Developing a Platform Using Petri Nets and GPenSIM for Simulation of Multiprocessor Scheduling Algorithms
Abstract
1. Introduction
2. Literature Review on Multiprocessor Scheduling
3. Background
3.1. Process
- Running: this state indicates that the process is actively running on a CPU.
- Ready: here, the process is prepared to run but has not been selected by the scheduler yet.
- Blocked/waiting: in this state, a process has usually undergone some form of I/O operation and is currently blocked or waiting.
- PID: a unique identifier for the job.
- Arrival time: the moment the job was generated.
- Started time: the initial scheduling time of the job.
- Finish time: the completion time of the job.
- Remaining time: the duration remaining for the job.
- Total time: the overall time required for job execution.
- Scheduled: the number of times the job has been scheduled (due to context switching).
- Migrated: the count of times the job has been migrated.
3.2. First Come First Serve
3.3. Shortest Job First
3.4. Round Robin
3.5. Multi-Level Feedback Queue
- Rule 1: select the job with the highest priority.
- Rule 2: in the event of two jobs sharing the same highest priority, execute them round robin.
- Rule 3: assign the highest priority to jobs entering the queue.
- Rule 4: if the allocated time for a job elapses, decrease the job’s priority by one.
- Rule 5: if jobs have been in the queue for a specified period without running, elevate their priority to the highest.
3.6. Completely Fair Scheduler
3.6.1. Red-Black Trees
3.6.2. New Jobs and Sleeping Jobs
3.7. Multiprocessor Scheduling
- Single-queue: when transitioning from a single CPU scheduler to a multi-CPU scheduler, the most basic approach involves sharing a single queue that all processes arrive at. All CPUs use the same scheduling algorithm and fetch jobs accordingly from the queue. While this approach is simple to understand and easy to implement, it has significant drawbacks. The main issue is the need for some form of locking to prevent two CPUs from running the same process. Introducing locking can significantly reduce performance, especially with many CPUs, as each CPU must acquire the lock, find the correct process, and release the lock. This additional overhead is an undesirable property. Another issue with the single-queue approach is cache affinity, as processes might run on a different CPU each time they are scheduled. Figure 2 illustrates how the execution might look using a single-queue setup with four CPUs.
- Multi-queue: an approach that minimizes contention for acquiring locks is using a queue for each CPU in the system. If the number of CPUs is n, there will be n queues. When a job arrives in the system, it is typically placed in the queue with the least number of jobs. Each CPU can schedule the jobs in its local queue without worrying about sharing and synchronization. This approach also helps with cache affinity, as jobs do not jump between different CPUs but stay consistent on the same one. However, this approach has drawbacks, particularly in terms of load balancing. For example, if two CPUs have three jobs in total, where CPU one has one job in its queue while CPU two has two jobs in its queue, then the job in CPU one will run more than the two jobs in the queue for CPU two. Another drawback of the multi-queue approach is the need for redistribution if one CPU is idle while the others have multiple jobs in their queues. Figure 3 illustrates how the execution might look with a multi-queue setup with two CPUs.
4. Petri Nets and GPenSIM
4.1. Petri Nets
Petri Nets: Definition
- P: set of places,
- T: set of transitions, .P ∩ T = ∅.
- F: set of directed arcs; The default arc weight, W, of (, an arc going from to or from to is singleton, unless stated otherwise.
- M: row vector of markings (tokens) on the set of places., is the initial marking.
4.2. Modular Petri Nets
- Tokens can only enter a Petri module through its input ports, which are transitions.
- Tokens can only exit a Petri module through its output ports, which are also transitions.
- Local places and transitions of a Petri module cannot have any direct arcs with elements outside the Petri module.
Modular Petri Nets: Definition
- (one or more Petri modules).
- (zero or more IMCs).
- : (input ports).
- : (local transitions).
- : (output ports).
- , , and , all are mutually exclusive:.
- (the transitions of the module).
- the local places. Since a module has only local places, .
- ,
- -
- (a local place can be input by transition inside the module or none).
- -
- (an output of a local place can be transition inside the module or none).
- ,
- -
- (input place of a module transition is a local place or none).
- -
- (output place of a module transition is a local place or none).
- -
- (input places of input ports can be local places, places in IMCs, or none).
- -
- (output places of output ports can be local places, places in IMCs, or none).
- -
- (input places of output ports can be local places or an empty set).
- -
- (output places of output ports can be local places, IM-places, or none).
- : where (internal arcs).
- (initial markings in local places).
- : is the set of places in the IMC (known as the IM-places). ,
- -
- (input transitions of IM-places can be output ports of modules, IM-transitions of this specific IMC, or none).
