Talent Identification in Football: Different Effects of Maturation on Sprinting, Change of Direction and Jumping in 13-Year-Old Players
Abstract
1. Introduction
2. Materials and Methods
2.1. Participants
2.2. Procedures
2.2.1. Maturity Status
2.2.2. Change of Direction Testing
2.2.3. 30 m Sprint Testing
2.2.4. Reactive Strength Testing
2.2.5. Explosive Power Testing
2.3. Statistical Analysis
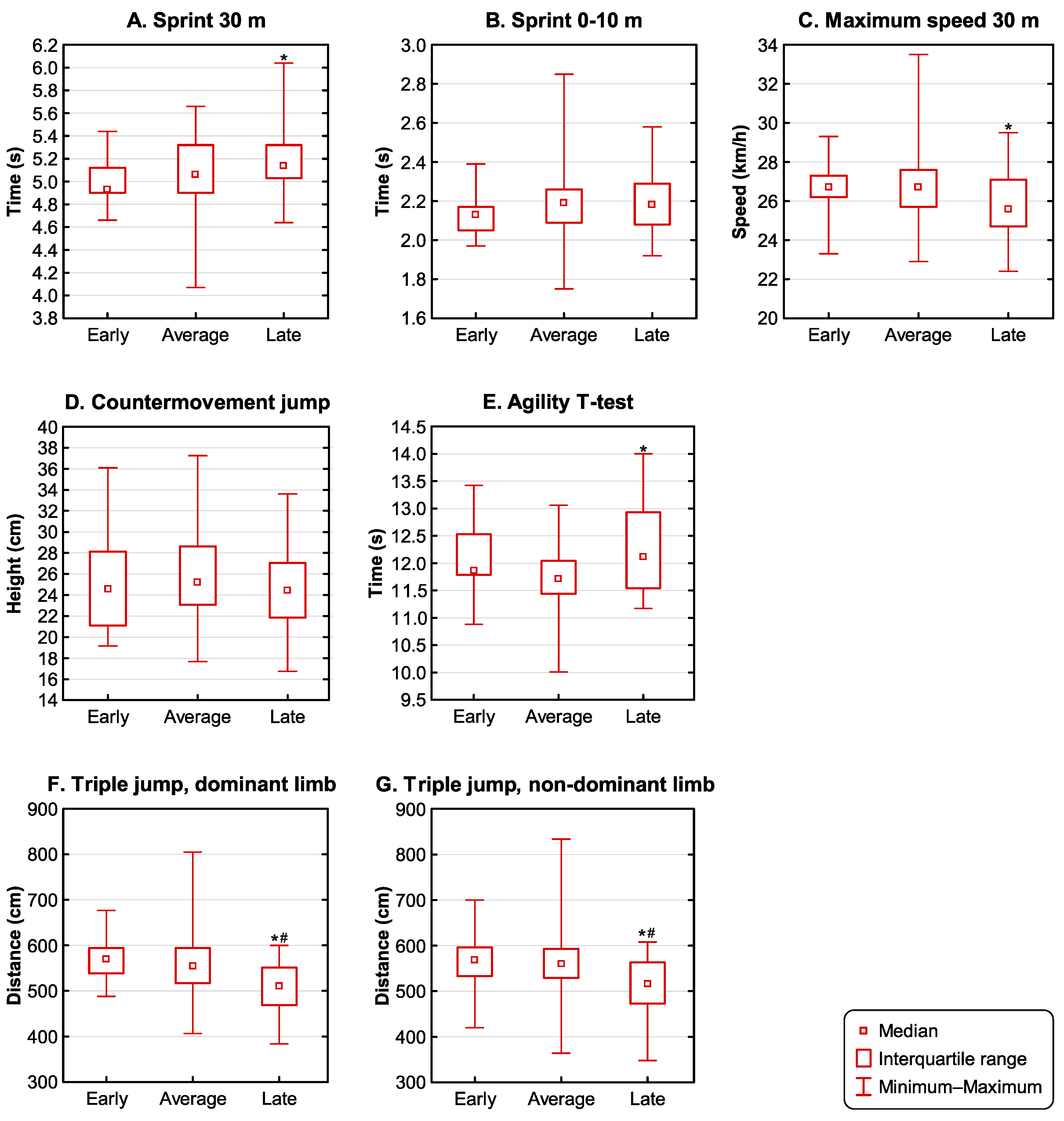
3. Results
4. Discussion
4.1. Acceleration Speed
4.2. Maximal Running Speed
4.3. 30 m Sprint
4.4. Change of Direction
4.5. Explosive Power
4.6. Reactive Strength
4.7. Limitations
5. Conclusions
Author Contributions
Funding
Institutional Review Board Statement
Informed Consent Statement
Data Availability Statement
Conflicts of Interest
References
- Lloyd, R.S.; Oliver, J.L. The Physical Development Model: A New Approach to Long-Term Athletic Development. Strength Cond. J. 2012, 34, 61–72. [Google Scholar] [CrossRef]
- Pichardo, A.W.; Oliver, J.L.; Harrison, C.B.; Maulder, P.S.; Lloyd, R.S. Integrating Models of Long-Term Athletic Development to Maximize the Physical Development of Youth. Int. J. Sports Sci. Coach. 2018, 13, 1189–1199. [Google Scholar] [CrossRef]
- Williams, C.A.; Oliver, J.L.; Lloyd, R.S.; Granacher, U. Talent Development. In Strength and Conditioning for Young Athletes; Lloyd, R.S., Oliver, J.L., Eds.; Routledge: Abingdon, UK, 2019; pp. 33–46. [Google Scholar]
- Lloyd, R.S.; Oliver, J.L.; Faigenbaum, A.D.; Myer, G.D.; De Ste Croix, M.B. Chronological Age vs. Biological Maturation: Implications for Exercise Programming in Youth. J. Strength Cond. Res. 2014, 28, 1454–1464. [Google Scholar] [CrossRef] [PubMed]
- Rees, T.; Hardy, L.; Güllich, A.; Abernethy, B.; Côté, J.; Woodman, T.; Warr, C. The Great British Medalists Project: A Review of Current Knowledge on the Development of the World’s Best Sporting Talent. Sports Med. 2016, 46, 1041–1058. [Google Scholar] [CrossRef] [PubMed]
- Till, K.; Emmonds, S.; Jones, B. Talent Identification. In Strength and Conditioning for Young Athletes; Lloyd, R.S., Oliver, J.L., Eds.; Routledge: Abingdon, UK, 2019; pp. 21–44. [Google Scholar]
- Malina, R.M.; Bouchard, C.; Bar-Or, O. Growth, Maturation, and Physical Activity; Human Kinetics: Champaign, IL, USA, 2004. [Google Scholar]
- Sarmento, H.; Anguera, M.T.; Pereira, A.; Araújo, D. Talent Identification and Development in Male Football: A Systematic Review. Sports Med. 2018, 48, 907–931. [Google Scholar] [CrossRef]
- Meylan, C.M.; Cronin, J.B.; Oliver, J.L.; Hughes, M.G.; Manson, S. An Evidence-Based Model of Power Development in Youth Soccer. Int. J. Sports Sci. Coach. 2014, 9, 1241–1264. [Google Scholar] [CrossRef]
