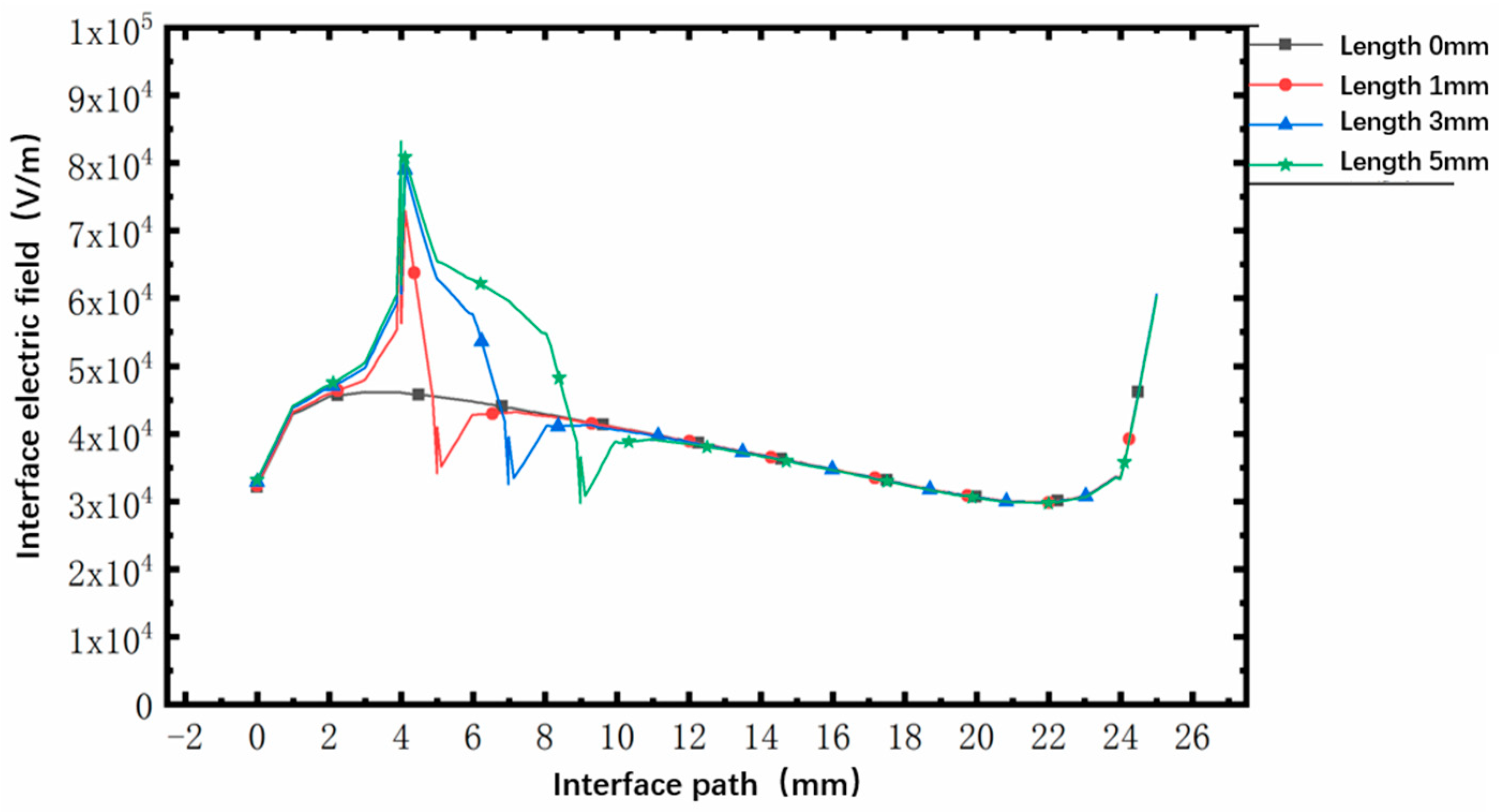
- Effect of interfacial wet contamination of different lengths on the electric field of cable termination–sheath structures
3.2.4. The Cable Termination and Sheath Have Interfacial Wetting and Air Gaps
3.3. Electric Field Distribution of the Cable Termination–Sheath Structure in the Presence of External Moisture Contamination
- (1)
- No interfacial wetting of the cable termination and sheath, with no air gaps
- (2)
- The cable termination and sheath have interfacial wetting, with no air gaps
- (3)
- The cable termination and sheath have interfacial wetting and air gaps
4. Conclusions
- (1)
- When the outer surface of the cable terminal is clean and dry, the insulating sheath has no obvious effect. When the outer surface of the terminal has serious wet pollution issues, the insulating sheath can extend the leakage on the current creepage path, which reduces the leakage current along the surface, thus reducing the probability of the partial discharge of cable terminals.
