Comparative Study of Temperature and Pressure Variation Patterns in Hydrogen and Natural Gas Storage in Salt Cavern
Abstract
1. Introduction
2. Integrated Flow and Heat Transfer Model for Cavity and Wellbore
2.1. Model Assumptions
- (1)
- The hydrogen gas within the wellbore and cavity exhibits one-dimensional steady-state flow, with temperature, pressure, and velocity uniformly distributed across any cross-section.
- (2)
- The geothermal gradient remains constant, and the thermal conductivity of the formation does not vary with depth.
- (3)
- The heat transfer modes within both the wellbore and cavity are in a steady state, adhering to the dimensionless time function as defined by Ramey.
- (4)
- The contact thermal resistance between structural material interfaces is neglected, and radiative heat transfer effects are disregarded.
2.2. The Thermal Transfer Model for Wellbore Flow
2.3. Turbulent Heat Transfer Model in Cavities
3. Numerical Simulation Computation
3.1. Engineering Background and Geometric Model
3.2. Parameter Configuration
3.3. Software Settings and Boundary Conditions
3.4. Simulation of Working Conditions
4. Results and Discussion
4.1. Simulation Results of Natural Gas Storage
4.2. Comparison of Natural Gas and Hydrogen
4.2.1. Comparison of the Thermodynamic Properties of Gasses in Cavity
4.2.2. Comparison of the Thermodynamic Properties of Gasses in Wellbores
4.2.3. Surrounding Rock Temperatures at Varying Distances from the Cavity
4.2.4. Temperature Variations in Surrounding Rock at Different Burial Depth
4.2.5. Thermal Conductivity of Surrounding Rock
4.2.6. Thermal Capacity of Surrounding Rock
4.2.7. Coefficient of Thermal Expansion
5. Conclusions
- (1)
- A unified flow and heat transfer model is established for gas injection and extraction process. This model innovatively incorporates the convective heat transfer of hydrogen or natural gas in the wellbore, radial heat transfer, the temperature–pressure coupling effects within the cavity, and the turbulent heat transfer effects within the cavity.
- (2)
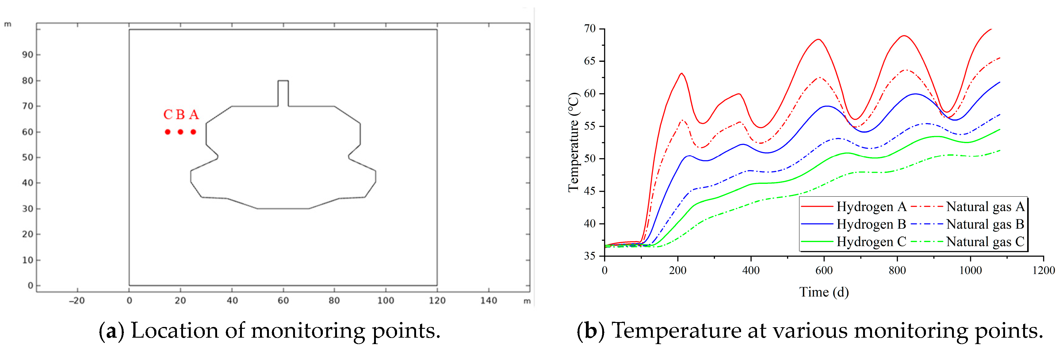
- The temperature and pressure parameters of hydrogen and natural gas within the chamber and wellbore were compared. Under identical injection and withdrawal conditions, the temperature of hydrogen in the chamber was 10 °C higher than that of natural gas, and 16 °C higher in the wellbore. The pressure of hydrogen in the chamber was 2.9 MPa greater than that of natural gas, and 2.6 MPa higher in the wellbore.
- (3)
- A comparative analysis was conducted on the impact of surrounding rock’s horizontal and numerical distance on temperature during hydrogen and natural gas injection processes. As the distance from the cavity increases, from 5 to 15 m, the temperature fluctuation in the surrounding rock diminishes progressively, with the temperature effect in the hydrogen storage chamber extending at least 10 m.
- (4)
- The influence of rock thermal conductivity parameters on temperature during the processes of hydrogen injection and natural gas extraction is compared. The better the thermal conductivity, the deeper the thermal effects penetrate the rock layers, with the specific heat capacity having the most significant impact.