- -
- (output transitions of IM-places can be input ports of modules, IM-transitions of this specific IMC, or none).(IM-places are not allowed to have direct connections with local transitions of modules.)
- (a local place of a module cannot be an IM-place).
- : is the transitions of the IMC (aka IM-transitions). ,
- -
- (input places of IM-transitions can be IM-places of this specific IMC or none).
- -
- (output places of IM-transitions can be IM-places of this specific IMC or none).
- (an IM-transition is not allowed to be a member of any module).
- : where is the IMC arc.
- initial markings in IM-places.
4.3. GPenSIM
5. Method and Design
5.1. Overall Design
- Job generation: a transition within the Petri net will generate jobs using specific values outlined in Section 3.1. The characteristics of the jobs will also depend on the scheduling algorithm employed. Jobs may be generated through random, static, or external dataset-based methods. Subsequently, all generated jobs will be placed in a global queue accessible to all CPUs.
- Queues: freshly generated jobs are deposited into the global queue, following the previously outlined procedure. Each CPU is equipped with its dedicated local queue. For a system comprising n CPUs, there will be n local queues, resulting in a total of queues, including the global queue. Jobs are transferred from the global queue to the local queue with the least number of jobs. In scenarios where multiple local queues possess an equal minimum number of jobs, the decision regarding which local queue will receive the job will be left to GPenSIM. As a result, the quantity of jobs in each local queue remains relatively consistent.
- Redistribute jobs: in the presence of an idle CPU, it should be able to migrate a job from one local queue to another. Job migration is contingent upon the global and local queues’ lack of jobs. Under these conditions, a job from another local queue will return to the global queue and undergo fair redistribution.
- Scheduling: CPUs select executable jobs from their respective local queues to run within a specified time frame. The scheduling algorithm remains consistent across all CPUs, focusing on the jobs within its local queue. The selection of a particular job is contingent upon the implemented scheduler. Certain scheduling algorithms may require additional fields in the jobs to facilitate the proper selection of the next job.
- Time: each job encompasses several fields necessary for metric calculations, as detailed in Section 3.1, contingent on having access to time. GPenSIM employs a clock called the global timer, a discrete value incremented by of the shortest firing transition [24]. The global timer in GPenSIM will be used when assigning time to jobs. The rationale behind this choice will be explained later as we delve into the advantages and disadvantages of utilizing this built-in global timer.
5.2. Modular Approach
5.2.1. Single CPU
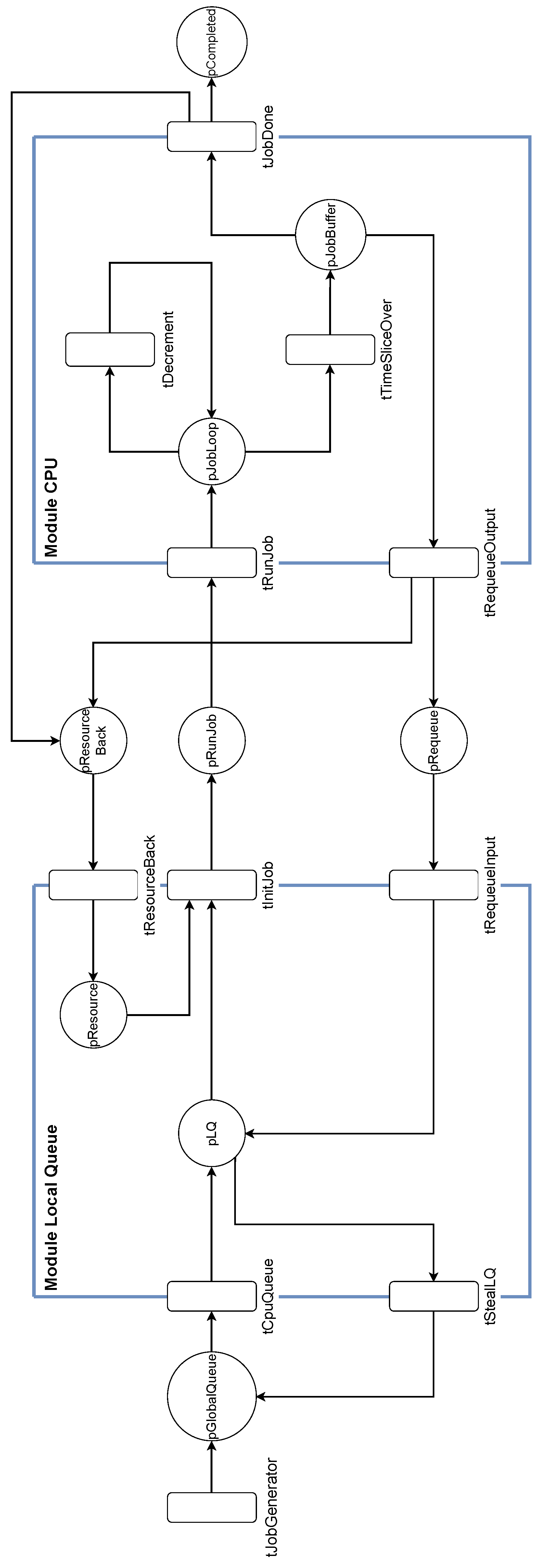
- Input ports: these are the transitions where tokens can arrive in the module from an IMC, such as tCpuQueue in the local queue module in Figure 4.
