Experimental and Numerical Investigations on the Slate Shearing Mechanical Behavior
Abstract
1. Introduction
2. Materials and Methodology
2.1. Materials
2.2. Experimental Method
3. Test Results
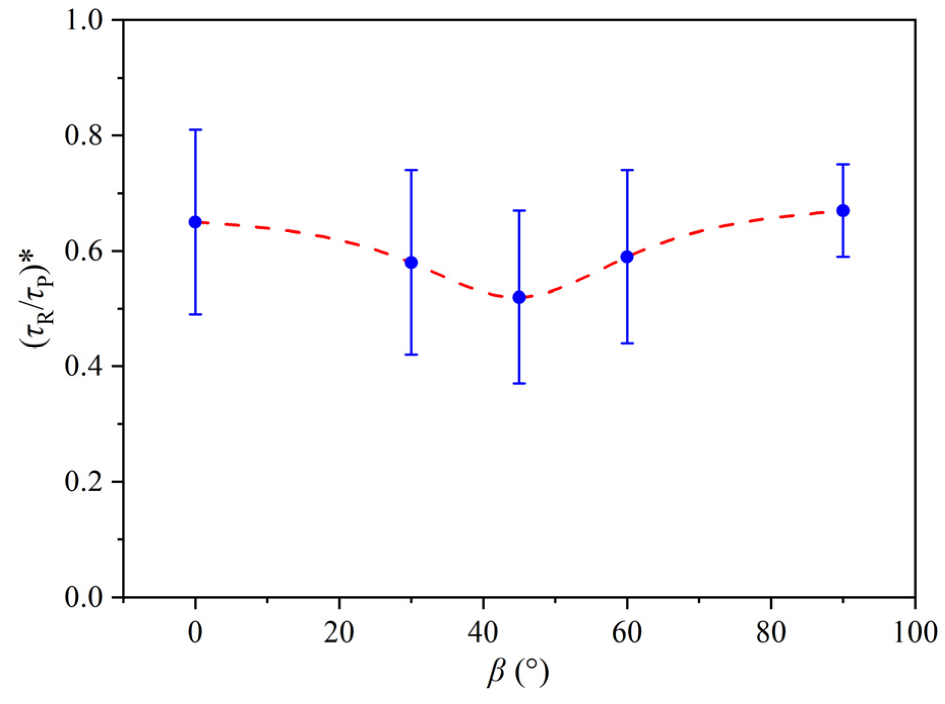
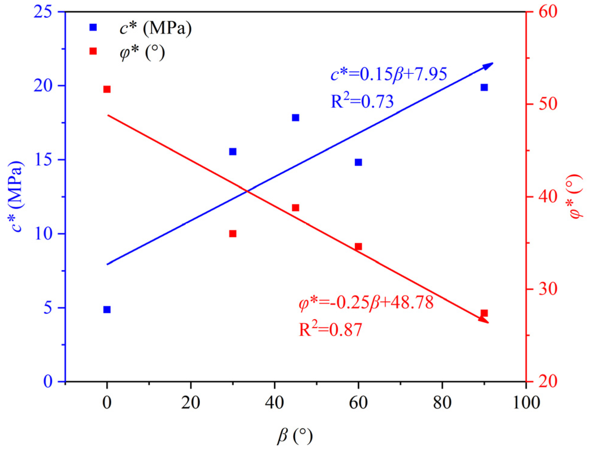
3.1. Shear Strength Parameters
3.2. Failure Pattern of Slate
3.3. AE Characteristics
4. Numerical Simulations
4.1. Numerical Model and Calibration
4.2. Failure Behavior of Slate
4.2.1. Shear Strength Properties
4.2.2. Crack Evolution
4.2.3. The Features of the Force Chain
5. Discussion
6. Conclusions and Prospects
6.1. Conclusions
6.2. Prospects
Author Contributions
Funding
Institutional Review Board Statement
Informed Consent Statement
Data Availability Statement
Conflicts of Interest
Nomenclature
| β | The bedding dip angle of slate: the angle between the bedding plane and the horizontal plane |
| AE | Acoustic emission |
| τp, τr | Peak and residual shear stresses |
| τ, σn | Shear and normal stresses |
| σnmax | Maximum normal stress |
| c, φ | Cohesion and internal friction angle |
| τr/τp | the ratio of residual stress to peak stress |
| XRD | X-ray diffraction |
| PAC | Physical Acoustics Corporation |
| FC | Force chain |
| SD | Standard deviation |
| SW | Slip weakening |
| M-C | Mohr–Coulomb |
References
- Zhuo, X.; Liu, X.; Shi, X.; Liang, L.; Xiong, J. The anisotropic mechanical characteristics of layered rocks under numerical simulation. J. Pet. Explor. Prod. Technol. 2022, 12, 51–62. [Google Scholar] [CrossRef]
- Zhai, M.; Xue, L.; Chen, H.; Xu, C.; Cui, Y. Effects of shear rates on the damaging behaviors of layered rocks subjected to direct shear: Insights from acoustic emission characteristics. Eng. Fract. Mech. 2021, 258, 108046. [Google Scholar] [CrossRef]
- Zhu, T.; Huang, D. Experimental investigation of the shear mechanical behavior of sandstone under unloading normal stress. Int. J. Rock Mech. Min. Sci. 2019, 114, 186–194. [Google Scholar] [CrossRef]
- Meier, T.; Rybacki, E.; Backers, T.; Dresen, G. Influence of bedding angle on borehole stability: A laboratory investigation of transverse isotropic oil shale. Rock Mech. Rock Eng. 2015, 48, 1535–1546. [Google Scholar] [CrossRef]
- Liu, X.; Zhou, Y.; Xu, D. Anisotropic mechanical properties of quartz mica schist subjected to true triaxial compression. Environ. Earth Sci. 2023, 82, 204. [Google Scholar] [CrossRef]
- Mashhadiali, N.; Molaei, F. Theoretical and experimental investigation of a shear failure model for anisotropic rocks using direct shear test. Int. J. Rock Mech. Min. Sci. 2023, 170, 105561. [Google Scholar] [CrossRef]
