Application Study of the High-Strain Direct Dynamic Testing Method
Abstract
1. Introduction
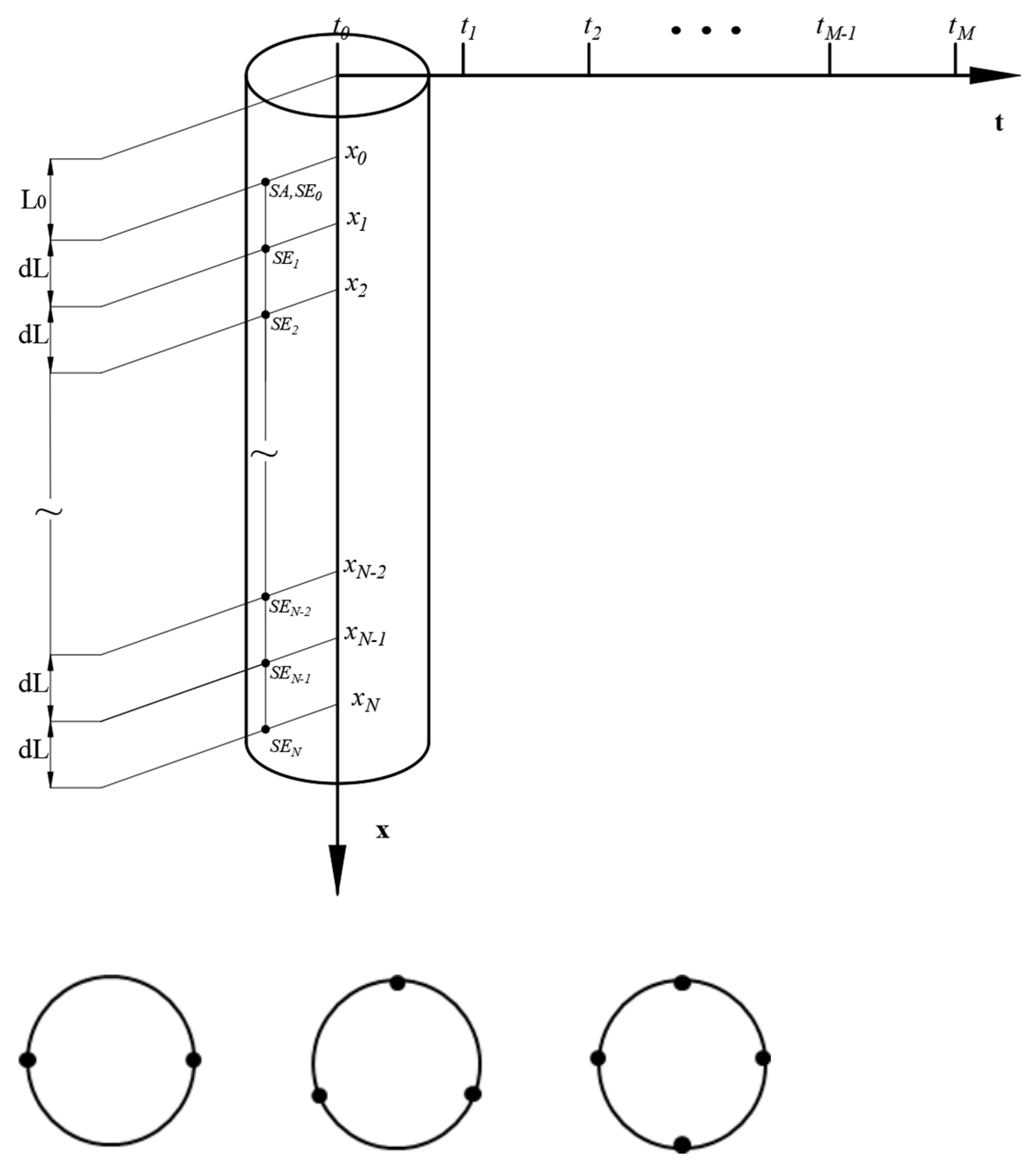
2. Theory of the High-Strain Direct Dynamic Testing Method
2.1. Measuring Instruments
2.2. Basic Assumptions
2.3. Computation Theory
3. High-Strain Direct Dynamic Test and Static Load Test
3.1. Engineering Background and Ground Investigation
3.2. Experimental Setup
3.3. The High-Strain Direct Dynamic Test
3.4. The Static Load Test
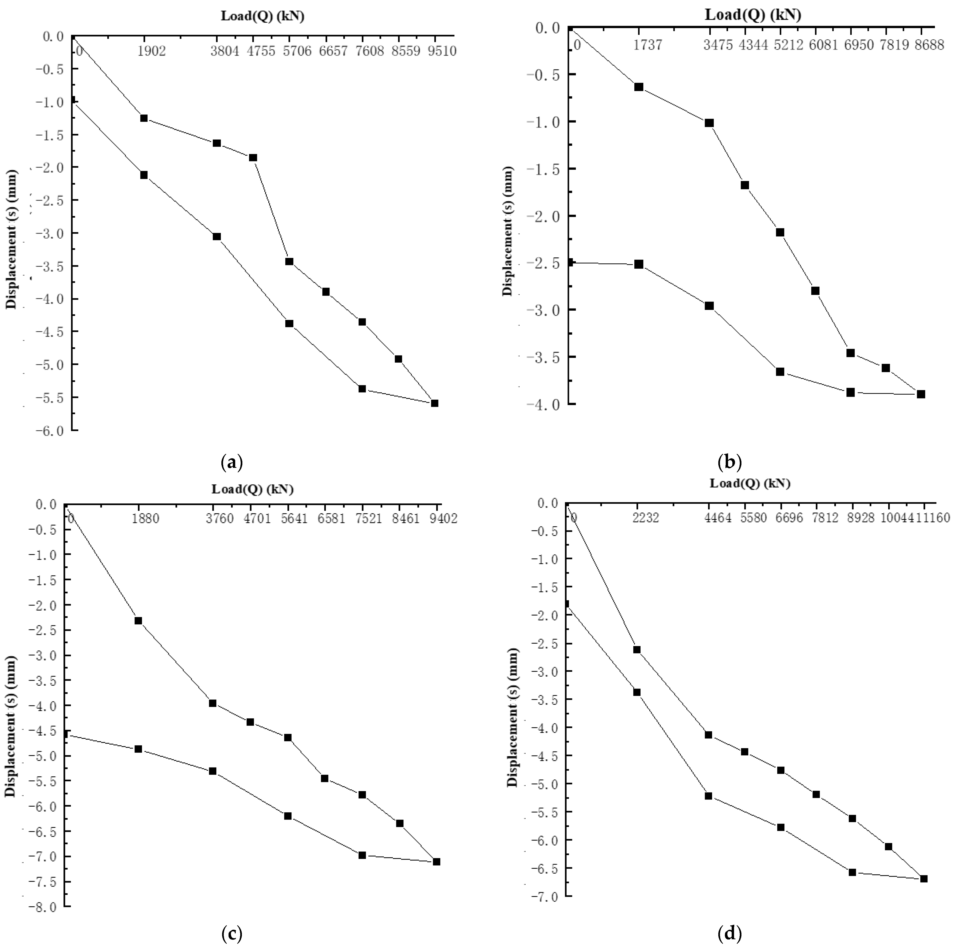
3.5. Comparison between the Results of the Dynamic Load Test and the Static Load Test
- (1)
- Order of Testing: The dynamic load test was conducted before the static load test. Repeated hammering can densify the soil around the pile, potentially leading to an underestimation of the ultimate bearing capacity by the high-strain method and an overestimation by the static load method.
- (2)
- Sensor Placement: The segment of the pile near the bottom includes the side resistance up to the sensor . Therefore, the actual end-bearing resistance is less than the calculated value. For more accurate measurement, strain sensors should be placed closer to the actual pile tip.
