Effects of Successive Annual Training on Young Swimmers’ Strength Asymmetries and Performance
Abstract
1. Introduction
2. Materials and Methods
2.1. Participants
2.2. Study Design
2.3. Testing Procedures
2.4. Determination of Asymmetries
2.5. Training Period and Determination of Training Intensity
2.6. Statistical Analysis
3. Results
3.1. Training Volume and Training Intensity
3.2. Biological Maturity
3.3. Performance and Biomechanical Variables in 50, 200, and 400 m Tests
3.3.1. Performance
3.3.2. Biomechanical Variables
3.4. Shoulder Isometric Strength, Hand Grip Isometric Strength, and Tethered Force
3.5. Strength Asymmetries Evaluation
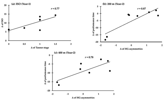
3.6. Correlations
4. Discussion
4.1. Performance and Biomechanical Variables
4.2. Strength Asymmetries
5. Conclusions
Author Contributions
Funding
Institutional Review Board Statement
Informed Consent Statement
Data Availability Statement
Conflicts of Interest
References
- Seifert, L.; Leblanc, H.; Chollet, D.; Delignières, D. Inter-limb coordination in swimming: Effect of speed and skill level. Hum. Mov. Sci. 2010, 29, 103–113. [Google Scholar] [CrossRef] [PubMed]
- Sanders, H.R.; Thow, J.; Fairweather, M.M. Asymmetries in swimming: Where do they come from? J. Swim. Res. 2011, 18, 1–11. [Google Scholar]
- Sanders, R.; Thow, J.; Alcock, A.; Fairweather, M.; Riach, I.; Mather, F. How can asymmetries in swimming be identified and measured? J. Swim. Res. 2012, 19, 1–15. [Google Scholar]
- Annett, M. Handedness and celebral dominance: The right shift theory. J. Neuropsychiatry Clin. Neurosci. 1998, 10, 459–469. [Google Scholar] [CrossRef]
- Toubekis, A.G.; Gourgoulis, V.; Tokmakidis, S.P. Tethered Swimming as An Evolution Tool of Single Arm-Stroke Force. In Biomechanics and Medicine in Swimming XI; Norwegian School of Sports Science: Olso, Norway, 2010; pp. 269–299. [Google Scholar]
- Aujouannet, Y.A.; Bonifazi, M.; Hintzy, F.; Vuillerme, N.; Rouard, A.H. Effects of high-intensity swim test on kinematic parameters in high-level athletes. Appl. Physiol. Nutr. Metab. 2006, 31, 150–158. [Google Scholar] [CrossRef]
- Ivanovic, J.; Dopsaj, M. Funtional dimorphism and characteristics of maximal hand grip force in top level female athletes. Col. Athropol. 2012, 36, 1231–1240. [Google Scholar]
- Dos Santos, K.; Pereira, G.; Papoti, M.; Bento, P.C.; Rodacki, A. Propulsive Force Asymmetry during Tethered-Swimming. Int. J. Sports Med. 2013, 34, 606–611. [Google Scholar] [CrossRef]
- Carvalho, D.D.; Soares, S.; Zacca, R.; Marinho, D.A.; Silva, A.J.; Pyne, D.B.; Vilas-Boas, J.P.; Fernandes, J.R. In-water and on-land swimmers’ symmetry and force production. Int. J. Environ. Res. Public Health 2019, 16, 5018. [Google Scholar] [CrossRef]
- Chalkiadakis, I.; Arsoniadis, G.G.; Toubekis, A.G. Dry-land force-velocity, power-velocity, and swimming-specific force relation to single and repeated sprint swimming performance. J. Funct. Morphol. Kinesiol. 2023, 8, 120. [Google Scholar] [CrossRef]
- Dos Santos, K.B.; Bento, P.C.B.; Pereira, G.; Payton, C.; Rodacki, A.L. Front crawl swimming performance and bilateral force asymmetry during land-based and tethered swimming tests. J. Sports Sci. Med. 2017, 16, 574. [Google Scholar]