- Output ports: these are the transitions where tokens can go from a module to a place in an IMC, like tInitJob in the local queue module in Figure 4.
- Local transitions: these are only accessible from inside the module as they are not input or output ports.
- Local places: these are only accessible from inside the module as they cannot receive tokens from an outside transition, and an external transition cannot take tokens from them.
- The first transition in the model, tJobGenerator, is responsible for placing tokens inside the place pGlobalQueue, with a color corresponding to its job ID. All the jobs that arrive in pGlobalQueue wait to be placed in the place pLQ. Although the place pGlobalQueue is not necessary for a single CPU, it is a component of the soon-to-come multiprocessor model.
- The local queue pLQ is where the scheduling algorithm chooses the next job to be scheduled. The transition tStealLQ is deactivated in the single CPU model but is used in the multiprocessor model to redistribute jobs. The MLFQ scheduler includes an additional transition, tBoostLQ, which boosts jobs that have been in the local queue for an extended period without being scheduled.
- Transition tInitJob is where the scheduling algorithm runs to decide the next job to be scheduled. Additionally, there is a place pResource that is consumed by tInitJob, ensuring that only a single job can run at any given time. Without this place, having multiple jobs in the job loop would have been possible. This place enables mutual exclusion of pJobLoop.
- Upon the job’s arrival at the pJobLoop location, it will execute for a specified time slice determined by the implemented scheduling algorithm. If the time slice is non-zero, the tDecrement transition will execute the job for 1 time unit and decrease the time slice by 1 time unit. When the time slice reaches zero, the tTimeSliceOver transition will execute.
- If the job is not completed, it returns to the pLQ place and awaits rescheduling. Upon job completion, the tTimeSliceOver transition assigns a color “Done” to the token. Transition tJobDone verifies if any tokens in pJobBuffer bear the color “Done” signifying job completion and enabling placement into pCompleted location.
- Once a job is requeued or completed, the acquired resource in pResource is returned, facilitating the scheduling of a new job.
5.2.2. Multiprocessor
5.3. Implementation
6. Testing, Analysis, and Results