- (3)
- Boundary Effects: As observed in Figure 10, some pile segments located at the boundary between soft and hard soil layers exhibit lower ultimate static resistance compared with other segments. This is due to the change in the direction of forces on the pile side at these boundaries. When calculating dynamic resistance using Equation (10), opposing pressure and tension forces can cancel out, leading to lower resistance values. In practice, increasing the number of measurement points, reducing the spacing between them, and deploying a denser array of strain sensors at soil boundaries can enhance prediction accuracy.
4. Conclusions
- The high-strain direct testing method was implemented in a bridge project in Zhuhai, Guangdong Province. The measured bearing capacities of four test piles were 11,415.5 kN, 9733.3 kN, 10,788.4 kN, and 12,851.3 kN, with end resistance ratios of 41.8%, 38.3%, 28.4%, and 31.8%, respectively, consistent with the bearing capacity characteristics of rock-socketed piles at the site. The calculated distributions of side and end soil resistance matched the soil layer distributions under the four arch bases, confirming the feasibility of the high-strain direct testing method in engineering applications.
- A static compression test was conducted on a single pile, and the results were compared with those from the high-strain direct testing method. The error range between the two methods was found to be between −9.5% and 3.7%, demonstrating the reliability of the high-strain direct testing method in predicting the bearing capacity of single piles and identifying the sources of error in its practical application.
Author Contributions
Funding
Institutional Review Board Statement
Informed Consent Statement
Data Availability Statement
Conflicts of Interest
References
- Qiu, H.; Zhou, Y.; Ayasrah, M.M. Impact study of deep foundations construction of inclined and straight combined support piles on adjacent pile foundations. Appl. Sci. 2023, 13, 1810. [Google Scholar] [CrossRef]
- Qiu, H.; Wang, H.; Ayasrah, M.M.; Zhou, Z.; Li, B. Study on horizontal bearing capacity of pile group foundation composed of inclined and straight piles. Buildings 2023, 13, 690. [Google Scholar] [CrossRef]
- Huang, W.; Liu, J.; Wang, H.; Ayasrah, M.M.; Qiu, H.; Wang, Z. Study on dynamic response of inclined pile group foundation under earthquake action. Buildings 2023, 13, 2416. [Google Scholar] [CrossRef]
- Ayasrah, M.; Fattah, M.Y. Finite element analysis of two nearby interfering strip footings embedded in saturated cohesive soils. Civ. Eng. J. 2023, 9, 752–769. [Google Scholar] [CrossRef]
- Issacs, D.V. Reinforced concrete pile formulas. Trans. Inst. Eng. 1993, 12, 305–323. [Google Scholar]
- Smith, E.A.L. Pile driving analysis by the wave equation. American Society of Civil Engineers. ASCE J. Soil Mech. Found. Eng. 1960, 86, 35–61. [Google Scholar] [CrossRef]
- Goble, G.G.; Scanlan, R.H.; Tomko, J.J. Dynamic Studies on the Bearing Capacity of Piles. In Proceedings of the Ohio Highway Engineering Conference Proceedings, Columbus, OH, USA, 2 May 1967. [Google Scholar]
- Goble, G.G.; Rausche, F. Pile load test by impact driving. In Highway Research Record No. 333; Highway Research Board: Washington, DC, USA, 1970. [Google Scholar]
- Goble, G.G.; Moses, F.R.E.D.; Rausche, F.R.A.N.K. Prediction of pile behavior from dynamic measurements. In Design and Installation of Pile Foundations and Cellular Structures; 1970. [Google Scholar]
- Rausche, F. Soil Response from Dynamic Analysis and Measurements on Piles. Ph.D. Thesis, Case Western Reserve University, Cleveland, OH, USA, 1970. [Google Scholar]
- Rausche, F.; Moses, F.; Goble, G.G. Soil Resistance Predictions from Pile Dynamics. J. Soil Mech. Found. Div. 1972, 98, 917–937. [Google Scholar] [CrossRef]