Author Contributions
Funding
Institutional Review Board Statement
Informed Consent Statement
Data Availability Statement
Conflicts of Interest
References
- Thiyagarajan, S.R.; Emadi, H.; Hussain, A.; Patange, P.; Watson, M. A comprehensive review of the mechanisms and efficiency of underground hydrogen storage. J. Energy Storage 2022, 51, 104490. [Google Scholar] [CrossRef]
- Tarkowaki, R.; Uliasz-Misiak, B. Towards underground hydrogen storage: A review of barriers. Renew. Sustain. Energy Rev. 2022, 162, 112451. [Google Scholar] [CrossRef]
- Muhammed, N.S.; Haq, B.; Al Shehri, D.; Al-Ahmed, A.; Rahman, M.M.; Zaman, E. A review on underground hydrogen storage: Insight into geological sites, influencing factors and future outlook. Energy Rep. 2022, 8, 461–499. [Google Scholar] [CrossRef]
- Tarkowaki, R. Underground hydrogen storage: Characteristics and prospects. Renew. Sustain. Energy Rev. 2019, 105, 86–94. [Google Scholar] [CrossRef]
- Bachand, A.; Doyon, B.; Raymond, J. Thermo-physical numerical model for hydrogen storage in underground tanks and caverns. Int. J. Hydrog. Energy 2024, 66, 66–80. [Google Scholar] [CrossRef]
- Carro, A.; Carneiro, J.; Ortiz, C.; Behnous, D.; Becerra, J.; Chacartegui, R. Assessment of carbon dioxide transcritical cycles for electrothermal energy storage with geological storage in salt cavities. Appl. Therm. Eng. 2024, 255, 124028. [Google Scholar] [CrossRef]
- Song, R.; Song, Y.; Liu, J.; Yang, C. Multiscale experimental and numerical study on hydrogen diffusivity in salt rocks and interlayers of salt cavern hydrogen storage. Int. J. Hydrog. Energy 2024, 79, 319–334. [Google Scholar] [CrossRef]
- Zhao, T.; He, Y.; Deng, J. Effect of geothermal heat transfer on performance of the adiabatic compressed air energy storage systems with the salt cavern gas storage. Appl. Therm. Eng. 2024, 249, 123386. [Google Scholar] [CrossRef]
- Wang, J.; Wang, Z.; Zeng, Q.; Wang, J.; Li, B. Modeling and Parameter Optimization of Multi-Step Horizontal Salt Cavern Considering Heat Transfer for Energy Storage. Appl. Sci. 2024, 14, 6433. [Google Scholar] [CrossRef]
- Xie, D.; Wang, T.; Li, L.; Guo, K.; Ben, J.; Wang, D.; Chai, G. Modeling debrining of an energy storage salt cavern considering the effects of temperature. Energy 2023, 282, 128845. [Google Scholar] [CrossRef]
- Li, P.; Kang, H.; Zhu, Q.; Wu, Y.; Zhang, J.; Fan, L.; Wang, Z. Numerical and experimental investigations of concrete lined compressed air energy storage system. J. Clean. Prod. 2023, 390, 136153. [Google Scholar] [CrossRef]
- Kushnir, R.; Dayan, A.; Ullmann, A. Temperature and pressure variations within compressed air energy storage caverns. Int. J. Heat Mass Transf. 2012, 55, 5616–5630. [Google Scholar] [CrossRef]
- Kushnir, R.; Ullmann, A.; Dayan, A. Thermodynamic and hydrodynamic response of compressed air energy storage reservoirs: A review. Rev. Chem. Eng. 2012, 28, 123–148. [Google Scholar] [CrossRef]
- Xia, C.; Zhou, Y.; Zhou, S.; Zhang, P.; Wang, F. A simplified and unified analytical solution for temperature and pressure variations in compressed air energy storage caverns. Renew. Energy 2015, 74, 718–726. [Google Scholar] [CrossRef]
- Jiang, T.; Cao, D.; Xie, D.; Liao, Y.; He, T.; Wang, D. Preventing clogging of debrining tubing in a gas storage salt cavern during construction. Gas Sci. Eng. 2024, 123, 205227. [Google Scholar] [CrossRef]