- Murr, D.; Raabe, J.; Höner, O. The Prognostic Value of Physiological and Physical Characteristics in Youth Soccer: A Systematic Review. Eur. J. Sport Sci. 2018, 18, 62–74. [Google Scholar] [CrossRef] [PubMed]
- Jovanovic, M.; Sporis, G.; Omrcen, D.; Fiorentini, F. Effects of Speed, Agility, Quickness Training Method on Power Performance in Elite Soccer Players. J. Strength Cond. Res. 2011, 25, 1285–1292. [Google Scholar] [CrossRef]
- Emmonds, S.; Till, K.; Jones, B.; Mellis, M.; Pears, M. Anthropometric, Speed, and Endurance Characteristics of English Academy Soccer Players: Do They Influence Obtaining a Professional Contract at 18 Years of Age? Int. J. Sports Sci. Coach. 2016, 11, 212–218. [Google Scholar] [CrossRef]
- Meyers, R.W.; Oliver, J.L.; Hughes, M.G.; Lloyd, R.S.; Cronin, J.B. New Insights into the Development of Maximal Sprint Speed in Male Youth. Strength Cond. J. 2017, 39, 2–10. [Google Scholar] [CrossRef]
- Gil, S.M.; Zabala-Lili, J.; Bidaurrazaga-Letona, I.; Aduna, B.; Lekue, J.A.; Santos-Concejero, J.; Granados, C. Talent Identification and Selection Process of Outfield Players and Goalkeepers in a Professional Soccer Club. J. Sports Sci. 2014, 32, 1931–1939. [Google Scholar] [CrossRef]
- Silva, M.C.; Figueiredo, A.J.; Simoes, F.; Seabra, A.; Natal, A.; Vaeyens, R.; Malina, R.M. Discrimination of U-14 Soccer Players by Level and Position. Int. J. Sports Med. 2010, 31, 790–796. [Google Scholar] [CrossRef] [PubMed]
- Le Gall, F.; Carling, C.; Williams, M.; Reilly, T. Anthropometric and Fitness Characteristics of International, Professional, and Amateur Male Graduate Soccer Players from an Elite Youth Academy. J. Sci. Med. Sport 2010, 13, 90–95. [Google Scholar] [CrossRef] [PubMed]
- Ramirez-Campillo, R.; Moran, J.; Oliver, J.L.; Pedley, J.S.; Lloyd, R.S.; Granacher, U. Programming Plyometric-Jump Training in Soccer: A Review. Sports 2022, 10, 94. [Google Scholar] [CrossRef] [PubMed]
- Mathisen, G.; Pettersen, S.A. Anthropometric Factors Related to Sprint and Agility Performance in Young Male Soccer Players. Open Access J. Sports Med. 2015, 6, 337–342. [Google Scholar] [CrossRef] [PubMed]
- Meyers, R.W.; Oliver, J.L.; Hughes, M.G.; Cronin, J.B.; Lloyd, R.S. Maximal Sprint Speed in Boys of Increasing Maturity. Pediatr. Exerc. Sci. 2015, 27, 85–94. [Google Scholar] [CrossRef] [PubMed]
- Meyers, R.W.; Oliver, J.L.; Hughes, M.G.; Lloyd, R.S.; Cronin, J.B. Influence of Age, Maturity, and Body Size on the Spatiotemporal Determinants of Maximal Sprint Speed in Boys. J. Strength Cond. Res. 2017, 31, 1009–1016. [Google Scholar] [CrossRef] [PubMed]