- Dos Santos, Y.S.; Rossato, M.; Carneiro, N.B.; Franken, M.; Antônio de Souza Castro, F.; de Jesus, K.; de Jesus, K. Magnitude and direction of shoulder torque asymmetries between difference angular velocities in competitive swimmers. Sports Biomech. 2024, 1–15. [Google Scholar] [CrossRef] [PubMed]
- Batalha, N.; Marmeleira, J.; Garrido, N.; Silva, A.J. Does a water training macrocycle really create imbalances in swimmers’ shoulder rotator muscles? Eur. J. Sport Sci. 2015, 15, 167–172. [Google Scholar] [CrossRef] [PubMed]
- Morais, J.E.; Marques, M.C.; Marinho, D.A.; Silva, A.J.; Barbosa, T.M. Longitudinal modeling in sports: Young swimmers; performance and biomechanics profile. Hum. Mov. Sci. 2014, 37, 111–122. [Google Scholar] [CrossRef] [PubMed]
- Palaiothodorou, D.; Vagenas, G. Inter-arm bone mass and size asymmetries in children tennis players are maturity status specific: A 9-month study on the effects of training time across pubertal change and somatic growth. Eur. J. Appl. Physiol. 2024, 124, 2081–2092. [Google Scholar] [CrossRef]
- Tanner, J.M.; Whitehouse, R.H. Clinical longitundinal standards for height, wight, height velocity, weight velocity, and stages of puberty. Arch. Dis. Child. 1976, 51, 170–179. [Google Scholar] [CrossRef]
- Pyne, D.B.; Lee, H.; Swanwick, K.M. Monitoring the lactate threshold in world-ranked swimmers. Med. Sci. Sports Exerc. 2001, 33, 291–297. [Google Scholar] [CrossRef]
- Barbosa, A.C.; Barroso, R.; Andries, J.O. Post-activation potentiation in propulsive force after specific swimming strength training. Int. J. Sports Med. 2016, 37, 313–317. [Google Scholar] [CrossRef][Green Version]
- Tourny-Chollet, C.; Seifert, L.; Chollet, D. Effect of force symmetry on coordination in crawl. J. Sports Med. 2009, 30, 182–187. [Google Scholar] [CrossRef]
- Mujika, I.; Busso, T.; Lacoste, L.; Barale, F.; Geyssant, A.; Chatard, J.C. Modeled responses to training and taper in competitive swimmers. Med. Sci. Sports Exerc. 1996, 28, 251–258. [Google Scholar] [CrossRef]
- Faul, F.; Erdfelder, E.; Lang, A.G.; Buchner, A. G*Power 3: A flexible statistical power analysis program for the social, behavioral, and biomedical sciences. Behav. Res. Methods 2007, 39, 175–191. [Google Scholar] [CrossRef]
- Hopkins, W.G.; Marshall, S.W.; Batterham, A.M.; Hanin, J. Progressive statistics for studies in sports medicine and exercise science. Med. Sci. Sport. Exerc. 2009, 41, 3–13. [Google Scholar] [CrossRef] [PubMed]
- Arsoniadis, G.G.; Chalkiadakis, I.; Toubekis, A.G. Concurrent sprint swimming interval and dryland performance and biomechanical variable changes within a mesocycle. Appl. Sci. 2024, 14, 2403. [Google Scholar] [CrossRef]
- Strass, D. Effects of Maximal Strength Training on Swimming Performance of Competitive Swimmers. In Swimming Science; Ungerechts, B., Wilke, K., Resischle, K., Eds.; V International Series on Sports Science 18; Human Kinetics: Champaign, IL, USA, 1998; pp. 149–156. [Google Scholar]
- Trappe, W.S.; Pearson, R.D. Effects of weight assisted dry-land strength training on swimming performance. J. Strength Cond. Res. 1994, 8, 209–213. [Google Scholar]
- Mujika, I.; Chatard, J.C.; Busso, T.; Geyssant, A.; Barale, F.; Lacoste, L. Effects of training on performance in competitive swimming. Can. J. Appl. Physiol. 1995, 20, 395–406. [Google Scholar] [CrossRef]