- Niu, C.-K.; Tan, Y.-F.; Li, J.-N.; Song, C.-L. Model validation and stability analysis for operation projects in Jintan Salt Cavern for strategic oil storage of China. J. Pet. Sci. Eng. 2015, 127, 44–52. [Google Scholar] [CrossRef]
- Li, W.; Chen, G.; Ding, S.; Zhang, Y. A method for assessing the gas capacity based on thermodynamic state analysis for salt cavern during operation. J. Energy Storage 2022, 50, 104316. [Google Scholar] [CrossRef]
- Li, W.; Miao, X.; Wang, J.; Li, X. Study on thermodynamic behaviour of natural gas and thermo-mechanical response of salt caverns for underground gas storage. Energy 2023, 262, 125601. [Google Scholar] [CrossRef]
- Yan, Z.; Wang, Z.; Wu, F.; Lyu, C. Stability analysis of Pingdingshan pear-shaped multi-mudstone interbedded salt cavern gas storage. J. Energy Storage 2022, 56, 105963. [Google Scholar] [CrossRef]
- Zhang, N.; Liu, X.; Zhang, Y.; Gu, H.; Yan, B.; Jia, Q.; Gao, X. Investigating the Mechanism of Land Subsidence Due to Water Network Integration at the Guangzhou Longgui Salt Mine and Its Impact on Adjacent Subway. Water 2024, 16, 1723. [Google Scholar] [CrossRef]
- Yin, H.; Yang, C.; Ma, H.; Shi, X.; Zhang, N.; Ge, X.; Li, H.; Han, Y. Stability evaluation of underground gas storage salt caverns with micro-leakage interlayer in bedded rock salt of Jintan, China. Acta Geotech. 2020, 15, 549–563. [Google Scholar] [CrossRef]
- Wang, J.; Wang, X.; He, M.; Song, Z.; Feng, S.; Liu, X.; Zhang, Y. Long-term stability analysis and evaluation of horizontal salt cavern gas storage. J. Energy Storage 2023, 66, 107413. [Google Scholar] [CrossRef]
- Wang, X.; Wang, J.; Zhao, P.; Liu, X.; Feng, S.; Song, Z. Study on the long-term airtightness of salt cavern gas storage considering the permeability variation of surrounding rock. Comput. Geotech. 2024, 168, 106130. [Google Scholar] [CrossRef]
- Chen, X.; Xiong, T.; Li, Y. Research on the helium seepage mechanism in the strata surrounding bedded salt cavern helium storage and its tightness evaluation. Geoenergy Sci. Eng. 2024, 238, 212870. [Google Scholar] [CrossRef]
- He, T.; Wang, T.; Yang, X.; Yang, C.; Liao, Y.; Xie, D.; Li, J.; Daemen, J. Leakage path prediction model and gas tightness assessment method for gas storage salt cavern wellbores. Comput. Geotech. 2024, 171, 106397. [Google Scholar] [CrossRef]
- Bérest, P.; Louvet, F. Aspects of the thermodynamic behavior of salt caverns used for gas storage. Oil Gas Sci. Technol.-Rev. D IFP Energ. Nouv. 2020, 75, 57. [Google Scholar] [CrossRef]
- Merey, S. Prediction of pressure and temperature changes in the salt caverns of Tuz Golu underground natural gas storage site while withdrawing or injecting natural gas by numerical simulations. Arab. J. Geosci. 2019, 12, 205. [Google Scholar] [CrossRef]
- Mahmoudi, E.; Khaledi, K.; Miro, S.; König, D.; Schanz, T. Probabilistic Analysis of a Rock Salt Cavern with Application to Energy Storage Systems. Rock Mech. Rock Eng. 2017, 50, 139–157. [Google Scholar] [CrossRef]
- Peng, T.; Wan, J.; Liu, W.; Li, J.; Xia, Y.; Yuan, G.; Liu, H. Choice of hydrogen energy storage in salt caverns and horizontal cavern construction technology. J. Energy Storage 2023, 60, 106489. [Google Scholar] [CrossRef]
- Wang, Z.; Zhang, Y.; Liu, Z.; Li, S.; Qiu, K. Investigation of the effects of hydrogen injection and withdrawal frequency on stability and tightness of the salt cavern based on a novel coupled thermal-hydro-mechanical model. Int. J. Hydrog. Energy 2024, 82, 1238–1251. [Google Scholar] [CrossRef]
