Simplified Tunnel–Soil Model Based on Thin-Layer Method–Volume Method–Perfectly Matched Layer Method
Abstract
1. Introduction
2. Establishment of Prediction Model
2.1. TLM-PML Method
- (1)
- Fundamental differential equation of TLM
- (2)
- Fundamental solution of 3D foundation soil vibration by TLM
- (3)
- Perfect match layer (PML) is applied to TLM
2.2. Simplified Tunnel Model Using VM
- (1)
- The VM separates the ground–foundation system
- (2)
- Derivation of frequency response function of foundation–subsoil displacement
- (3)
- Analysis model of tunnel–foundation soil dynamic interaction
- Euler–Bernoulli beams in three-dimensional space are used to simulate the tunnel structure. Each node has six degrees of freedom, which encompass the translation in three directions of spatial coordinates and rotation around three coordinate axes.
- The foundation soil is composed of several horizontal thin-layer elements, each of which has the same soil layer properties.
- The foundation soil and tunnel structure are in close contact through the interaction node group with no relative displacement.
3. Field Measurements and Model Verification
3.1. Experimental Outline
3.2. Experimental Results
- (1)
- Under the exciting force of the automatic drop hammer, clear acceleration signals can be collected in the range of 0–80 m on the surface. With the increase in the horizontal distance on the surface, the surface acceleration vibration value also gradually decreases. The peak vertical acceleration on the surface at 0 m is about 0.035 m/s2, that at 30 m is 0.01 m/s2, and that at 80 m is reduced to 0.001 m/s2.
- (2)
- It can be seen from the time history diagram that the maximum vibration acceleration occurs at different locations on the surface at different times. The maximum vibration occurs at about 0.04 s at 0 m on the surface, at about 0.2 s at 30 m on the surface, and at 0.4 s at 80 m on the surface, which also reflects the time difference of vibration propagation in the soil layer.
- (3)
- It can be seen from the spectrum diagram that under the action of the pulse excitation force, a certain amount of energy can be excited at different horizontal distances from the surface between 0 and 100 Hz, of which the energy above 80 Hz is slightly attenuated.
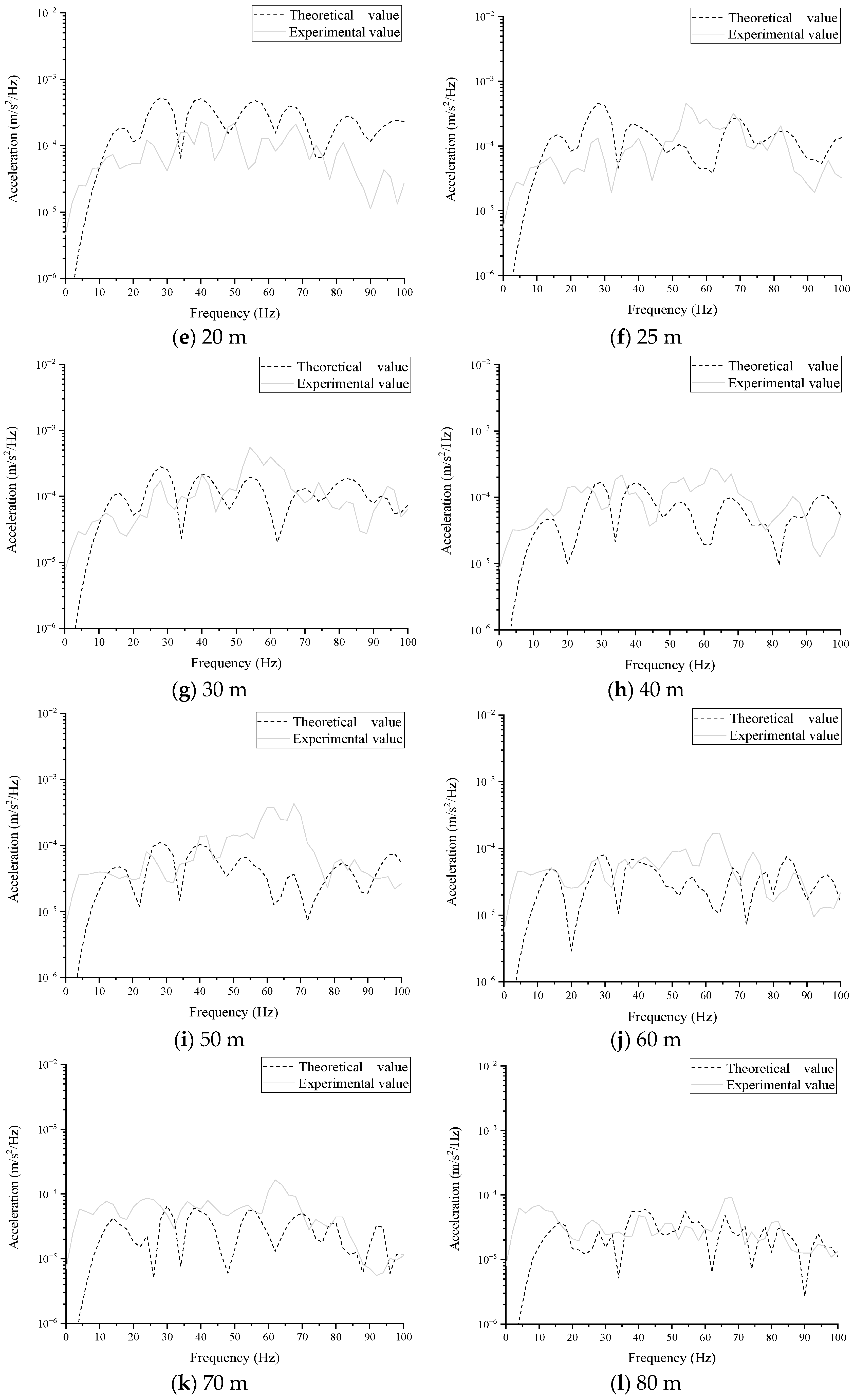
3.3. Model Results and Validation
4. Conclusions
- (1)
- The vibration response decreases gradually with the increase in distance. The maximum vibration acceleration at different locations occurs at different times, reflecting the time difference in vibration propagation in the soil layer under the impact excitation.
- (2)