- Itoh, R.; Hirose, N. Relationship Among Biological Maturation, Physical Characteristics, and Motor Abilities in Youth Elite Soccer Players. J. Strength Cond. Res. 2020, 34, 382–388. [Google Scholar] [CrossRef] [PubMed]
- Radnor, J.M.; Oliver, J.L.; Waugh, C.M.; Myer, G.D.; Lloyd, R.S. Muscle Architecture and Maturation Influence Sprint and Jump Ability in Young Boys: A Multistudy Approach. J. Strength Cond. Res. 2022, 36, 2741–2751. [Google Scholar] [CrossRef]
- Philippaerts, R.M.; Vaeyens, R.; Janssens, M.; Van Renterghem, B.; Matthys, D.; Craen, R.; Malina, R.M. The Relationship Between Peak Height Velocity and Physical Performance in Youth Soccer Players. J. Sports Sci. 2006, 24, 221–230. [Google Scholar] [CrossRef]
- Yang, S.; Chen, H. Physical Characteristics of Elite Youth Male Football Players Aged 13–15 Are Based Upon Biological Maturity. PeerJ 2022, 10, e13282. [Google Scholar] [CrossRef] [PubMed]
- Brauer, B.M. Die Bestimmung des Biologischen Alters in der Sport und Jugendärztlichen Praxis mit Neuen Anthropometrischen Methoden. Ärztl. Jugend. 1982, 73, 94–100. [Google Scholar]
- Marfell-Jones, M.J.; Olds, T.; Stewart, A.D.; Carter, L. International Standards for Anthropometric Assessment; International Society for the Advancement of Kinanthropometry (ISAK): Potchefstroom, South Africa, 2006. [Google Scholar]
- Kutáč, P. Komparace Výsledků Zastoupení Tělesného Tuku a Validita Měření Bioimpedančními Analyzátory s Rozdílními Měřícími Frekvencemi u Mladých Atletů. Česká Antropol. 2016, 66, 15–19. [Google Scholar]
- Heyward, V.H.; Wagner, D.R. Applied Body Composition Assessment, 2nd ed.; Human Kinetics: Champaign, IL, USA, 2004. [Google Scholar]
- Carter, J.E.L. The Heath-Carter Anthropometric Somatotype—Instruction Manual; San Diego State University: San Diego, CA, USA, 2002. [Google Scholar]
- Bláha, P. Antropo [Computer Software]; Antrobla: Praha, Czech Republic, 2000. [Google Scholar]
- Prycl, D.; Sigmund, M. Testbal [Computer Software]; Aplikační Centrum BALUO, Fakulta Tělesné Kultury, Univerzita Palackého: Olomouc, Czech Republic, 2021. [Google Scholar]
- Prycl, D.; Sigmund, M.; Ondra, L.; Suchomel, P. Komplexní Systém Sportovní Diagnostiky—TESTBAL; Aplikační Centrum BALUO, Fakulta Tělesné Kultury, Univerzita Palackého: Olomouc, Czech Republic, 2021. [Google Scholar]
- Mrugalska, B.; Karwowski, W. Anthropometry—Human Body Measurements and How to Use Them, 1st ed.; Routledge: New York, NY, USA, 2024. [Google Scholar]
- Preedy, V.R. Handbook of Anthropometry: Physical Measures of Human Form in Health and Disease; Springer Nature: Berlin/Heidelberg, Germany, 2016. [Google Scholar]
