Comparative Analysis of the Health Status of Heart Transplant Patients with Different Levels of Physical Activity
Abstract
1. Introduction
2. Material and Methods
2.1. Design
2.2. Participants
2.3. Protocol
2.4. Outcomes
- Cardiovascular condition assessment. It was determined by the measurements of the systolic and diastolic blood pressure [SBP and DBP], the basal heart rate [HR], and the 2 Min Step Test [2MST] [13]. The SBP and DBP were measured after 5 min in the seated position using an automatic blood pressure monitor (Omron HEM-7130, Kyoto, Japan). The basal HR was determined after 5 min in the supine position [14]. The HR was recorded using a HR monitor (Polar S810, OY, Oulu, Finland) with a chest strap. The 2MST assesses the individual’s gait in place as fast as possible for 2 min while lifting the knees to a height midway between their patella and iliac crest when standing. Performance on the test is defined as the number of right-side steps of the criterion height completed in 2 min. Two trials are carried out and the best of them is registered [13].
- Neuromuscular condition assessment. It was determined by the measurements of the dominant and non-dominant hand grip strength, the Arm Curl Test (ACT) [13], and the 30-Second Chair Stand Test (30SCST) [15]. The grip strength was measured three times with each hand and the mean value of the three trials was used for analysis. Measurements were taken with a digital and adjustable hand dynamometer (JAMAR smart, Jamar, Lafayette, United States) according to a standard protocol. The overall maximum grip strength was recorded to the nearest 1 kg [16]. The goal of the ACT is to assess the participant’s upper body strength within a specified time frame. Performance on the test is defined as the number of curls that participants can express in 30 s. Two trials were conducted, and the result recorded is the best performance from either trial [13]. The primary objective of the 30SCST is to evaluate the participant’s lower body strength and endurance. Performance on the test is defined as the number of times participants successfully rise to a full standing position and sit back down within the 30 s timeframe. Only one trial was performed [15].
- Basic blood analysis: It included the levels of glucose, creatine, uric acid, total cholesterol, high-density lipoproteins (HDL), low-density lipoproteins (LDL), triglycerides, total proteins, albumin, and N-terminal pro-B type Natriuretic peptide pro-hormonal (NT Pro-BNP) (only for HTR since this is a heart damage marker).
- Functional mobility condition assessment: It was evaluated with the Sit and Reach Test (SRT) [17], the Back Scratch Test (BST) [13], the Functional Balance Test [18], the Timed up and Go Test (TUG) [19], and the 10-Meter Walk Test (10MWT) [20]. The SRT assesses the participant’s flexibility of the lower back and hamstring muscles. The performance is defined by measuring the distance reached from the fingertips to the edge of the box, with the best distance recorded after three trials. Three trials were carried out and the longest distance reached was recorded [17]. The BST assesses shoulder and upper body flexibility. The performance is defined by measuring the distance between the fingertips, with a zero score if they touch, a negative score if they do not, and a positive score if they overlap. The test was conducted twice on the participant’s preferred side, and the best of the two trials was recorded [13]. The FBT evaluates the patient’s ability to maintain balance and reach forward. During the test, the patient stands near a wall, positioning the arm closest to the wall at a 90° angle with a fist. The initial position of the third metacarpal head is recorded, and the patient is instructed to reach forward as far as possible without stepping. The final position of the third metacarpal is then recorded, and the test result is determined by the difference between the initial and final positions, representing the patient’s reach distance. Three repetitions were conducted, and the average of the last two was noted for assessment [18]. The TUG is carried out when the participant is sitting on a chair and asked to get up from the chair and walk as quickly as possible to a mark three meters away, then walk around the mark and return to the chair to sit down again. Three attempts were made, counting the average of these [19]. The 10MWT demands that the patient walks 10 m as fast as he/she can. The test is carried out three times and the average datum of them is recorded [20].