- The short job dataset: this dataset consists of jobs with relatively short execution times. These jobs are designed to simulate processes that are completed quickly.
- Mixed job dataset: in contrast, the “mixed job dataset” provides a more complex and realistic test environment. It simulates scenarios where the CPU must manage a mix of short- and long-running jobs, closely resembling real-world situations where processes with varying execution times are constantly competing for system resources. This dataset helps us assess how well our scheduling algorithms adapt to the challenges presented by a diverse set of jobs.
6.1. Analysis
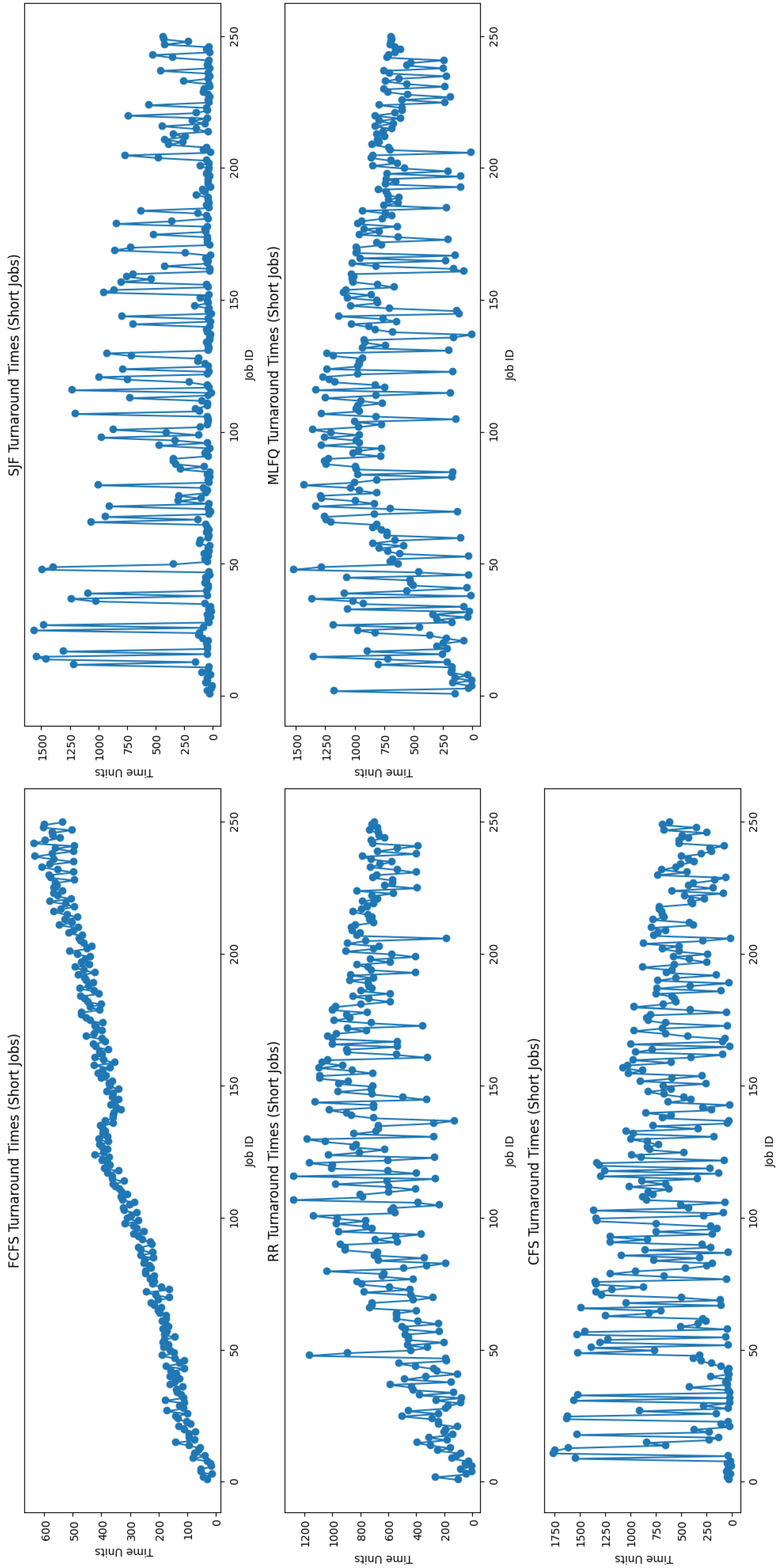
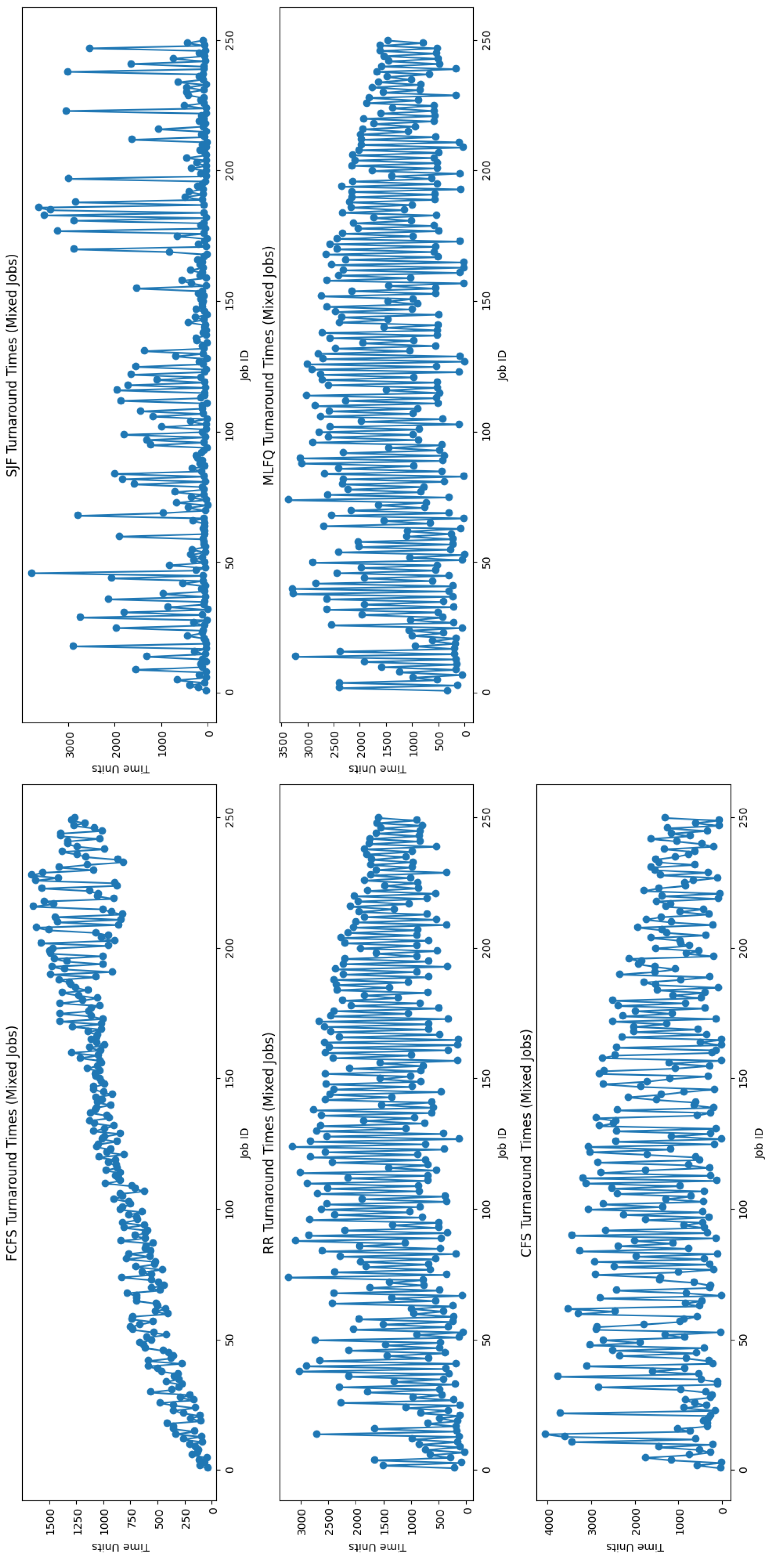
- Turnaround time: the turnaround time of a process is determined by subtracting the arrival time of the process in the system from the time at which the process is completed [3].
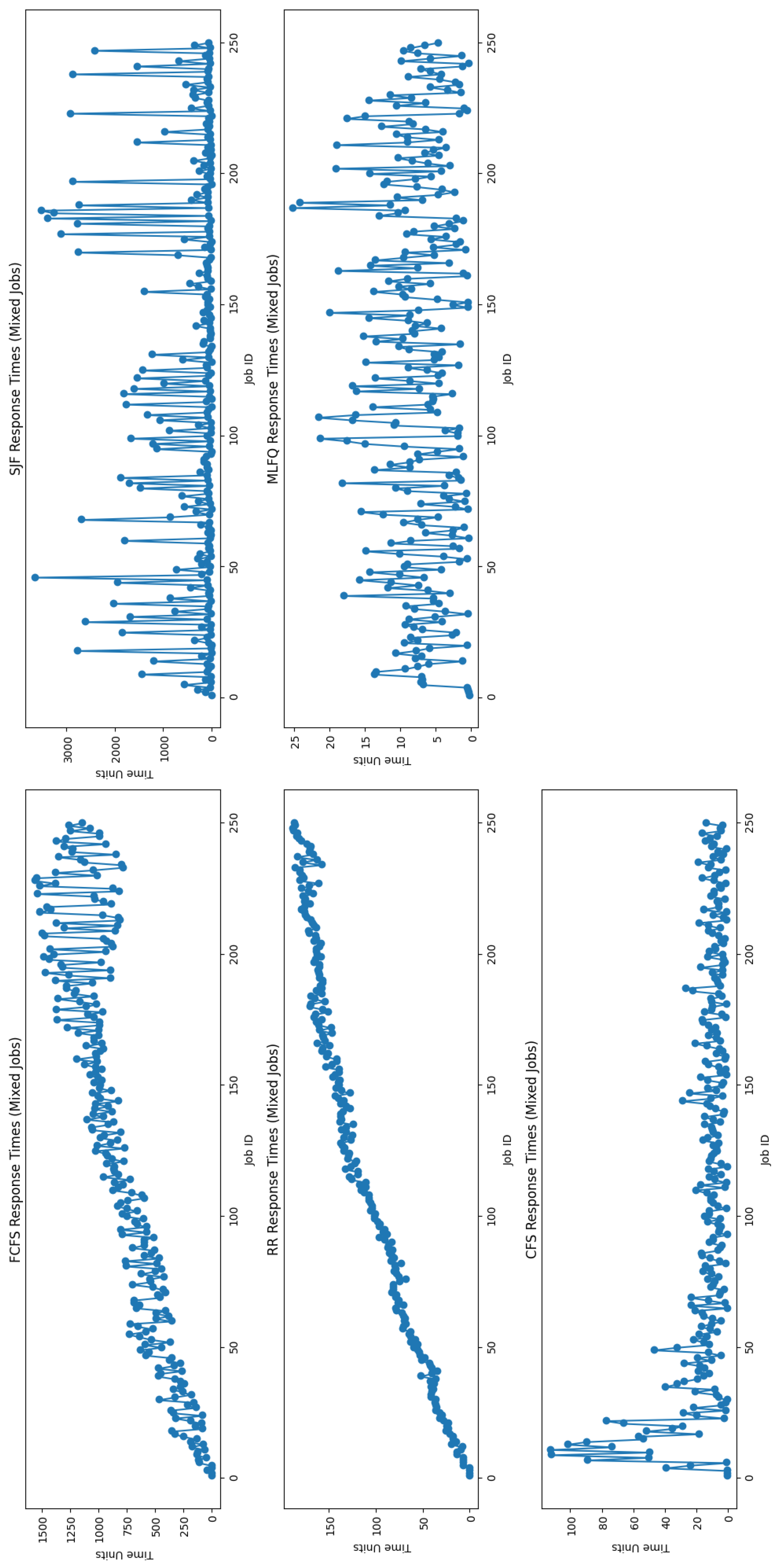
- Response time: the response time of a process is determined by subtracting the arrival time of the process in the system from the time at which the process is first scheduled [3].