- Raya, M.A.; Gailey, R.S.; Gaunaurd, I.A.; Jayne, D.M.; Campbell, S.M.; Gagne, E.; Tucker, C. Comparison of Three Agility Tests with Male Servicemembers: Edgren Side Step Test, T-Test, and Illinois Agility Test. J. Rehabil. Res. Dev. 2013, 50, 951–960. [Google Scholar] [CrossRef] [PubMed]
- Sporis, G.; Jukic, I.; Milanovic, L.; Vucetic, V. Reliability and Factorial Validity of Agility Tests for Soccer Players. J. Strength Cond. Res. 2010, 24, 679–686. [Google Scholar] [CrossRef] [PubMed]
- Davey, K.; Read, P.; Coyne, J.; Jarvis, P.; Turner, A.; Brazier, J.; Bishop, C. An Assessment of the Hopping Strategy and Inter-Limb Asymmetry During the Triple Hop Test: A Test-Retest Pilot Study. Symmetry 2021, 13, 1890. [Google Scholar] [CrossRef]
- Markovic, G.; Dizdar, D.; Jukic, I.; Cardinale, M. Reliability and Factorial Validity of Squat and Countermovement Jump Tests. J. Strength Cond. Res. 2004, 18, 551–555. [Google Scholar] [PubMed]
- Wong, P.L.; Chamari, K.; Dellal, A.; Wisløff, U. Relationship Between Anthropometric and Physiological Characteristics in Youth Soccer Players. J. Strength Cond. Res. 2009, 23, 1204–1210. [Google Scholar] [CrossRef] [PubMed]
- Buchheit, M.; Simpson, B.M.; Peltola, E.; Mendez-Villanueva, A. Assessing Maximal Sprinting Speed in Highly Trained Young Soccer Players. Int. J. Sports Physiol. Perform. 2012, 7, 76–78. [Google Scholar] [CrossRef]
- Galay, V.S.; Poonia, R.; Singh, M. Understanding the Significance of Plyometric Training in Enhancement of Sports Performance: A Systematic Review. Vidyabharati Int. Interdiscip. Res. J. 2021, 11, 141–148. [Google Scholar]
- Radnor, J.M.; Oliver, J.L.; Waugh, C.M.; Myer, G.D.; Moore, I.S.; Lloyd, R.S. The Influence of Growth and Maturation on Stretch-Shortening Cycle Function in Youth. Sports Med. 2018, 48, 57–71. [Google Scholar] [CrossRef] [PubMed]
- Moran, J.; Liew, B.; Ramirez-Campillo, R.; Granacher, U.; Negra, Y.; Chaabene, H. The Effects of Plyometric Jump Training on Lower-Limb Stiffness in Healthy Individuals: A Meta-Analytical Comparison. J. Sport Health Sci. 2023, 12, 236–245. [Google Scholar] [CrossRef] [PubMed]
- Rumpf, M.C.; Cronin, J.B.; Oliver, J.L.; Hughes, M.G. Vertical and Leg Stiffness and Stretch-Shortening Cycle Changes Across Maturation During Maximal Sprint Running. Hum. Mov. Sci. 2013, 32, 668–676. [Google Scholar] [CrossRef] [PubMed]
- Laffaye, G.; Choukou, M.A.; Benguigui, N.; Padulo, J. Age- and Gender-Related Development of Stretch-Shortening Cycle During a Sub-Maximal Hopping Task. Biol. Sport 2016, 33, 29–35. [Google Scholar] [PubMed]
- Lloyd, R.S.; Radnor, J.M.; De Ste Croix, M.B.; Cronin, J.B.; Oliver, J.L. Changes in Sprint and Jump Performances After Traditional Plyometric and Combined Resistance Training in Male Youth Pre- and Post-Peak Height Velocity. J. Strength Cond. Res. 2016, 30, 1239–1247. [Google Scholar] [CrossRef] [PubMed]