2.5. Statistical Analysis
3. Results
4. Discussion
5. Conclusions
Author Contributions
Funding
Institutional Review Board Statement
Informed Consent Statement
Data Availability Statement
Conflicts of Interest
References
- Severino, P.; Mather, P.J.; Pucci, M.; D’Amato, A.; Mariani, M.V.; Infusino, F.; Birtolo, L.I.; Maestrini, V.; Mancone, M.; Fedele, F. Advanced heart failure and end-stage heart failure: Does a difference exist. Diagnostics 2019, 9, 170. [Google Scholar] [CrossRef] [PubMed]
- Crespo-Leiro, M.G.; Metra, M.; Lund, L.H.; Milicic, D.; Costanzo, M.R.; Filippatos, G.; Gustafsson, F.; Tsui, S.; Barge-Caballero, E.; de Jonge, N.; et al. Advanced heart failure: A position statement of the Heart Failure Association of the European Society of Cardiology. Eur. J. Heart Fail. 2018, 20, 1505–1535. [Google Scholar] [CrossRef] [PubMed]
- Sánchez-Enrique, C.; Jorde, U.P.; González-Costello, J. Heart Transplant and Mechanical Circulatory Support in Patients with Advanced Heart Failure. Rev. Esp. Cardiol. 2017, 70, 371–381. [Google Scholar] [CrossRef]
- Squires, R.W.; Bonikowske, A.R. Cardiac rehabilitation for heart transplant patients: Considerations for exercise training. Prog. Cardiovasc. Dis. 2022, 70, 40–48. [Google Scholar] [CrossRef] [PubMed]
- Bernardi, L.; Radaelli, A.; Passino, C.; Falcone, C.; Auguadro, C.; Martinelli, L.; Rinaldi, M.; Viganò, M.; Finardi, G. Effects of physical training on cardiovascular control after heart transplantation. Int. J. Cardiol. 2007, 118, 356–362. [Google Scholar] [CrossRef] [PubMed]
- Nóbilo Pascoalino, L.; Gomes Ciolac, E.; Tavares, A.C.; Ertner Castro, R.; Moreira Ayub-Ferreira, S.; Bacal, F.; Sarli Issa, V.; Alcides Bocchi, E.; Veiga Guimarães, G. Exercise training improves ambulatory blood pressure but not arterial stiffness in heart transplant recipients. J. Heart Lung Transplant. 2015, 34, 693–700. [Google Scholar] [CrossRef]
- Yardley, M.; Gullestad, L.; Bendz, B.; Bjørkelund, E.; Rolid, K.; Arora, S.; Nytrøen, K. Long-term effects of high-intensity interval training in heart transplant recipients: A 5-year follow-up study of a randomized controlled trial. Clin. Transplant. 2017, 31, e12868. [Google Scholar] [CrossRef]
- Yardley, M.; Gullestad, L.; Nytrøen, K. Importance of physical capacity and the effects of exercise in heart transplant recipients. World, J. Transplant. 2018, 8, 1–12. [Google Scholar] [CrossRef] [PubMed]