- Throughput: traditionally, throughput in the realm of scheduling algorithms is defined as the number of processes completed within a specified time frame. In this analysis, we opt to examine throughput on a per-process basis, calculated by taking the minimum time a process should run and dividing it by the turnaround time. This yields a value within the range, where higher values indicate superior throughput for the respective process.
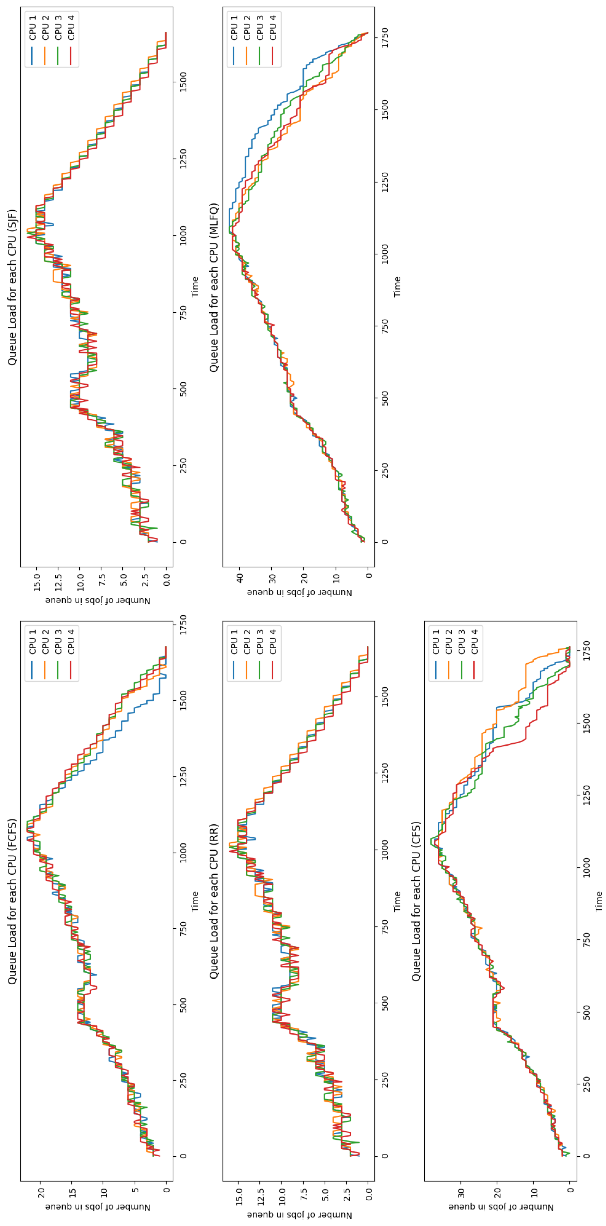
- Queue loads: at predetermined intervals, the system measures the size of all queues. The queue sizes will illustrate the fluctuations over time throughout the simulation, providing a detailed view of load balancing.
- Jain’s fairness index: Jain’s fairness index is employed to evaluate how fairly CPU time is distributed among different processes. It provides a quantitative measure of fairness in terms of resource allocation in a multiprocess environment. It can be used to assess the effectiveness of scheduling algorithms in ensuring equitable access to resources for various processes [26]. Equation (8) is used for measuring the fairness, where n is the number of processes and represents the individual share of the resource allocated to entity i (throughput for process i). The value ranges between 0 and 1, where a higher value corresponds to increased fairness.