- Gong, Y.; Yao, A.; Li, Y.; Li, Y.; Li, Y.; Sun, Y. Model test study on sliding-toppling composite deformation evolution of anti-dip layered rock slope. Bull. Eng. Geol. Environ. 2023, 82, 194. [Google Scholar] [CrossRef]
- Pan, W.; Yang, W.; Wu, F.; Zhao, L.; Yao, R.; Fu, J. Layered soft rock simulation based on uniaxial and triaxial tests and direct shear test. Rock Soil Mech. 2022, 43, 3437–3452. [Google Scholar] [CrossRef]
- Alsuwaidi, E.; Xi, G.; Zimmerman, R. Mechanical characterization of laffan and Nahr Umr anisotropic shales. J. Petrol Sci. Eng. 2021, 200, 108195. [Google Scholar] [CrossRef]
- Heng, S.; Guo, Y.; Yang, C.; Daemen, J.J.; Li, Z. Experimental and theoretical study of the anisotropic properties of shale. Int. J. Rock Mech. Min. Sci. 2015, 74, 58–68. [Google Scholar] [CrossRef]
- Ikari, M.J.; Niemeijer, A.R.; Marone, C. Experimental investigation of incipient shear failure in foliated rock. J. Struct. Geol. 2015, 77, 82–91. [Google Scholar] [CrossRef]
- Fan, Z.; Xie, H.; Zhang, R.; Lu, H.; Zhou, Q.; Nie, X.; Luo, Y.; Ren, L. Characterization of anisotropic mode II fracture behaviors of a typical layered rock combining AE and DIC techniques. Eng. Fract. Mech. 2022, 271, 108599. [Google Scholar] [CrossRef]
- Mousavi, N.M.; Fisher, Q.J.; Gironacci, E.; Rezania, M. Experimental study and numerical modeling of fracture propagation in shale rocks during Brazilian disk test. Rock Mech. Rock Eng. 2018, 51, 1755–1775. [Google Scholar] [CrossRef]
- Kim, J.S.; Lee, K.S.; Cho, W.J.; Choi, H.J. A Comparative Evaluation of Stress-Strain and Acoustic Emission Methods for Quantitative Damage Assessments of Brittle Rock. Rock Mech. Rock Eng. 2015, 48, 495–508. [Google Scholar] [CrossRef]
- Wieser, C.; Käsling, H.; Raith, M.; Richter, R.; Moser, D.; Gemander, F.; Grosse, C.; Thuro, K. Acoustic emission technique to detect micro cracking during uniaxial compression of brittle rocks. In Engineering Geology for Society and Territory; Springer: Cham, Switzerland, 2015; Volume 6, pp. 465–468. [Google Scholar] [CrossRef]
- Hampton, J.; Gutierrez, M.; Matzar, L. Microcrack damage observations near coalesced fractures using acoustic emission. Rock Mech. Rock Eng. 2019, 52, 3597–3608. [Google Scholar] [CrossRef]
- Indraratna, B.; Mirzaghorbanali, A.; Oliveira, D.; Premadasa, W.N. Shear behaviour of rock joints under cyclic loading. Fac. Eng. Inf. Sci. 2012, 1256–1261. [Google Scholar]
- Moradian, Z.A.; Ballivy, G.; Rivard, P. Application of acoustic emission for monitoring shear behavior of bonded concrete–rock joints under direct shear test. Can. J. Civ. Eng. 2012, 39, 887–896. [Google Scholar] [CrossRef]