- Goble, G.G.; Likins, G., Jr.; Rausche, F. Rausche Bearing Capacity of Piles from Dynamic Measurements. Ph.D. Thesis, Case Western Reserve University, Cleveland, OH, USA, 1975. [Google Scholar]
- Goble, G.G. The analysis of pile driving-A state-of-the-art. In Proceedings of the International Conference on the Application of Stress-Wave Theory to Piles, Stockholm, Sweden, 4–5 June 1980. [Google Scholar]
- Goble, G.G.; Rausche, F. Wave Equation Analysis of Pile Driving: WEAP Program; Final Rep. No. FHWA/IP-76-14.2; FHWA: Washington, DC, USA, 1976; Volume II. [Google Scholar]
- Rausche, F.G.; Goble, J.G.; Likins, G.E., Jr. Dynamic Determination of Pile Capacity. J. Geotech. Eng. 1985, 111, 367–383. [Google Scholar] [CrossRef]
- Holeyman, A.E. Dynamic non-linear skin friction of piles. In International Symposium on Penetrability and Driveability of Piles; Springer: San Francisco, CA, USA, 1985; Volume 1, pp. 173–176. Available online: https://www.fondytest.com/Alain-Holeyman-s-publications/pdf/1985-SF-Symposium-1.pdf (accessed on 1 July 2024).
- Lee, S.; Chow, Y.; Karunaratne, G.; Wong, K. Rational wave equation model for pile-driving analysis. J. Geotech. Eng. 1988, 114, 306–325. [Google Scholar] [CrossRef]
- Alwalan, M.F.; El Naggar, M.H. Analytical models of impact force-time response generated from high strain dynamic load test on driven and helical piles. Comput. Geotech. 2020, 128, 103834. [Google Scholar] [CrossRef]
- Tu, Y.; El Naggar, M.H.; Wen, M.; Wang, K.; Wu, J. Dynamic analysis model of open-ended pipe piles that considers soil plug slippage. Comput. Geotech. 2023, 158, 105386. [Google Scholar] [CrossRef]
- Deeks, A.J.; Randolph, M.F. A simple model for inelastic footing response to transient loading. Int. J. Numer. Anal. Methods GeoMech. 1995, 19, 307–329. [Google Scholar] [CrossRef]
- Rausche, F.; Beth, R.; Garland, L. Multiple blow CAPWAP analysis of pile dynamic records. In Proceedings of the 5th International Conference on the Application of Stress-Wave Theory to Piles, Orlando, FL, USA, 11–13 September 1996; Volume 1, pp. 435–446. [Google Scholar]
- Guin, J. Advanced Soil-Pile-Structure Interaction and Nonlinear Pile Behavior. Ph.D. Thesis, State University of New York at Buffalo, Buffalo, NY, USA, 1997. [Google Scholar]
- Bruno, D.; Randolph, M.F. Dynamic and static load testing of model piles driven into dense sand. J. Geotech. Geoenviron. Eng. 1999, 125, 988–998. [Google Scholar] [CrossRef]
- Kucukarslan, S. Linear and Nonlinear Soil–Pile–Structure Interaction under Static and Transient Impact Loading. Ph.D. Thesis, State University of New York at Buffalo, Buffalo, NY, USA, 2000. [Google Scholar]
- Savvides, A.A.; Antoniou, A.A.; Papadopoulos, L.; Monia, A.; Kofina, K. An estimation of clayey-oriented rock mass material properties, sited in Koropi, Athens, Greece, through feed-forward neural networks. Geotechnics 2023, 3, 975–988. [Google Scholar] [CrossRef]
- Chen, W.; Sarir, P.; Bui, X.-N.; Nguyen, H.; Tahir, M.M.; Armaghani, D.J. Neuro-genetic, neuro-imperialism and genetic programing models in predicting ultimate bearing capacity of pile. Eng. Comput. 2019, 36, 1101–1115. [Google Scholar] [CrossRef]
- Duan, M.; Xiao, X. Enhancing soil pile-bearing capacity prediction in geotechnical engineering using optimized decision tree fusion. Multiscale Multidiscip. Model. Exp. Des. 2024, 7, 2861–2876. [Google Scholar] [CrossRef]
- Yuan, J.; Zhu, G. Pile wave Analysis Program by Optimization Methods under Large Strain of Soil. Chin. J. Geotech. Eng. 1990, 12, 1–11. [Google Scholar]
- Svinkin, M.R. Some uncertainties in high-strain dynamic pile testing. In Geotechnical Engineering for Transportation Projects; 2004; pp. 705–714. Available online: https://ascelibrary.org/doi/10.1061/40744%28154%2957 (accessed on 1 July 2024).