6.2. Result
Average Performance
7. Discussion
7.1. Limitations of This Work
- Instruction cache: speeds up instruction fetching.
- Data cache: stores and retrieves data more rapidly, often organized in L1, L2, and L3 cache layers.
- Translation lookaside buffer: facilitates the swift mapping of virtual addresses to physical addresses, assisting memory management.
7.2. Further Work
Author Contributions
Funding
Institutional Review Board Statement
Informed Consent Statement
Data Availability Statement
Conflicts of Interest
Appendix A. Turnaround Time


Appendix B. Response Time


Appendix C. Throughput


Appendix D. Load


References
- GPenSIM. General-Purpose Petri Net Simulator. Technical Report. 2019. Available online: http://www.davidrajuh.net/gpensim (accessed on 20 July 2020).
- Theis, T.N.; Wong, H.S.P. The End of Moore’s Law: A New Beginning for Information Technology. Comput. Sci. Eng. 2017, 19, 41–50. [Google Scholar] [CrossRef]
- Arpaci-Dusseau, R.H.; Arpaci-Dusseau, A.C. Operating System; Three Easy Pieces. In Arpaci-Dusseau Books; CreateSpace Independent Publishing Platform: North Charleston, SC, USA, 2018. [Google Scholar]
- Karger, D.R.; Stein, C.; Wein, J. Scheduling algorithms. In Algorithms and Theory of Computation Handbook; Chapman & Hall/CRC: Boca Raton, FL, USA, 1999; Volume 1, p. 20. [Google Scholar]
- Mohammadi, A.; Akl, S.G. Scheduling Algorithms for Real-Time Systems; School of Computing Queens University: London, UK, 2005. [Google Scholar]
- Horn, W. Some simple scheduling algorithms. Nav. Res. Logist. Q. 1974, 21, 177–185. [Google Scholar] [CrossRef]
- Hou, E.S.H.; Ansari, N. Genetic algorithm for multiprocessor scheduling. IEEE Trans. Parallel Distrib. Syst. 1994, 5, 113–120. [Google Scholar] [CrossRef] [PubMed]
- Wu, A.S.; Yu, H.; Jin, S.; Lin, K.C.; Schiavone, G. An Incremental Genetic Algorithm Approach to Multiprocessor Scheduling. IEEE Trans. Parallel Distrib. Syst. 2004, 15, 824–834. [Google Scholar] [CrossRef]
- Visalakshi, P. Multiprocessor Scheduling Using Hybrid Particle Swarm Optimization with Dynamically Varying Inertia. Int. J. Comput. Sci. Appl. 2007, 4, 95–106. [Google Scholar]
- Stone, H.S. Multiprocessor Scheduling with the Aid of Network Flow Algorithms. IEEE Trans. Softw. Eng. 1977, SE-3, 85–93. [Google Scholar]
- Coffman, E.G.; Garey, M.R.; Johnson, D.S. An Application of Bin-Packing to Multiprocessor Scheduling. Siam J. Comput. 1978, 7, 1–17. [Google Scholar] [CrossRef]
- Baruah, S.; Fisher, N. The partitioned multiprocessor scheduling of deadline-constrained sporadic task systems. IEEE Trans. Comput. 2006, 55, 918–923. [Google Scholar] [CrossRef]
- Leontyev, H.; Anderson, J.H. Generalized Tardiness Bounds for Global Multiprocessor Scheduling. In Proceedings of the IEEE International Real-Time Systems Symposium, Tucson, AZ, USA, 3–6 December 2007. [Google Scholar]
- Guan, N.; Stigge, M.; Yi, W.; Yu, G. Fixed-Priority Multiprocessor Scheduling with Liu and Layland’s Utilization Bound. In Proceedings of the 16th IEEE Real-Time and Embedded Technology and Applications Symposium, RTAS 2010, Stockholm, Sweden, 12–15 April 2010. [Google Scholar]
- Kasahara, H.; Narita, S. Practical multiprocessor scheduling algorithms for efficient parallel processing. Syst. Comput. Jpn. 1999, 16, 11–duling with rejection. [Google Scholar] [CrossRef]
- Liu, S.; Quan, G.; Ren, S. On-line scheduling of real-time services with profit and penalty. In Proceedings of the 2011 ACM Symposium on Applied Computing, Tai Chung, Taiwan, 21–24 March 2011. [Google Scholar]
- Langen, P.; Juurlink, B.; Juurlink, B. Leakage-Aware Multiprocessor Scheduling. J. Signal Process. Syst. 2009, 57, 73–88. [Google Scholar] [CrossRef]