- (2)
- The position and size of the air gap affect the electric field distribution at the cable terminal–sheath interface. Compared with the positioning without an air gap, the electric field in the same position but with an air gap is about 1.7 times that without an air gap; when the position of the air gap is located at the edge of the cable terminal, the distortion of the electric field distribution is more serious, and the length of the air gap is increased; the maximal electric field and the average electric field within the air gap are also increased, but the magnitude of the increase is slowed down gradually. In general, the size of the air gap has little effect on the electric field distortion at the sub-interface.
- (3)
- The location and length of the interfacial wet contamination area affect the electric field distribution at the cable terminal–sheath interface. When interfacial wet contamination exists at the interface, the point of maximum electric field strength generally occurs at the interfacial wet contamination point, and the maximum increase in electric field strength is about 167 percent compared with the scenario without interfacial wet contamination. With an increase in the interface wet contamination length, the maximum aberration electric field on the interface is basically increased linearly. When the length of the interfacial wet contamination is 20 mm, the maximum electric field at the interface is about twice that of the interfacial wet contamination area, with a length of 5 mm.
- (4)
- Moisture contamination on the outer surface of the cable termination greatly enhances the non-uniformity of the electric field’s distribution on the surface. When there is no wet contamination at the interface and there is an air gap at the interface, the air gap is located at position 1, where the electric field near the air gap is the largest, about 5.0 × 105 V/m, which is nearly an order of magnitude larger than the electric field near the air gap when there is no external wet contamination; When there is a wet pollution area at the interface but there is no air gap at the interface, the interfacial electric field is maximum when the wet pollution area is located at position C and the length of the interfacial wet pollution area is 20 mm, and it can reach 1.1×106 V/m. When there are both interfacial wet pollution areas and air gaps at the interface, the presence of air gaps increases the maximum distortion electric field of interfacial wet pollution areas by about 26.6% compared to that in the absence of air gaps, and the maximum value of the electric field can be as high as 1.9 × 106 V/m. This makes the air gaps susceptible to partial discharges.
Author Contributions
Funding
Institutional Review Board Statement
Informed Consent Statement
Data Availability Statement
Conflicts of Interest
References
- Meng, X.; Mei, H.; Chen, C.; Wang, L.; Guan, Z.; Zhou, J. Research on characteristics of streamer propagation along insulation surfaces. Proc. CSEE 2013, 33, 155–165. [Google Scholar]
- Bai, L.L.; Zhou, L.J.; Cao, W.D. Characteristics of partial discharge in air gap defects in EPR cable termination under −40 °C condition’. High Volt. Eng. 2020, 46, 3605–3614. [Google Scholar]
- Du, B.X.; Han, T.B.; Su, J.G. Tree characteristics in silicone rubber/SiO2 nanocomposites under low temperature. IEEE Trans. Dielectr. Electr. Insul. 2014, 21, 503–510. [Google Scholar] [CrossRef]
- Wang, T.; Li, J.; Liu, K.; Yuan, D.; Gao, G.; Xin, D. Effect of Air Gap Defects on the Electric Field Distribution and Partial Discharge Characteristics of Vehicle-Mounted High-Voltage Cable Terminals. In Proceedings of the 2023 Panda Forum on Power and Energy (PandaFPE), Chengdu, China, 27–30 April 2023; pp. 837–843. [Google Scholar]