- Arsoniadis, G.G.; Botonis, P.G.; Nikitakis, I.S.; Kalokiris, D.; Toubekis, A.G. Effects of successive annual training on aerobic endurance indices in young swimmers. Open Sports Sci. J. 2017, 10, 214–221. [Google Scholar] [CrossRef][Green Version]
- Ratel, S.; Blazevich, A.J. Are prepubertal children metabolically comparable to well-trained adult endurance athletes? Sports Med. 2017, 47, 1477–1485. [Google Scholar] [CrossRef]
- Yapici, H.; Gulu, M.; Yagin, F.H.; Eken, O.; Gabrys, T.; Knappova, V. Exploring the relationship between biological maturation level, muscle strength, and muscle power in adolescents. Biology 2022, 11, 1722. [Google Scholar] [CrossRef] [PubMed]
- Massini, D.A.; Almeida, T.A.F.; Vasconcelos, C.M.T.; Macedo, A.G.; Espada, M.A.C.; Reis, J.F.; Pessôa Filho, D.M. Are young swimmers short and middle distance energy cost sex-specific? Front. Physiol. 2021, 12, 2218. [Google Scholar] [CrossRef]
- de Jesus, K.; de Jesus, K.; Gonçalves, P.; Vasconcelos, O.M.; Medeiros, A.I.A.; Carvalho, D.A.D.; Fernandes, R.J.; Vilas-Boas, J.P. Lateral kinetic proficiency and asymmetry in backstroke start performed with horizontal and vertical handgrips. Sports Biomech. 2021, 20, 71–85. [Google Scholar] [CrossRef] [PubMed]
- Phukan, M.I.; Thapa, R.K.; Kumar, G.; Bishop, C.; Chaabene, H.; Ramirez-Campillo, R. Inter-limb jump asymmetries and their association with sport-specific performance in young male and female swimmers. Int. J. Environ. Res. Public Health 2021, 18, 7324. [Google Scholar] [CrossRef]
- Psycharakis, S.G.; Soultanakis, H.; González Ravé, M.J.; Paradisis, P.G. Force production during maximal front crawl tethered swimming: Exploring bilateral asymmetries and differences between breathing and non-breathing conditions. Sports Biomech. 2021, 23, 788–802. [Google Scholar] [CrossRef] [PubMed]
- Knihs, D.A.; Bishop, C.; Zimmermann, H.B.; Dal Pupo, J. Interlimb asymmetries in swimming and their impact on performance: Evidence from a scoping review. J. Strength Cond. Res. 2022, 45, 642–662. [Google Scholar] [CrossRef]
- Seifert, L.; Chollet, D.; Allard, P. Upper limb coordination symmetry and breathing effect in front crawl. Hum. Mov. Sci. 2005, 24, 234–256. [Google Scholar] [CrossRef] [PubMed]
- Morouço, G.P.; Marinho, A.D.; Fernandes, J.R.; Marques, C.M. Quantification of upper limb kinetic asymmetries in front crawl swimming. Hum. Mov. Sci. 2015, 40, 185–192. [Google Scholar] [CrossRef]




| Swimmers | Range of Age (Years) |
|---|---|
| 1 | 15.4 to 16.7 |
| 2 | 13.1 to 14.4 |
| 3 | 14.2 to 15.5 |
| 4 | 14.1 to 15.4 |
| 5 | 13.4 to 14.7 |
| 6 | 11.9 to 13.2 |
| 7 | 16.8 to 18.1 |
| 8 | 13.8 to 15.1 |
| Year-1 | Year-2 | |||
|---|---|---|---|---|
| Swimmers | Pre | Post | Pre | Post |
| 1 | 5 | 5 | 5 | 5 |
| 2 | 3 | 4 | 4 | 4.5 |
| 3 | 3 | 4 | 4 | 4.5 |
| 4 | 3 | 4 | 4 | 4.5 |
| 5 | 4 | 4 | 4 | 4.5 |
| 6 | 2 | 2.5 | 3 | 3.5 |
| 7 | 3 | 4 | 5 | 5 |
| 8 | 5 | 5 | 5 | 5 |
| Performance Time (s) | Year-1 | Year-2 | Year-1 vs. Year-2 Effect | Pre vs. Post Effect | ||||
|---|---|---|---|---|---|---|---|---|
| Pre-1 | Post-1 | %Δ | Pre-2 | Post-2 | %Δ | |||
| 50 m | 31.9 ± 2.5 | 31.5 ± 2.1 | −1.1 ± 3.0 | 31.8 ± 2.3 | 30.5 ± 1.9 | −4.3 ± 5.9 | p = 0.27 | p = 0.11 |