- Squillante, M.S.; Lazowska, E.D. Using processor-cache affinity information in shared-memory multiprocessor scheduling. IEEE Trans. Parallel Distrib. Syst. 1993, 4, 131–143. [Google Scholar] [CrossRef]
- Veltman, B.B. Multiprocessor Scheduling with Communication Delays. Ph.D. Thesis, CWI, Eindhoven, The Netherlands, 1993. [Google Scholar]
- Garcia, R.C.; Chung, J.M.; Jo, S.W.; Ha, T.; Kyong, T. Response time performance estimation in smartphones applying dynamic voltage & frequency scaling and completely fair scheduler. In Proceedings of the IEEE International Symposium on Consumer Electronics, Jeju, Republic of Korea, 22–25 June 2014. [Google Scholar]
- Murata, T. Petri nets: Properties, analysis and applications. Proc. IEEE 1989, 77, 541–580. [Google Scholar] [CrossRef]
- Peterson, J.L. Petri Net Theory and The Modeling of Systems; Prentice Hall PTR: Upper Saddle River, NJ, USA, 1981. [Google Scholar]
- Davidrajuh, R. Petri Nets for Modeling of Large Discrete Systems; Springer: Berlin/Heidelberg, Germany, 2021. [Google Scholar]
- Davidrajuh, R. Modeling Discrete-Event Systems with GPenSIM; Springer International Publishing: Cham, Switzerland, 2018. [Google Scholar] [CrossRef]
- Davidrajuh, R. Colored Petri Nets for Modeling of Discrete Systems: A Practical Approach with GPenSIM; Springer Nature: Berlin/Heidelberg, Germany, 2023. [Google Scholar]
- Jain, R. The Art of Computer Systems Performance Analysis: Techniques for Experimental Design, Measurement, Simulation, and Modeling; Wiley: Hoboken, NJ, USA, 1991. [Google Scholar]
- Fan, L.; Cao, P. Summary cache: A scalable wide-area Web cache sharing protocol. IEEE/ACM Trans. Netw. 2000, 8, 281–293. [Google Scholar] [CrossRef]









| FCFS | SJF | RR | MLFQ | CFS | ||||||
|---|---|---|---|---|---|---|---|---|---|---|
| Short | Mixed | Short | Mixed | Short | Mixed | Short | Mixed | Short | Mixed | |
| Turnaround | ||||||||||
| Response | ||||||||||
| Throughput | ||||||||||
| Jain’s FI | ||||||||||
| Migrations | 0 | 0 | 0 | 0 | 23 | 29 | 4 | 29 | 12 | 14 |
| Scheduled | 250 | 250 | 250 | 250 | 1189 | 2619 | 997 | 2056 | 970 | 2167 |
Disclaimer/Publisher’s Note: The statements, opinions and data contained in all publications are solely those of the individual author(s) and contributor(s) and not of MDPI and/or the editor(s). MDPI and/or the editor(s) disclaim responsibility for any injury to people or property resulting from any ideas, methods, instructions or products referred to in the content. |
© 2024 by the authors. Licensee MDPI, Basel, Switzerland. This article is an open access article distributed under the terms and conditions of the Creative Commons Attribution (CC BY) license (https://creativecommons.org/licenses/by/4.0/).
Share and Cite
Dirdal, D.O.; Vo, D.; Feng, Y.; Davidrajuh, R. Developing a Platform Using Petri Nets and GPenSIM for Simulation of Multiprocessor Scheduling Algorithms. Appl. Sci. 2024, 14, 5690. https://doi.org/10.3390/app14135690
Dirdal DO, Vo D, Feng Y, Davidrajuh R. Developing a Platform Using Petri Nets and GPenSIM for Simulation of Multiprocessor Scheduling Algorithms. Applied Sciences. 2024; 14(13):5690. https://doi.org/10.3390/app14135690
Chicago/Turabian StyleDirdal, Daniel Osmundsen, Danny Vo, Yuming Feng, and Reggie Davidrajuh. 2024. "Developing a Platform Using Petri Nets and GPenSIM for Simulation of Multiprocessor Scheduling Algorithms" Applied Sciences 14, no. 13: 5690. https://doi.org/10.3390/app14135690
APA StyleDirdal, D. O., Vo, D., Feng, Y., & Davidrajuh, R. (2024). Developing a Platform Using Petri Nets and GPenSIM for Simulation of Multiprocessor Scheduling Algorithms. Applied Sciences, 14(13), 5690. https://doi.org/10.3390/app14135690