- The calculated and experimental ground vibrations are in good agreement in most frequency bands at 5, 30, and 80 m. These two vibration responses have slightly different magnitudes at 20, 25, and 30 m. The experimental results are significantly larger than the calculated ones in the frequency band between 40 and 80 Hz.
- (3)
- Considering the differences in soil parameters between the test site and the numerical model, as well as the differences caused by the simplification of the tunnel structures, the above results prove that the proposed method can be used for the analysis of the tunnel–foundation dynamic interaction.
Author Contributions
Funding
Institutional Review Board Statement
Informed Consent Statement
Data Availability Statement
Conflicts of Interest
References
- Ma, M.; Jiang, B.; Liu, W.; Liu, K. Control of Metro Train-Induced Vibrations in a Laboratory Using Periodic Piles. Sustainability 2020, 12, 5871. [Google Scholar] [CrossRef]
- He, L.; Tao, Z. Building Vibration Measurement and Prediction during Train Operations. Buildings 2024, 14, 142. [Google Scholar] [CrossRef]
- Zou, C.; Moore, J.A.; Sanayei, M.; Tao, Z.; Wang, Y. Impedance Model of Train-Induced Vibration Transmission Across a Transfer Structure into an Over Track Building in a Metro Depot. J. Struct. Eng. 2022, 148, 04022187. [Google Scholar] [CrossRef]
- Metrikine, A.V.; Vrouwenvelder, A.C.W.M. Surface ground vibration due to a moving train in a tunnel: Two-dimensional model. J. Sound Vib. 2000, 234, 43–66. [Google Scholar] [CrossRef]
- Kozioł, P.; Mares, C.; Esat, I.I. Wavelet approach to vibratory analysis of surface due to a load moving in the layer. Int. J. Solids Struct. 2008, 45, 2140–2159. [Google Scholar] [CrossRef]
- Forrest, J.A.; Hunt, H.E.M. A three-dimensional tunnel model for calculation of train-induced ground vibration. J. Sound Vib. 2006, 294, 678–705. [Google Scholar] [CrossRef]
- Kuo, K.A.; Hunt, H.E.M.; Hussein, M.F.M. The effect of a twin tunnel on the propagation of ground-borne vibration from an underground railway. J. Sound Vib. 2011, 330, 6203–6222. [Google Scholar] [CrossRef]
- He, C.; Zhou, S.; Guo, P.; Di, H.; Yang, X. A three-dimensional semi-analytical method for calculating vibrations from a moving load on a periodic jointed tunnel. Comput. Geotech. 2019, 114, 103150. [Google Scholar] [CrossRef]
- Edirisinghe, T.L.; Talbot, J.P. The significance of source-receiver interaction in the response of piled foundations to ground-borne vibration from underground railways. J. Sound Vib. 2021, 506, 116178. [Google Scholar] [CrossRef]
- Xu, L.; Ma, M. Dynamic response of the multilayered half-space medium due to the spatially periodic harmonic moving load. Soil Dyn. Earthq. Eng. 2022, 157, 107246. [Google Scholar] [CrossRef]