- Moradian, Z.A.; Ballivy, G.; Rivard, P.; Rousseau, B. Evaluating damage during shear tests of rock joints using acoustic emissions. Int. J. Rock Mech. Min. Sci. 2010, 47, 590–598. [Google Scholar] [CrossRef]
- Klyuchkin, V.N.; Novikov, V.A.; Okunev, V.I.; Zeigarnik, V.A. Acoustic and electromagnetic emissions of rocks: Insight from laboratory tests at press and shear machines. Environ. Earth Sci. 2022, 81, 64. [Google Scholar] [CrossRef]
- Roshan, H.; Sarmadivaleh, M.; Iglauer, S. Shale fracture surface area measured by tracking exchangeable cations. J. Pet. Sci. Eng. 2016, 138, 97–103. [Google Scholar] [CrossRef]
- Liu, P.; Liu, Q.; Deng, P.; Pan, Y.; Lei, Y.; Du, C.; Xie, X. Anisotropic shearing mechanism of Kangding slate: Experimental investigation and numerical analysis. J. Rock Mech. Geotech. Eng. 2024, 16, 1487–1504. [Google Scholar] [CrossRef]
- Noori, M.; Khanlari, G.; Sarfarazi, V.; Rafiei, B. An Experimental and Numerical Study of Layered Sandstone’s Anisotropic Behaviour Under Compressive and Tensile Stress Conditions. Rock Mech. Rock Eng. 2023, 57, 1451–1470. [Google Scholar] [CrossRef]
- Debecker, B.; Vervoort, A. Two-dimensional discrete element simulations of the fracture behaviour of slate. Int. J. Rock Mech. Min. Sci. 2013, 61, 161–170. [Google Scholar] [CrossRef]
- Ghazvinian, A.; Vaneghi, R.G.; Hadei, M.R.; Azinfar, M.J. Shear behavior of inherently anisotropic rocks. Int. J. Rock Mech. Min. Sci. 2013, 61, 96–110. [Google Scholar] [CrossRef]
- Fereidooni, D.; Khanlari, G.R.; Heidari, M.; Sepahigero, A.A.; Kolahi-Azar, A.P. Assessment of inherent anisotropy and confining pressure influences on mechanical behavior of anisotropic foliated rocks under triaxial compression. Rock Mech. Rock Eng. 2016, 49, 2155–2163. [Google Scholar] [CrossRef]
- Park, B.; Min, K.B. Bonded-particle discrete element modeling of mechanical behavior of transversely isotropic rock. Int. J. Rock Mech. Min. Sci. 2015, 76, 243–255. [Google Scholar] [CrossRef]
- Saeidi, O.; Rasouli, V.; Vaneghi, R.G.; Gholami, R.; Torabi, S.R. A modified failure criterion for transversely isotropic rocks. Geosci. Front. 2014, 5, 215–225. [Google Scholar] [CrossRef]
- Wang, M.; Li, P.; Wu, X.; Chen, H. A study on the brittleness and progressive failure process of anisotropic shale. Environ. Earth. Sci. 2016, 75, 886. [Google Scholar] [CrossRef]
- Wang, H.; Ren, F.; Chang, Y. Effect of bedding angle on tunnel slate failure behavior under indirect tension. Geomat. Nat. Haz. Risk 2020, 11, 428–445. [Google Scholar] [CrossRef]
- Ren, F.; Zhu, C.; He, M.; Shang, J.; Feng, G.; Bai, J. Characteristics and precursor of static and dynamic triggered rockburst: Insight from multifractal. Rock Mech. Rock Eng. 2023, 56, 1945–1967. [Google Scholar] [CrossRef]