- Schmidt, T.; Bjarnason-Wehrens, B.; Predel, H.G.; Reiss, N. Exercise after Heart Transplantation: Typical Alterations, Diagnostics and Interventions. Int. J. Sports Med. 2020, 42, 103–111. [Google Scholar] [CrossRef]
- Cohen, J. Statistical Power Analysis for the Behavioral Sciences; Lawrence Erlbaum Associates: Mahwah, NJ, USA, 1988; pp. 8–14. [Google Scholar]
- Craig, C.L.; Marshall, A.L.; Sjöström, M.; Bauman, A.E.; Booth, M.L.; Ainsworth, B.E.; Pratt, M.; Ekelund, U.L.; Yngve, A.; Sallis, J.F.; et al. International physical activity questionnaire: 12-country reliability and validity. Med. Sci. Sports Exerc. 2003, 35, 1381–1395. [Google Scholar] [CrossRef]
- Roman-Viñas, B.; Serra-Majem, L.; Hagströmer, M.; Ribas-Barba, L.; Sjöström, M.; Segura-Cardona, R. International physical activity questionnaire: Reliability and validity in a Spanish population. Eur. J. Sport Sci. 2010, 10, 297–304. [Google Scholar] [CrossRef]
- Rikli, R.E.; Jones, C.J. Functional fitness normative scores for community residing older adults ages 60-94. J. Aging Phys. Act. 1999, 7, 160–179. [Google Scholar] [CrossRef]
- Gibson, A.L.; Wagner, D.; Heyward, V. Advanced Fitness Assessment and Exercise Prescription, 8th ed.; Human Kinetics: Champaign, IL, USA, 2018. [Google Scholar]
- Jones, C.J.; Rikli, R.E.; Beam, W.C. A 30-s chair-stand test as a measure of lower body strength in community-residing older adults. Res. Q. Exerc. Sport 1999, 70, 113–119. [Google Scholar] [CrossRef] [PubMed]
- Roberts, H.C.; Denison, H.J.; Martin, H.J.; Patel, H.P.; Syddall, H.; Cooper, C.; Sayer, A.A. A review of the measurement of grip strength in clinical and epidemiological studies: Towards a standardised approach. Age Ageing 2011, 40, 423–429. [Google Scholar] [CrossRef]
- Wells, K.F.; Dillon, E.K. The Sit and Reach—A Test of Back and Leg Flexibility. Res. Q. 1952, 23, 115–118. [Google Scholar] [CrossRef]
- Duncan, P.W.; Weiner, D.K.; Chandler, J.; Studenski, S. Functional reach: A new clinical measure of balance. J. Gerontol. 1990, 45, M192–M197. [Google Scholar] [CrossRef]
- Podsiadlo, D.; Richardson, S. The timed “Up & Go”: A test of basic functional mobility for frail elderly persons. J. Am. Geriatr. Soc. 1991, 39, 142–148. [Google Scholar]