- Ma, M.; Xu, L.; Liu, W.; Tan, X. Semi-analytical solution of a coupled tunnel-soil periodic model with a track slab under a moving train load. Appl. Math. Model. 2024, 128, 588–608. [Google Scholar] [CrossRef]
- He, C.; Zhou, S.; Di, H.; Guo, P.; Xiao, J. Analytical method for calculation of ground vibration from a tunnel embedded in a multi-layered half-space. Comput. Geotech. 2018, 99, 149–164. [Google Scholar] [CrossRef]
- Yuan, Z.; Boström, A.; Cai, Y.; Cao, Z. Analytical solution for calculating vibrations from twin circular tunnels. Soil Dyn. Earthq. Eng. 2019, 117, 312–327. [Google Scholar] [CrossRef]
- Yuan, Z.; Cao, Z.; Tang, H.; Xu, Y.; Wu, T. Analytical layer element with a circular cavity and its application in predicting ground vibrations from surface and underground moving sources. Comput. Geotech. 2021, 137, 104262. [Google Scholar] [CrossRef]
- Lysmer, J.; Waas, G. Shear Waves in Plane Infinite Structures. J. Eng. Mech. 1972, 98, 85–105. [Google Scholar] [CrossRef]
- Kausel, E. Physical interpretation and stability of paraxial boundary conditions. Bull. Seismol. Soc. Am. 1992, 82, 898–913. [Google Scholar] [CrossRef]
- Park, J. Wave Motion in Finite and Infinite Media Using the Thin-Layer Method. Ph.D. Thesis, Department of Civil and Environmental Engineering, MIT, Cambridge, MA, USA, 2002. [Google Scholar]
- Jones, S.; Hunt, H. Effect of Inclined Soil Layers on Surface Vibration from Underground Railways Using the Thin-Layer Method. J. Eng. Mech. 2011, 137, 887–900. [Google Scholar] [CrossRef]
- Barbosa, J.M.D.O.; Kausel, E. The thin-layer method in a cross-anisotropic 3D space. Int. J. Numer. Meth. Eng. 2012, 89, 537–560. [Google Scholar] [CrossRef]
- Barbosa, J.M.D.O.; Park, J.; Kausel, E. Perfectly matched layers in the thin layer method. Comput. Methods Appl. Mech. Eng. 2012, 217–220, 262–274. [Google Scholar] [CrossRef]
- Zhou, S.; He, C.; Guo, P.; Yu, F. Dynamic response of a segmented tunnel in saturated soil using a 2.5-D FE-BE methodology. Soil Dyn. Earthq. Eng. 2019, 120, 386–397. [Google Scholar] [CrossRef]
- Ma, L.; Zhang, C.; Ouyang, H.; Yan, Q.; Yu, W. 2.5D modelling of wave propagation in longitudinally curved viscoelastic structure using a coupled FEM-PML approach. Eng. Struct. 2021, 226, 111337. [Google Scholar] [CrossRef]
- Colaço, A.; Alves Costa, P.; Amado-Mendes, P.; Calçada, R. Vibrations induced by railway traffic in buildings: Experimental validation of a sub-structuring methodology based on 2.5D FEM-MFS and 3D FEM. Eng. Struct. 2021, 240, 112381. [Google Scholar] [CrossRef]