- Zhao, Z. High Voltage Technology; China Electric Power Press: Beijing, China, 2013. (In Chinese) [Google Scholar]
- Lin, H. Research on anti-fog flash system of HXD3C electric locomotive. Intern. Combust. Engines Accessories 2020, 140–141. [Google Scholar] [CrossRef]
- Cheng, B.; Kang, M.; Zheng, W. Analysis of the effect of anti-fouling flash insulation sheaths on the electric field distribution of supported insulators. Electr. Locomot. Urban Rail Veh. 2016, 39, 21–24. (In Chinese) [Google Scholar]
- Chen, Z.; Liu, G.; Chen, C.; Lu, G. Test and study of 10 kV XLPE power cables’ typical defects based on Oscillating Wave Test System. In Proceedings of the 2010 IEEE International Symposium on Electrical Insulation, San Diego, CA, USA, 6–9 June 2010. [Google Scholar]
- Liu, G.; Liu, Y.; Wang, C.; Yi, Z. The study on evaluation model for prefabricated HV stress cone of cable terminations weakness based on finite element. In Proceedings of the Conference Record of the IEEE International Symposium on Electrical Insulation, Toronto, ON, Canada, 11–14 June 2006. [Google Scholar]
- Gao, G.; Li, B.; He, M.; Liu, K.; Tang, Y.; Xin, D. Evaluation of Partial Discharge Severity for Air Gap Defects in Vehicle Cable Terminals. In Proceedings of the 2022 IEEE International Conference on High Voltage Engineering and Applications (ICHVE), Chongqing, China, 25–29 September 2022; pp. 1–4. [Google Scholar]
- Liu, Z.; Li, J.; Zhang, T.; Chen, S.; Xin, D.; Liu, K.; Chen, K.; Liu, Y.-C.; Sun, C.; Gao, G.; et al. Accurate Identification of Partial Discharge Signals in Cable Terminations of High-Speed Electric Multiple Unit Using Wavelet Transform and Deep Belief Network. Appl. Sci. 2024, 14, 4743. [Google Scholar] [CrossRef]
- Zhu, Z.; Huang, C.; Yu, Y.; Zhang, M.; Qin, Y. Research on partial discharge mechanism and characteristics for 10kV cable joint with air gap defect. In Proceedings of the 2014 China International Conference on Electricity Distribution (CICED), Shenzhen, China, 23–26 September 2014; pp. 1246–1250. [Google Scholar]
- Liu, J.; Wei, D.; Zhao, Z.; Li, G. Research on Intensive Care Technique for Partial Discharge in High Voltage Cable. In Proceedings of the 2020 IEEE International Conference on Power, Intelligent Computing and Systems (ICPICS), Shenyang, China, 28–30 July 2020; pp. 44–48. [Google Scholar]
- Tsai, P.-C.; Hsueh, Y.-M.; Chen, C.-K.; Kuo, C.-C. Research on a Partial Discharge Expert System for the Diagnosis of Damaged Transformation Equipment. Appl. Sci. 2024, 14, 1195. [Google Scholar] [CrossRef]
- Zhong, J.; Liu, Z.; Bi, X. Partial Discharge Signal Denoising Algorithm Based on Aquila Optimizer–Variational Mode Decomposition and K-Singular Value Decomposition. Appl. Sci. 2024, 14, 2755. [Google Scholar] [CrossRef]
- Yang, Y.; Li, J.; Chen, Z.; Liu, Y.-C.; Chen, K.; Liu, K.; Xin, D.-L.; Gao, G.; Wu, G. Classification of Partial Discharge in Vehicle-Mounted Cable Termination of High-Speed Electric Multiple Unit: A Machine Learning-Based Approach. Electronics 2024, 13, 495. [Google Scholar] [CrossRef]
- Lambeth, P.J. Variable-voltage application for insulator pollution tests. IEEE Trans. Power Deliv. 1988, 3, 2103–2111. [Google Scholar] [CrossRef]
- Mekhaldi, A.; Namane, D.; Bouazabia, S.; Beroual, A. Flashover of discontinuous pollution layer on HV insulators. IEEE Trans. Dielectr. Electr. Insul. 1999, 6, 900–906. [Google Scholar] [CrossRef]
- Xu, Z.; Lv, F.; Li, H. Influencing factors of finite element analysis method for insulator electric field and its optimisation. High Volt. Technol. 2011, 37, 944–951. [Google Scholar]
- Feng, C.; Ma, X. Introduction to Engineering Electromagnetic Fields; Higher Education Press: Beijing, China, 2000. [Google Scholar]
- Tian, Y.; Du, Z.; Liu, S. A method for fine control of the model surface mesh during finite element electric field calculations. Power Autom. Equip. 2019, 39, 205–210. (In Chinese) [Google Scholar]