- Lang, J.T.; Kassan, T.O.; Devaney, L.L.; Colon-Semenza, C.; Joseph, M.F. Test-Retest Reliability and Minimal Detectable Change for the 10-Meter Walk Test in Older Adults with Parkinson’s disease. J. Geriatr. Phys. Ther. 2016, 39, 165–170. [Google Scholar] [CrossRef]
- Ware, J.E., Jr. SF-36 Health Survey. In The Use of Psychological Testing for Treatment Planning and Outcomes Assessment; Maruish, M.E., Ed.; Lawrence Erlbaum Associates Publishers: Mahwah, NJ, USA, 1999. [Google Scholar]
- Vilagut, G.; Ferrer, M.; Rajmil, L.; Rebollo, P.; Permanyer-Miralda, G.; Quintana, J.M.; Santed, R.; Valderas, J.M.; Ribera, A.; Domingo-Salvany, A.; et al. El Cuestionario de Salud SF-36 español: Una década de experiencia y nuevos desarrollos. Gac. Sanit. 2005, 19, 135–150. [Google Scholar] [CrossRef]
- Rosenthal, R. Meta-Analytic Procedures for Social Research; Sage: Newbury Park, CA, USA, 1991. [Google Scholar]
- Rengo, G.; Pagano, G.; Parisi, V.; Femminella, G.D.; de Lucia, C.; Liccardo, D.; Cannavo, A.; Zincarelli, C.; Komici, K.; Paolillo, S.; et al. Changes of plasma norepinephrine and serum N-terminal pro-brain natriuretic peptide after exercise training predict survival in patients with heart failure. Int. J. Cardiol. 2014, 171, 384–389. [Google Scholar] [CrossRef]
- Stehlik, J.; Edwards, L.B.; Kucheryavaya, A.Y.; Benden, C.; Christie, J.D.; Dipchand, A.I.; Dobbels, F.; Kirk, R.; Rahmel, A.O.; Hertz, M.I. The Registry of the International Society for Heart and Lung Transplantation: 29th official adult heart transplant report-2012. J. Heart Lung Transplant. 2012, 31, 1052–1064. [Google Scholar] [CrossRef] [PubMed]
- Alphonsus, C.S.; Govender, P.; Rodseth, R.N.; Biccard, B.M. The role of cardiac rehabilitation using exercise to decrease natriuretic peptide levels in non-surgical patients: A systematic review. Perioper. Med. 2019, 8, 14. [Google Scholar] [CrossRef] [PubMed]
- Hermann, T.S.; Dall, C.H.; Christensen, S.B.; Goetze, J.P.; Prescott, E.; Gustafsson, F. Effect of high intensity exercise on peak oxygen uptake and endothelial function in long-term heart transplant recipients. Am. J. Transplant. 2011, 11, 536–541. [Google Scholar] [CrossRef] [PubMed]