- Rumpf, M.C.; Cronin, J.B.; Oliver, J.L.; Hughes, M. Assessing Youth Sprint Ability—Methodological Issues, Reliability, and Performance Data. Pediatr. Exerc. Sci. 2011, 23, 442–467. [Google Scholar] [CrossRef] [PubMed]
- Williams, C.A.; Oliver, J.L.; Faulkner, J. Seasonal Monitoring of Sprint and Jump Performance in a Soccer Youth Academy. Int. J. Sports Physiol. Perform. 2011, 6, 264–275. [Google Scholar] [CrossRef] [PubMed]
- Fiorilli, G.; Mitrotasios, M.; Iuliano, E.; Pistone, E.M.; Aquino, G.; Calcagno, G. Agility and Change of Direction in Soccer: Differences According to the Player Ages. J. Sports Med. Phys. Fit. 2016, 57, 1597–1604. [Google Scholar] [CrossRef] [PubMed]
- Sariati, D.; Hammami, R.; Zouhal, H.; Clark, C.C.; Nebigh, A.; Chtara, M.; Ben Ounis, O. Improvement of Physical Performance Following a 6-Week Change-of-Direction Training Program in Elite Youth Soccer Players of Different Maturity Levels. Front. Physiol. 2021, 12, 668437. [Google Scholar] [CrossRef]
- Toselli, S.; Mauro, M.; Grigoletto, A.; Cataldi, S.; Benedetti, L.; Nanni, G.; Greco, G. Assessment of Body Composition and Physical Performance of Young Soccer Players: Differences According to the Competitive Level. Biology 2022, 11, 823. [Google Scholar] [CrossRef]
- Deprez, D.; Valente-Dos-Santos, J.; Coelho-e-Silva, M.J.; Lenoir, M.; Philippaerts, R.; Vaeyens, R. Longitudinal Development of Explosive Leg Power from Childhood to Adulthood in Soccer Players. Int. J. Sports Med. 2015, 36, 672–679. [Google Scholar] [CrossRef] [PubMed]
- Lambertz, D.; Mora, I.; Grosset, J.F.; Perot, C. Evaluation of Musculotendinous Stiffness in Prepubertal Children and Adults Taking Into Account Muscle Activity. J. Appl. Physiol. 2003, 95, 64–72. [Google Scholar] [CrossRef] [PubMed]
- Lloyd, R.S.; Oliver, J.L.; Hughes, M.G.; Williams, C.A. The Influence of Chronological Age on Periods of Accelerated Adaptation of Stretch-Shortening Cycle Performance in Pre- and Post-Pubescent Boys. J. Strength Cond. Res. 2011, 25, 1889–1897. [Google Scholar] [CrossRef] [PubMed]
- Tumkur Anil Kumar, N.; Oliver, J.L.; Lloyd, R.S.; Pedley, J.S.; Radnor, J.M. The Influence of Growth, Maturation, and Resistance Training on Muscle-Tendon and Neuromuscular Adaptations: A Narrative Review. Sports 2021, 9, 59. [Google Scholar] [CrossRef] [PubMed]
- Dotan, R.; Mitchell, C.; Cohen, R.; Gabriel, D.; Klentrou, P.; Falk, B. Child-Adult Differences in the Kinetics of Torque Development. J. Sports Sci. 2013, 31, 945–953. [Google Scholar] [CrossRef]
- Fox, E.J.; Moon, H.; Kwon, M.; Chen, Y.T.; Christou, E.A. Neuromuscular Control of Goal-Directed Ankle Movements Differs for Healthy Children and Adults. Eur. J. Appl. Physiol. 2014, 114, 1889–1899. [Google Scholar] [CrossRef]