- Lu, H.; Xie, H.; Luo, Y.; Ren, L.; Zhang, R.; Li, C.; Wang, J.; Yang, M. Failure characterization of Longmaxi shale under direct shear mode loadings. Int. J. Rock Mech. Min. Sci. 2021, 148, 104936. [Google Scholar] [CrossRef]
- Lepakshi, R.; Reddy, B.V. Shear strength parameters and Mohr-Coulomb failure envelopes for cement stabilised rammed earth. Constr. Build. Mater. 2020, 249, 118708. [Google Scholar] [CrossRef]
- Zhu, C.; Li, Z.; Xiansen, X.; He, M.; Wang, F.; Karakus, M.; Ren, F.; Tang, S. Investigation on the Dynamic Cracking Mechanism of Sandstone with an Ice-Saturated Flaw Based on Drop Weight Tests. Rock Mech. Rock Eng. 2024, 1–18. [Google Scholar] [CrossRef]
- Xu, Z.; Wang, W.; Lin, P.; Xiong, Y. A parameter calibration method for PFC simulation: Development and a case study of limestone. Geomech. Eng. 2020, 22, 97–108. [Google Scholar] [CrossRef]
- Xiong, L.; Chen, H.; Yuan, H.; Xu, Z. Triaxial creep test and PFC numerical simulation of rock-like materials with cracks. Arab. J. Geosci. 2023, 16, 613. [Google Scholar] [CrossRef]
- Jiang, Z.; Yin, Q.; Wu, J.; Zhu, Q.; Li, M.; Su, H.; Jing, H. The effect of cyclic heating and cooling on mechanical and deformation responses of granites under preset angle shearing. Environ. Earth Sci. 2023, 82, 29. [Google Scholar] [CrossRef]
- Shi, X.; Yang, X.; Meng, Y.; Li, G. Modified Hoek–Brown failure criterion for anisotropic rocks. Environ. Earth Sci. 2016, 75, 995. [Google Scholar] [CrossRef]
- Chen, R.; Lei, W.; Li, Z. Anisotropic shear strength characteristics of a tailings sand. Environ. Earth Sci. 2014, 71, 5165–5172. [Google Scholar] [CrossRef]
- Yuan, S.; Sun, Q.; Geng, J.; Wang, S.; Xue, S.; Ding, X. Distribution pattern and geological evolution of combustion metamorphic rocks in the northeast margin of Ordos Basin. Environ. Earth Sci. 2023, 82, 497. [Google Scholar] [CrossRef]
- Marques, E.A.G.; Williams, D.J.; Assis, I.R.; Leão, M.F. Effects of weathering on characteristics of rocks in a subtropical climate: Weathering morphology, in situ, laboratory and mineralogical characterization. Environ. Earth Sci. 2017, 76, 602. [Google Scholar] [CrossRef]
- Wang, Z.; Li, W.; Wang, Q.; Liu, S.; Hu, Y.; Fan, K. Relationships between the petrographic, physical and mechanical characteristics of sedimentary rocks in Jurassic weakly cemented strata. Environ. Earth Sci. 2019, 78, 131. [Google Scholar] [CrossRef]
- Garcia-Fernandez, C.; Gonzalez-Nicieza, C.; Alvarez-Fernandez, M.; Gutierrez-Moizant, R. New methodology for estimating the shear strength of layering in slate by using the Brazilian test. Bull. Eng. Geol. Environ. 2019, 78, 2283–2297. [Google Scholar] [CrossRef]