- Degrande, G.; Clouteau, D.; Othman, R.; Arnst, M.; Chebli, H.; Klein, R.; Chatterjee, P.; Janssens, B. A numerical model for ground-borne vibrations from underground railway traffic based on a periodic finite element–boundary element formulation. J. Sound Vib. 2006, 293, 645–666. [Google Scholar] [CrossRef]
- Xu, L.; Ma, M.; Cao, R.; Tan, X.; Liang, R. Effect of longitudinally varying characteristics of soil on metro train-induced ground vibrations based on wave propagation analysis. Soil Dyn. Earthq. Eng. 2022, 152, 107020. [Google Scholar] [CrossRef]
- Berenger, J. A perfectly matched layer for the absorption of electromagnetic waves. J. Comput. Phys. 1994, 114, 185–200. [Google Scholar] [CrossRef]
- Kausel, E.; Barbosa, J.M.D.O. PMLs: A direct approach. Int. J. Numer. Meth. Eng. 2012, 90, 343–352. [Google Scholar] [CrossRef]





















| Soil Layer | Thickness d/m | Volume Weight γ/(kN/m3) | Dynamic Elastic Modulus Ed/kPa | Shear Wave Velocity vs/(m/s) | Dynamic Poisson Ratio ν | Damping Ratio ξ |
|---|---|---|---|---|---|---|
| 1 | 3 | 16.5 | 1.4 × 105 | 176 | 0.35 | 0.02 |
| 2 | 30 | 20.1 | 3.1 × 105 | 238 | 0.33 | 0.02 |
| 3 | 20.5 | 6.7 × 105 | 353 | 0.29 | 0.02 |
Disclaimer/Publisher’s Note: The statements, opinions and data contained in all publications are solely those of the individual author(s) and contributor(s) and not of MDPI and/or the editor(s). MDPI and/or the editor(s) disclaim responsibility for any injury to people or property resulting from any ideas, methods, instructions or products referred to in the content. |
© 2024 by the authors. Licensee MDPI, Basel, Switzerland. This article is an open access article distributed under the terms and conditions of the Creative Commons Attribution (CC BY) license (https://creativecommons.org/licenses/by/4.0/).
Share and Cite
Wang, Y.; Zhou, M.; Cao, Y.; Wang, X.; Li, Z.; Ma, M. Simplified Tunnel–Soil Model Based on Thin-Layer Method–Volume Method–Perfectly Matched Layer Method. Appl. Sci. 2024, 14, 5692. https://doi.org/10.3390/app14135692
Wang Y, Zhou M, Cao Y, Wang X, Li Z, Ma M. Simplified Tunnel–Soil Model Based on Thin-Layer Method–Volume Method–Perfectly Matched Layer Method. Applied Sciences. 2024; 14(13):5692. https://doi.org/10.3390/app14135692
Chicago/Turabian StyleWang, Yu, Mengfan Zhou, Yanmei Cao, Xiaoxi Wang, Zhe Li, and Meng Ma. 2024. "Simplified Tunnel–Soil Model Based on Thin-Layer Method–Volume Method–Perfectly Matched Layer Method" Applied Sciences 14, no. 13: 5692. https://doi.org/10.3390/app14135692
APA StyleWang, Y., Zhou, M., Cao, Y., Wang, X., Li, Z., & Ma, M. (2024). Simplified Tunnel–Soil Model Based on Thin-Layer Method–Volume Method–Perfectly Matched Layer Method. Applied Sciences, 14(13), 5692. https://doi.org/10.3390/app14135692