- Svinkin, M.R. High-strain dynamic pile testing—Problems and pitfalls. J. Perform. Constr. Facil. 2010, 24, 99. [Google Scholar] [CrossRef]
- Verbeek, G.; David, T.; Peter, M. The subjective element in dynamic load testing results. In Proceedings of the IFCEE 2015, San Antonio, TX, USA, 17–21 March 2015; pp. 2577–2583. [Google Scholar]
- Zhu, G.; Zhang, J. A Method and Device for Dynamic Measurement of Foundation Pile Bearing Capacity. Patent CN108589805B, 28 September 2018. [Google Scholar]
- Jiang, W.; Zhu, G.; Zhang, J. A direct high-strain method for the bearing capacity of single piles. Rock Soil Mech. 2020, 41, 3500–3508. [Google Scholar]
- Tu, Y. Pile-Soil Interaction Model and Multi-Point Dynamic Testing Method Along the Pile Under High-Strain Conditions. Ph.D. Thesis, Zhejiang University, Hangzhou, China, 2022. [Google Scholar]
- Du, Y.; Wang, J.; Lin, Y. Analysis and Discussion of Several Issues in Dynamic and Static Contrast Test. Geotechnical Engineering World: Hong Kong, China, 2005. [Google Scholar]
- Tian, K.; Yang, L. Check Measurement for Allowable Pile Bearing Capacity of Bored Piles Combining High Strain Dynamic Test with Static Loading Test. J. Water. Resour. Archit. Eng. 2007, 2, 78–80. [Google Scholar]
- Zhang, X. Contrastive analysis between high-strain dynamic test and static load test for large-diameter cast-in-place piles. Geotech. Investig. Surv. 2016, 44, 75–78. [Google Scholar]
- Liu, C.; Tang, M.; Hu, H.; Chen, H.; Liu, C.; Hou, Z. Comparative study on vertical compressive bearing behavior of PHC pipe piles based on high strain method and static load method. Build. Struct. 2022, 52, 136–140. [Google Scholar]
- DBJT 15-60-2019; Guangdong Provincial Department of Housing and Urban-Rural Development. Code for Testing of Building Foundation, 20 May 2019. Available online: https://www.webfree.net/download/3265 (accessed on 1 July 2024).