- Tarkowski, R.; Lankof, L.; Luboń, K.; Michalski, J. Hydrogen storage capacity of salt caverns and deep aquifers versus demand for hydrogen storage: A case study of Poland. Appl. Energy 2024, 355, 122268. [Google Scholar] [CrossRef]
- Masoudi, M.; Hassanpouryouzband, A.; Hellevang, H.; Haszeldine, R.S. Lined rock caverns: A hydrogen storage solution. J. Energy Storage 2024, 84, 110927. [Google Scholar] [CrossRef]
- Derakhshani, R.; Lankof, L.; GhasemiNejad, A.; Zarasvandi, A.; Zarin, M.M.A.; Zaresefat, M. A Novel Sustainable Approach for Site Selection of Underground Hydrogen Storage in Poland Using Deep Learning. Energies 2024, 17, 3677. [Google Scholar] [CrossRef]
- Naderi, H.; Hekmatnejad, A.; Aftab, A.; Sarmadivaleh, M.; Pena, A. Integrating 1D and 3D geomechanical modeling to ensure safe hydrogen storage in bedded salt caverns: A comprehensive case study in canning salt, Western Australia. Int. J. Hydrog. Energy 2024, 81, 1073–1090. [Google Scholar] [CrossRef]
- Li, W.; Nan, X.; Chen, J.; Yang, C. Investigation of thermal-mechanical effects on salt cavern during cycling loading. Energy 2021, 232, 120969. [Google Scholar] [CrossRef]














| Parameters | Salt Rock |
|---|---|
| Density (kg/m3) | 2100 |
| Elastic modulus (GPa) | 3.6 |
| Bulk modulus (GPa) | 2.75 |
| Poisson’s ratio | 0.282 |
| Initial permeability (m2) | 5.47 × 10−21 |
| Initial porosity | 0.01 |
| Biot’s coefficient | 0.12 |
| Cohesion (MPa) | 3.69 |
| Internal friction angle (°) | 38.76 |
| Parameters | Hydrogen | Methane |
|---|---|---|
| Molar mass (g/mol) | 2.016 | 16.043 |
| Density (kg/m3) | 0.0838 | 0.6512 |
| Diffusion coefficient (cm2/s) | 0.61 | 0.16 |
| Heat value per mass (MJ/kg) | 119.93 | 50.2 |
| Inversion temperature (K) | 202 | 968 |
Disclaimer/Publisher’s Note: The statements, opinions and data contained in all publications are solely those of the individual author(s) and contributor(s) and not of MDPI and/or the editor(s). MDPI and/or the editor(s) disclaim responsibility for any injury to people or property resulting from any ideas, methods, instructions or products referred to in the content. |
© 2024 by the authors. Licensee MDPI, Basel, Switzerland. This article is an open access article distributed under the terms and conditions of the Creative Commons Attribution (CC BY) license (https://creativecommons.org/licenses/by/4.0/).
Share and Cite
Liu, Z.; Liu, Y.; Wang, Z. Comparative Study of Temperature and Pressure Variation Patterns in Hydrogen and Natural Gas Storage in Salt Cavern. Appl. Sci. 2024, 14, 9005. https://doi.org/10.3390/app14199005
Liu Z, Liu Y, Wang Z. Comparative Study of Temperature and Pressure Variation Patterns in Hydrogen and Natural Gas Storage in Salt Cavern. Applied Sciences. 2024; 14(19):9005. https://doi.org/10.3390/app14199005
Chicago/Turabian StyleLiu, Zhongzhong, Yuxuan Liu, and Zonghao Wang. 2024. "Comparative Study of Temperature and Pressure Variation Patterns in Hydrogen and Natural Gas Storage in Salt Cavern" Applied Sciences 14, no. 19: 9005. https://doi.org/10.3390/app14199005
APA StyleLiu, Z., Liu, Y., & Wang, Z. (2024). Comparative Study of Temperature and Pressure Variation Patterns in Hydrogen and Natural Gas Storage in Salt Cavern. Applied Sciences, 14(19), 9005. https://doi.org/10.3390/app14199005