- Boggs, S.; Densley, J. Fundamentals of partial discharge in the context of field cable testing. IEEE Electr. Insul. Mag. 2000, 16, 13–18. [Google Scholar] [CrossRef]
- Liu, G.; Chen, Z. Test of air gap defect in main insulation of 10 kV XLPE cable terminal. High Volt. Technol. 2012, 38, 678–683. (In Chinese) [Google Scholar]
- Song, M. Application of Finite Element Analysis in electric Field Analysis of catenary Insulator. J. Electr. Eng. 2019, 14, 108–114. (In Chinese) [Google Scholar]
- Chen, C.; Chen, Z.; Shi, X.; She, M.; Liu, Z.; Xin, Y. Effect of “three junction points” on the impact flashover voltage of insulator along the surface. Electr. Porcelain Arrester 2018, 197–201. (In Chinese) [Google Scholar] [CrossRef]
- Gorur, R.S.; Montesinos, J. Electrical performance of cycloaliphatic epoxy materials and insulators for outdoor use. IEEE Trans. Power Deliv. 2000, 15, 1274–1278. [Google Scholar] [CrossRef]
- Liu, M. High Voltage Insulation and Test Technology of Electrified Railway; Southwest Jiaotong University Press: Chengdu, China, 2001. (In Chinese) [Google Scholar]
- Li, L. Study on Pollution Accumulation Characteristics and Electric Field Distribution of roof Insulators of EMU; China Mining University: Xuzhou, China, 2020. (In Chinese) [Google Scholar]
- Yang, Z.; Wu, M. Introduction to Rail Transit Electrification; Introduction to Rail Transit Electrification; China Railway Press: Beijing, China, 2013. (In Chinese) [Google Scholar]
- Yang, Z. Introduction to High-Speed Railway Technology; Tsinghua University Press: Beijing, China, 2015. (In Chinese) [Google Scholar]
- Skopec, A.; Wankowicz, J.G.; Sikorski, B. Electric field calculation for an axially-symmetric insulator with surface contamination. IEEE Trans. Dielectr. Electr. Insul. 1994, 1, 332–339. [Google Scholar] [CrossRef]



























| Name of Material | Conductivity (S/m) | Relative Permittivity |
|---|---|---|
| hardware | 1 × 107 | 1 × 1050 |
| copper | 5.998 × 107 | 1 |
| semiconductor layer | 2 | 100 |
| lagging | 1 × 10−15 | 3.5 |
| stress pipe | 1 × 10−8 | 30 |
| heat-shrink tubing | 1 × 10−12 | 3.34 |
| PE layer | 5 × 10−12 | 3.07 |
| silicone rubber | 5 × 10−12 | 3.34 |
| filler glue | 5 × 10−9 | 7 |
Disclaimer/Publisher’s Note: The statements, opinions and data contained in all publications are solely those of the individual author(s) and contributor(s) and not of MDPI and/or the editor(s). MDPI and/or the editor(s) disclaim responsibility for any injury to people or property resulting from any ideas, methods, instructions or products referred to in the content. |
© 2024 by the authors. Licensee MDPI, Basel, Switzerland. This article is an open access article distributed under the terms and conditions of the Creative Commons Attribution (CC BY) license (https://creativecommons.org/licenses/by/4.0/).
Share and Cite
Zou, H.; Yin, Y.; Chen, J.; Zhang, S.; Tian, F. Research on the Inner Surface Discharge of the Insulation Sheath of Electric Locomotive Cable Terminals. Appl. Sci. 2024, 14, 9681. https://doi.org/10.3390/app14219681
Zou H, Yin Y, Chen J, Zhang S, Tian F. Research on the Inner Surface Discharge of the Insulation Sheath of Electric Locomotive Cable Terminals. Applied Sciences. 2024; 14(21):9681. https://doi.org/10.3390/app14219681
Chicago/Turabian StyleZou, Huanqing, Yufeng Yin, Juan Chen, Shun Zhang, and Fuqiang Tian. 2024. "Research on the Inner Surface Discharge of the Insulation Sheath of Electric Locomotive Cable Terminals" Applied Sciences 14, no. 21: 9681. https://doi.org/10.3390/app14219681
APA StyleZou, H., Yin, Y., Chen, J., Zhang, S., & Tian, F. (2024). Research on the Inner Surface Discharge of the Insulation Sheath of Electric Locomotive Cable Terminals. Applied Sciences, 14(21), 9681. https://doi.org/10.3390/app14219681