- Tan, X.; Ren, Y.; Li, T.; Zhou, S.; Zhang, J.; Zhou, S. In-situ direct shear test and numerical simulation of slate structural planes with thick muddy interlayer along bedding slope. Int. J. Rock Mech. Min. Sci. 2021, 143, 104791. [Google Scholar] [CrossRef]



















| β (°) | τP (MPa) | c (MPa) * | φ (°) * | (τR/τP) * | Standard Deviation (%) | |||
|---|---|---|---|---|---|---|---|---|
| 5 MPa | 10 MPa | 15 MPa | 20 MPa | |||||
| 0 | 11.11 | 17.71 | 23.70 | 30.05 | 4.87 | 51.6 | 0.65 | 0.16 |
| 30 | 17.50 | 20.50 | 29.37 | 30.85 | 15.54 | 36.0 | 0.58 | 0.16 |
| 45 | 20.00 | 27.80 | 30.30 | 33.50 | 17.85 | 38.8 | 0.52 | 0.15 |
| 60 | 18.75 | 20.60 | 22.66 | 31.75 | 14.82 | 34.6 | 0.59 | 0.15 |
| 90 | 21.66 | 25.76 | 28.30 | 29.73 | 19.88 | 27.4 | 0.67 | 0.08 |
| Description | Parameters | Value |
|---|---|---|
| Ball | rmin (mm) | 0.25 |
| rmin/rmax | 1.5 | |
| Porosity ratio | 0.15 | |
| E (GPa) | 1 | |
| ρ (g/cm3) | 2661 | |
| Damp | 0.7 | |
| kn/ks | 1.5 | |
| Parallel bond | Pb_ten (MPa) | 46 |
| Pb_coh (MPa) | 49 | |
| E (GPa) | 2 | |
| kn/ks | 1.3 | |
| Fric | 0.8 |
Disclaimer/Publisher’s Note: The statements, opinions and data contained in all publications are solely those of the individual author(s) and contributor(s) and not of MDPI and/or the editor(s). MDPI and/or the editor(s) disclaim responsibility for any injury to people or property resulting from any ideas, methods, instructions or products referred to in the content. |
© 2024 by the authors. Licensee MDPI, Basel, Switzerland. This article is an open access article distributed under the terms and conditions of the Creative Commons Attribution (CC BY) license (https://creativecommons.org/licenses/by/4.0/).
Share and Cite
Gu, J.; Huang, M.; Ren, F.; Zhu, C.; Cheng, Z.; Bai, Z.; Song, Z. Experimental and Numerical Investigations on the Slate Shearing Mechanical Behavior. Appl. Sci. 2024, 14, 9104. https://doi.org/10.3390/app14199104
Gu J, Huang M, Ren F, Zhu C, Cheng Z, Bai Z, Song Z. Experimental and Numerical Investigations on the Slate Shearing Mechanical Behavior. Applied Sciences. 2024; 14(19):9104. https://doi.org/10.3390/app14199104
Chicago/Turabian StyleGu, Jinze, Ming Huang, Fuqiang Ren, Chun Zhu, Zhanbo Cheng, Zhengxiong Bai, and Zhiyu Song. 2024. "Experimental and Numerical Investigations on the Slate Shearing Mechanical Behavior" Applied Sciences 14, no. 19: 9104. https://doi.org/10.3390/app14199104
APA StyleGu, J., Huang, M., Ren, F., Zhu, C., Cheng, Z., Bai, Z., & Song, Z. (2024). Experimental and Numerical Investigations on the Slate Shearing Mechanical Behavior. Applied Sciences, 14(19), 9104. https://doi.org/10.3390/app14199104