- Wachter, S.B.; McCandless, S.P.; Gilbert, E.M.; Stoddard, G.J.; Kfoury, A.G.; Reid, B.B.; McKellar, S.H.; Nativi-Nicolau, J.; Saidi, A.; Barney, J.; et al. Elevated resting heart rate in heart transplant recipients: Innocent bystander or adverse prognostic indicator? Clin. Transplant. 2015, 29, 829–834. [Google Scholar] [CrossRef]
- Sánchez, S.H.; Carrero, J.J.; López, D.G.; Alonso, J.A.H.; Alegre, H.M.; Ruiz, J.R. Fitness and quality of life in kidney transplant recipients: Case-control study. Med. Clin. (Engl. Ed.) 2016, 146, 335–338. [Google Scholar]
- Cesari, M.; Kritchevsky, S.B.; Newman, A.B.; Simonsick, E.M.; Harris, T.B.; Penninx, B.W.; Brach, J.S.; Tylavsky, F.A.; Satterfield, S.; Bauer, D.C.; et al. Health, Aging and Body Composition Study. Added value of physical performance measures in predicting adverse health-related events. J. Am. Geriatr. Soc. 2009, 57, 251–259. [Google Scholar] [CrossRef]
- Cesari, M.; Kritchevsky, S.B.; Penninx, B.W.H.J.; Nicklas, B.J.; Simonsick, E.M.; Newman, A.B.; Tylavsky, F.A.; Brach, J.S.; Satterfield, S.; Bauer, D.C.; et al. Prognostic value of usual gait speed in well-functioning older people–results from the Health, Aging and Body Composition Study. J. Am. Geriatr. Soc. 2005, 53, 1675–1680. [Google Scholar] [CrossRef]
- Ostir, G.V.; Berges, I.; Kuo, Y.F.; Goodwin, J.S.; Ottenbacher, K.J.; Guralnik, J.M. Assessing gait speed in acutely ill older patients admitted to an acute care for elders hospital unit. Arch. Intern. Med. 2012, 172, 353–358. [Google Scholar] [CrossRef]
- Studenski, S.; Perera, S.; Patel, K.; Rosano, C.; Faulkner, K.; Inzitari, M.; Brach, J.; Chandler, J.; Cawthon, P.; Connor, E.B.; et al. Gait speed and survival in older adults. JAMA 2011, 305, 50–58. [Google Scholar] [CrossRef]



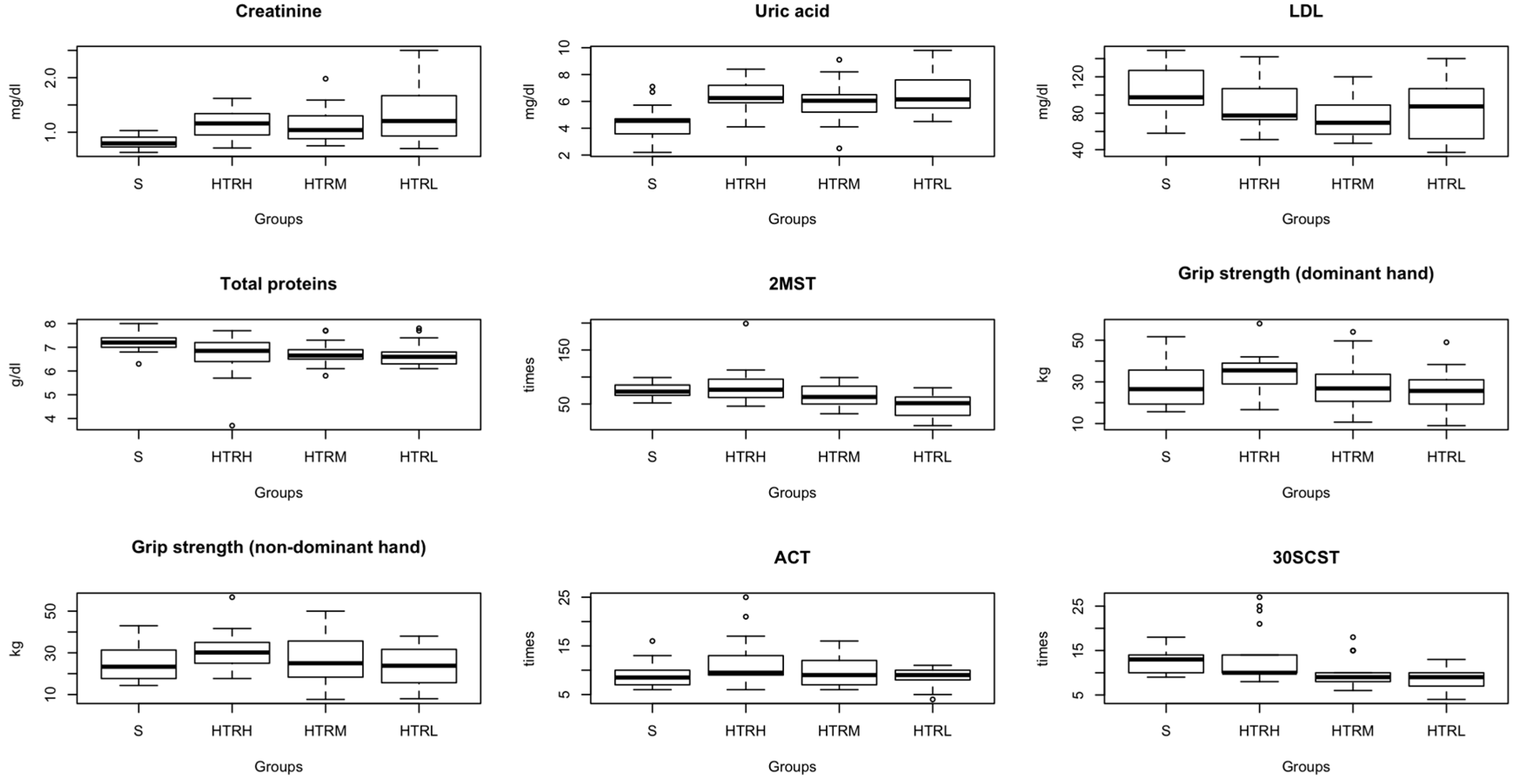
| Characteristics | S (n = 18) | HTRH (n = 18) | HTRM (n = 18) | HTRL (n = 18) | p-Value | 
|---|---|---|---|---|---|
| Sex (men/women) | 7/11 | 17/1 | 13/5 | 14/4 | 0.003 * | 
| Age (years) | 56.3 ± 12 | 54.2 ± 11.5 | 61.1 ± 14.5 | 67 ± 9 | 0.003 $ | 
| Weight (kg) | 70 ± 14 | 74.1 ± 12.4 | 79 ± 27.5 | 72 ± 15 | 0.653 $ | 
| Height (cm) | 161.1 ± 22 | 170.4 ± 6.5 | 161.5 ± 24.2 | 167 ± 10.5 | 0.291 $ | 
| BMI (kg/m2) | 25.2 ± 5 | 25.5 ± 3.4 | 26 ± 4 | 26 ± 4.5 | 0.943 & | 
| Reason for transplant | - | 4 HM/2 IM/8 DM/4 OR | 1 HM/4 IM/6 DM/7 OR | 3 HM/7 IM/5 DM/3 OR | - | 
| Outcomes | S (n = 18) | HTRH (n = 18) | HTRM (n = 18) | HTRL (n = 18) | p-Value | Effect Size (f/r) | 