| Material | Diameter (m) | Elastic Modulus GPa | Poisson’s Ratio | Bulk Density kN/m3 |
|---|---|---|---|---|
| C30 | 2.2 | 34 | 0.2 | 24 |
| Pile No. | Diameter (mm) | Length (m) | Concrete Strength Grade | Vertical Designed Bearing Capacity of Single Pile (kN) | Vertical Allowable Bearing Capacity of Single Pile (kN) |
|---|---|---|---|---|---|
| 1–5 | 2200 | 34 | C30 | 4755 | ≥9510 |
| 2–7 | 2200 | 42.5 | C30 | 4344 | ≥8688 |
| 3–9 | 2200 | 48 | C30 | 4701 | ≥9402 |
| 4–17 | 2200 | 68 | C30 | 5580 | ≥11,160 |
| Layer | Soil Layer Type | Compression Modulus K (MPa) | Poisson’s Ratio | Bulk Density (kN/m3) | Cohesion (kPa) | Friction Angle (°) | Water Content (%) | Allowable Value of Foundation Bearing Capacity fao (kPa) |
|---|---|---|---|---|---|---|---|---|
| A | Filled soil | 8.19 | 0.31 | 20.3 | - | 23.8 | 18.2 | 75 |
| B | Silt | 1.53 | 0.34 | 15.1 | 2.2 | 1.6 | 75.9 | 40 |
| C | Clay | 2.20 | 0.34 | 16.5 | 7.1 | 6.1 | 52.5 | 60 |
| D | Coarse sand | 10.87 | 0.30 | 20.0 | - | 27.6 | 15.7 | 150 |
| E | Sandy clay | 5.28 | 0.22 | 18.8 | 22.4 | 23.4 | 26.4 | 220 |
| F | Strongly weathered rock | 5.29 | 0.24 | 18.7 | 23.3 | 28.1 | 26.3 | 300 |
| G | Moderately weathered rock | Uniaxial compressive strength value | 650 | |||||
| Pile No. | Maximum Impact Force at Pile Top (kN) | Pile Penetration (mm) | Pile Side Resistance (kN) | Vertical Designed Bearing Capacity of Single Pile (kN) | Vertical Allowable Bearing Capacity of Single Pile (kN) | Vertical Allowable Bearing Capacity of Single Pile (kN) |
|---|---|---|---|---|---|---|
| 1–5 | 12,103.8 | 4.24 | 6637.7 | 4777.8 | 11,415.5 | ≥9510 |
| 2–7 | 10,907.1 | 2.13 | 6001.3 | 3732.0 | 9733.3 | ≥8688 |
| 3–9 | 11,540.5 | 3.44 | 7729.2 | 3059.2 | 10,788.4 | ≥9402 |
| 4–17 | 13,070.5 | 3.36 | 9012.7 | 3838.6 | 12,851.3 | ≥11,160 |
| Number (#) | Length (m) | Dynamic Load Test | Static Load Test | ||
|---|---|---|---|---|---|
| Displacement (mm) | Ultimate Bearing Capacity (kN) | Displacement (mm) | Ultimate Bearing Capacity (KN) | ||
| 1–5 | 34 | 4.24 | 11,415.5 | 5.60 | 11,005.7 (3.7%) |
| 2–7 | 42.5 | 2.13 | 9733.3 | 3.90 | 10,096.0 (−3.6%) |
| 3–9 | 48 | 3.44 | 10,788.4 | 7.12 | 10,946.6 (−1.4%) |
| 4–17 | 68 | 3.36 | 12,851.3 | 6.70 | 14,196.8 (−9.5%) |
Disclaimer/Publisher’s Note: The statements, opinions and data contained in all publications are solely those of the individual author(s) and contributor(s) and not of MDPI and/or the editor(s). MDPI and/or the editor(s) disclaim responsibility for any injury to people or property resulting from any ideas, methods, instructions or products referred to in the content. |
© 2024 by the authors. Licensee MDPI, Basel, Switzerland. This article is an open access article distributed under the terms and conditions of the Creative Commons Attribution (CC BY) license (https://creativecommons.org/licenses/by/4.0/).
Share and Cite
Qiu, H.; He, H.; Ayasrah, M.; Huang, W. Application Study of the High-Strain Direct Dynamic Testing Method. Appl. Sci. 2024, 14, 6714. https://doi.org/10.3390/app14156714
Qiu H, He H, Ayasrah M, Huang W. Application Study of the High-Strain Direct Dynamic Testing Method. Applied Sciences. 2024; 14(15):6714. https://doi.org/10.3390/app14156714
Chicago/Turabian StyleQiu, Hongsheng, Hengli He, Mo’men Ayasrah, and Weihong Huang. 2024. "Application Study of the High-Strain Direct Dynamic Testing Method" Applied Sciences 14, no. 15: 6714. https://doi.org/10.3390/app14156714
APA StyleQiu, H., He, H., Ayasrah, M., & Huang, W. (2024). Application Study of the High-Strain Direct Dynamic Testing Method. Applied Sciences, 14(15), 6714. https://doi.org/10.3390/app14156714