| 200 m | 158.5 ± 15.1 | 147.4 ± 11.4 * | −7.6 ± 6.2 | 149.7 ± 11.1 † | 145.1 ± 9.7 †* | −3.2 ± 5.8 | p = 0.01 | p = 0.01 |
| 400 m | 323.9 ± 23.8 | 315.9 ± 30.3 * | −2.8 ± 4.1 | 315.2 ± 20.4 | 306.5 ± 18.5 * | −2.8 ± 1.7 | p = 0.08 | p = 0.01 |
| Swimming Tests | Year-1 | Year-2 | ||||
|---|---|---|---|---|---|---|
| Pre-1 | Post-1 | %Δ | Pre-2 | Post-2 | %Δ | |
| SR (cycles.min−1) | ||||||
| 50 m | 51.8 ± 3.9 | 52.0 ± 5.2 | 0.3 ± 10.7 | 47.9 ± 3.5 † | 50.2 ± 4.1 † | 4.2 ± 7.5 |
| 200 m | 43.9 ± 2.7 | 44.9 ± 4.2 | 1.8 ± 5.4 | 42.8 ± 3.1 | 43.3 ± 5.1 | 0.6 ± 0.3 |
| 400 m | 44.6 ± 2.7 | 43.2 ± 2.3 | 1.2 ± 6.8 | 41.3 ± 3.2 | 41.8 ± 3.2 | 0.8 ± 7.4 |
| SL (m.cycle−1) | ||||||
| 50 m | 1.84 ± 0.16 | 1.86 ± 0.26 | 0.5 ± 8.1 | 1.98 ± 0.16 † | 1.97 ± 0.19 † | -0.7 ± 6.1 |
| 200 m | 1.75 ± 0.21 | 1.84 ± 0.26 * | 4.9 ± 4.8 | 1.89 ± 0.22 † | 1.94 ± 0.23 †* | 2.2 ± 2.9 |
| 400 m | 1.75 ± 0.19 | 1.78 ± 0.25 | 1.1 ± 6.8 | 1.86 ± 0.22 † | 1.89 ± 0.19 † | 1.5 ± 6.6 |
| SI (m2.s−1.cycle−1) | ||||||
| 50 m | 2.91 ± 0.44 | 2.98 ± 0.56 | 1.7 ± 5.8 | 3.14 ± 0.43 † | 3.25 ± 0.46 † | 3.2 ± 8.2 |
| 200 m | 2.24 ± 0.47 | 2.53 ± 0.53 * | 11.2 ± 8.1 | 2.56 ± 0.48 † | 2.69 ± 0.45 †* | 5.1 ± 5.6 |
| 400 m | 2.19 ± 0.39 | 2.30 ± 0.52 * | 3.5 ± 8.5 | 2.39 ± 0.43 † | 2.48 ± 0.38 †* | 4.2 ± 6.3 |
| Strength Variable | Year-1 | Year-2 | Year-1 vs. Year-2 Effect | Pre vs. Post Effect | ||||
|---|---|---|---|---|---|---|---|---|
| Pre-1 | Post-1 | Δ | Pre-2 | Post-2 | Δ | |||
| HG | 3.34 ± 7.77 | 0.30 ± 6.69 | −3.0 ± 6.3 | 2.99 ± 2.69 | 3.15 ± 3.24 | 0.2 ± 1.3 | p = 0.62 | p = 0.22 |
| ISO | 1.47 ± 8.12 | 0.69 ± 7.45 | −0.8 ± 5.6 | 3.07 ± 8.00 | 3.80 ± 14.91 | 0.7 ± 12.9 | p = 0.52 | p = 0.99 |
| TF | 2.24 ± 2.46 | 1.34 ± 2.45 | −0.9 ± 2.9 | 0.81 ± 11.71 | 3.12 ± 11.48 | 2.3 ± 9.1 | p = 0.96 | p = 0.67 |
Disclaimer/Publisher’s Note: The statements, opinions and data contained in all publications are solely those of the individual author(s) and contributor(s) and not of MDPI and/or the editor(s). MDPI and/or the editor(s) disclaim responsibility for any injury to people or property resulting from any ideas, methods, instructions or products referred to in the content. |
© 2024 by the authors. Licensee MDPI, Basel, Switzerland. This article is an open access article distributed under the terms and conditions of the Creative Commons Attribution (CC BY) license (https://creativecommons.org/licenses/by/4.0/).
Share and Cite
Arsoniadis, G.G.; Toubekis, A.G. Effects of Successive Annual Training on Young Swimmers’ Strength Asymmetries and Performance. Appl. Sci. 2024, 14, 9508. https://doi.org/10.3390/app14209508
Arsoniadis GG, Toubekis AG. Effects of Successive Annual Training on Young Swimmers’ Strength Asymmetries and Performance. Applied Sciences. 2024; 14(20):9508. https://doi.org/10.3390/app14209508
Chicago/Turabian StyleArsoniadis, Gavriil G., and Argyris G. Toubekis. 2024. "Effects of Successive Annual Training on Young Swimmers’ Strength Asymmetries and Performance" Applied Sciences 14, no. 20: 9508. https://doi.org/10.3390/app14209508
APA StyleArsoniadis, G. G., & Toubekis, A. G. (2024). Effects of Successive Annual Training on Young Swimmers’ Strength Asymmetries and Performance. Applied Sciences, 14(20), 9508. https://doi.org/10.3390/app14209508