|---|---|---|---|---|---|---|
| SBP (mmHg) | 133.3 ± 18 | 133.9 ± 18.1 | 132.4 ± 18.1 | 126.11 ± 15.1 | 0.645 | - | 
| DBP (mmHg) | 75 ± 10 | 81.2 ± 10 | 81.3 ± 9.2 | 77.2 ± 10.1 | 0.060 | - | 
| Basal HR (bpm) | 79 ± 11.7 | 87 ± 12 | 86 ± 18.5 | 87 ± 14 | 0.553 | - | 
| 2MST (times) | 75.4 ± 15 | 85 ± 35 | 65.3 ± 19.3 | 45 ± 21.2 | 0.000 | S vs. HTRM; r = 0.30 S vs. HTRL; r = 0.70 HTRH vs. HTRM; r = 0.30 HTRH vs. HTRL; r = 0.70 HTRM vs. HTRL; r = 0.40 | 
| Grip strength (dominant hand) (kg) | 29 ± 11.1 | 34.1 ± 9.1 | 29 ± 12.1 | 26.1 ± 9.3 | 0.025 | S vs. HTRH; r = 0.30 HTRH vs. HTRM; r = 0.30 HTRH vs. HTRL; r = 0.40 | 
| Grip strength (non-dominant hand) (kg) | 26 ± 10 | 31 ± 9 | 28 ± 12.1 | 24.3 ± 8.2 | 0.051 | S vs. HTRH; r = 0.30 HTRH vs. HTRL; r = 0.30 | 
| ACT (times) | 9.2 ± 2.5 | 12 ± 5.1 | 9.4 ± 3 | 8.5 ± 2 | 0.246 | HTRH vs. HTRL; r = 0.32 | 
| 30SCST (times) | 13 ± 3 | 14 ± 6.2 | 10.1 ± 3.3 | 9 ± 2.5 | 0.000 | S vs. HTRM; r = 0.50 S vs. HTRL; r = 0.60 HTRH vs. HTRM; r = 0.40 HTRH vs. HTRL; r = 0.50 | 
| Glucose (mg/dL) | 94 ± 14 | 94 ± 10.3 | 102 ± 21.5 | 94 ± 30.2 | 0.816 | - | 
| Creatinine (mg/dL) | 0.81 ± 0.1 | 1.1 ± 0.3 | 1.1 ± 0.3 | 1.4 ± 0.5 | 0.000 | S vs. HTRH; r = 0.61 S vs. HTRM; r = 0.57 S vs. HTRL; r = 0.65 | 
| Uric acid (mg/dL) | 4.5 ± 1.2 | 6.4 ± 1.2 | 5.9 ± 1.2 | 6.7 ± 1.5 | 0.000 | S vs. HTRH; f = 1.70 S vs. HTRM; f = 0.90 S vs. HTRL; f = 1.30 | 
| Total cholesterol (mg/dL) | 179 ± 35 | 161 ± 32.4 | 165.1 ± 28 | 173 ± 46 | 0.331 | - | 
| HDL (mg/dL) | 60.4 ± 15 | 56 ± 16.4 | 67.3 ± 19.4 | 58 ± 25.1 | 0.388 | - | 
| LDL (mg/dL) | 105± 24.5 | 86.3 ± 24.5 | 74 ± 22 | 81 ± 33 | 0.026 | S vs. HTRH; r = 0.41 S vs. HTRM; r = 0.56 S vs. HTRL; r = 0.35 | 
| Triglycerides (mg/dL) | 100 ± 29 | 110 ± 54.1 | 120.4 ± 55 | 136.2 ± 80.4 | 0.490 | - | 
| Total proteins (g/dL) | 7.2 ± 0.4 | 7 ± 1 | 7 ± 0.5 | 7 ± 0.5 | 0.042 | S vs. HTRH; r = 0.33 S vs. HTRM; r = 0.42 S vs. HTRL; r = 0.45 | 
| Albumin (g/dL) | 5 ± 1 | 4.3 ± 0.5 | 4.5 ± 0.4 | 5 ± 2 | 0.740 | - | 
| NT Pro-BNP * (pg/mL) | - | 1434 ± 3125.3 | 765.3 ± 782 | 948.3 ± 1650 | 0.944 | - | 
| SRT (cm) | 12.5 ± 8.1 | 13.3 ± 7.3 | 9.3 ± 7 | 11 ± 7 | 0.491 | - | 
| BST (cm) | 5.1 ± 7.1 | 0.14 ± 10 | −9 ± 17 | −10 ± 21 | 0.004 | S vs. HTRM; r = 0.50 S vs. HTRL; r = 0.40 HTRH vs. HTRM; r = 0.40 HTRH vs. HTRL; r = 0.27 | 