- De Ste Croix, M.B.; Lehnert, M.; Maixnerova, E.; Ayala, F.; Psotta, R. The Influence of Age and Maturation on Trajectories of Stretch-Shortening Cycle Capability in Male Youth Team Sports. Pediatr. Exerc. Sci. 2021, 33, 16–22. [Google Scholar]

| Early Maturation | Average Maturation | Late Maturation | |
|---|---|---|---|
| n = 17 | n = 46 | n = 35 | |
| M ± SD | M ± SD | M ± SD | |
| Age (years) | 12.95 ± 0.26 | 13.21 ± 1.37 | 12.93 ± 0.50 |
| Stature (cm) | 168.58 ± 6.38 *# | 161.36 ± 10.18 ᵻ | 151.99 ± 6.11 |
| Body mass (kg) | 54.92 ± 5.96 *# | 49.16 ± 9.38 ᵻ | 39.30 ± 4.23 |
| Fat mass (%) | 11.47 ± 4.43 | 11.64 ± 4.11 | 11.15 ± 4.63 |
| FFM (kg) | 48.59± 5.67 *# | 43.45 ± 8.80 ᵻ | 34.86 ± 3.77 |
| SMM (kg) | 26.92 ± 3.41 *# | 23.90 ± 5.37 ᵻ | 18.73 ± 2.25 |
Disclaimer/Publisher’s Note: The statements, opinions and data contained in all publications are solely those of the individual author(s) and contributor(s) and not of MDPI and/or the editor(s). MDPI and/or the editor(s) disclaim responsibility for any injury to people or property resulting from any ideas, methods, instructions or products referred to in the content. |
© 2024 by the authors. Licensee MDPI, Basel, Switzerland. This article is an open access article distributed under the terms and conditions of the Creative Commons Attribution (CC BY) license (https://creativecommons.org/licenses/by/4.0/).
Share and Cite
Lehnert, M.; Holík, R.; Prycl, D.; Sigmund, M.; Sigmundová, D.; Malý, T. Talent Identification in Football: Different Effects of Maturation on Sprinting, Change of Direction and Jumping in 13-Year-Old Players. Appl. Sci. 2024, 14, 5571. https://doi.org/10.3390/app14135571
Lehnert M, Holík R, Prycl D, Sigmund M, Sigmundová D, Malý T. Talent Identification in Football: Different Effects of Maturation on Sprinting, Change of Direction and Jumping in 13-Year-Old Players. Applied Sciences. 2024; 14(13):5571. https://doi.org/10.3390/app14135571
Chicago/Turabian StyleLehnert, Michal, Roman Holík, David Prycl, Martin Sigmund, Dagmar Sigmundová, and Tomáš Malý. 2024. "Talent Identification in Football: Different Effects of Maturation on Sprinting, Change of Direction and Jumping in 13-Year-Old Players" Applied Sciences 14, no. 13: 5571. https://doi.org/10.3390/app14135571
APA StyleLehnert, M., Holík, R., Prycl, D., Sigmund, M., Sigmundová, D., & Malý, T. (2024). Talent Identification in Football: Different Effects of Maturation on Sprinting, Change of Direction and Jumping in 13-Year-Old Players. Applied Sciences, 14(13), 5571. https://doi.org/10.3390/app14135571