| FBT (cm) | 34 ± 8.2 | 41 ± 8 | 33.2 ± 6.4 | 30 ± 12 | 0.004 | HTRH vs. HTRL; f = 0.9 | 
| TUG (sec) | 7 ± 1.3 | 6.4 ± 2 | 9 ± 2.2 | 11 ± 2.5 | 0.000 | S vs. HTRM; r = 0.66 S vs. HTRL; r = 1.32 HTRH vs. HTRM; r = 0.40 HTRH vs. HTRL; r = 0.22 | 
| 10MWT (sec) | 3 ± 0.5 | 3.2 ± 0.5 | 4 ± 1 | 4.3 ± 2 | 0.000 | S vs. HTRM; f = 1.26 S vs. HTRL; f = 0.80 HTRH vs. HTRL; f = 2.26 | 
| SF—36 M (points) | 51 ± 9.1 | 53 ± 7.9 | 50 ± 10 | 52.4 ± 11.5 | 0.778 | - | 
| SF—36 P (points) | 54 ± 4 | 53.4 ± 5.2 | 50 ± 7.1 | 44.5 ± 10.2 | 0.007 | S vs. HTRL; r = 0.50 HTRH vs. HTRL; r = 0.50 | 
| Disclaimer/Publisher’s Note: The statements, opinions and data contained in all publications are solely those of the individual author(s) and contributor(s) and not of MDPI and/or the editor(s). MDPI and/or the editor(s) disclaim responsibility for any injury to people or property resulting from any ideas, methods, instructions or products referred to in the content. | 
© 2024 by the authors. Licensee MDPI, Basel, Switzerland. This article is an open access article distributed under the terms and conditions of the Creative Commons Attribution (CC BY) license (https://creativecommons.org/licenses/by/4.0/).
Share and Cite
Salas-Reguera, I.; Rodríguez-Barbosa, J.I.; Federolf, P.A.; Santos, L. Comparative Analysis of the Health Status of Heart Transplant Patients with Different Levels of Physical Activity. Appl. Sci. 2024, 14, 8379. https://doi.org/10.3390/app14188379
Salas-Reguera I, Rodríguez-Barbosa JI, Federolf PA, Santos L. Comparative Analysis of the Health Status of Heart Transplant Patients with Different Levels of Physical Activity. Applied Sciences. 2024; 14(18):8379. https://doi.org/10.3390/app14188379
Chicago/Turabian StyleSalas-Reguera, Itziar, José I. Rodríguez-Barbosa, Peter A. Federolf, and Luis Santos. 2024. "Comparative Analysis of the Health Status of Heart Transplant Patients with Different Levels of Physical Activity" Applied Sciences 14, no. 18: 8379. https://doi.org/10.3390/app14188379
APA StyleSalas-Reguera, I., Rodríguez-Barbosa, J. I., Federolf, P. A., & Santos, L. (2024). Comparative Analysis of the Health Status of Heart Transplant Patients with Different Levels of Physical Activity. Applied Sciences, 14(18), 8379. https://doi.org/10.3390/app14188379
 
        




 
       