Electrospray Nested Energetic Cells from Nanothermite with MoO3 Nanostrips: Reactivity, Sensitivity and Combustion Performance
Abstract
1. Introduction
2. Experimental
2.1. Synthesis of MoO3 Nanostrips
2.2. Precursor Preparation
2.3. Electrospray Fabrication of Al/MoO3 Nanothermite
2.4. Sample Characterizations
2.5. Sensitivity Tests
2.6. Combustion Performances
3. Results and Discussion
3.1. Micromorphology and Composition Characterization
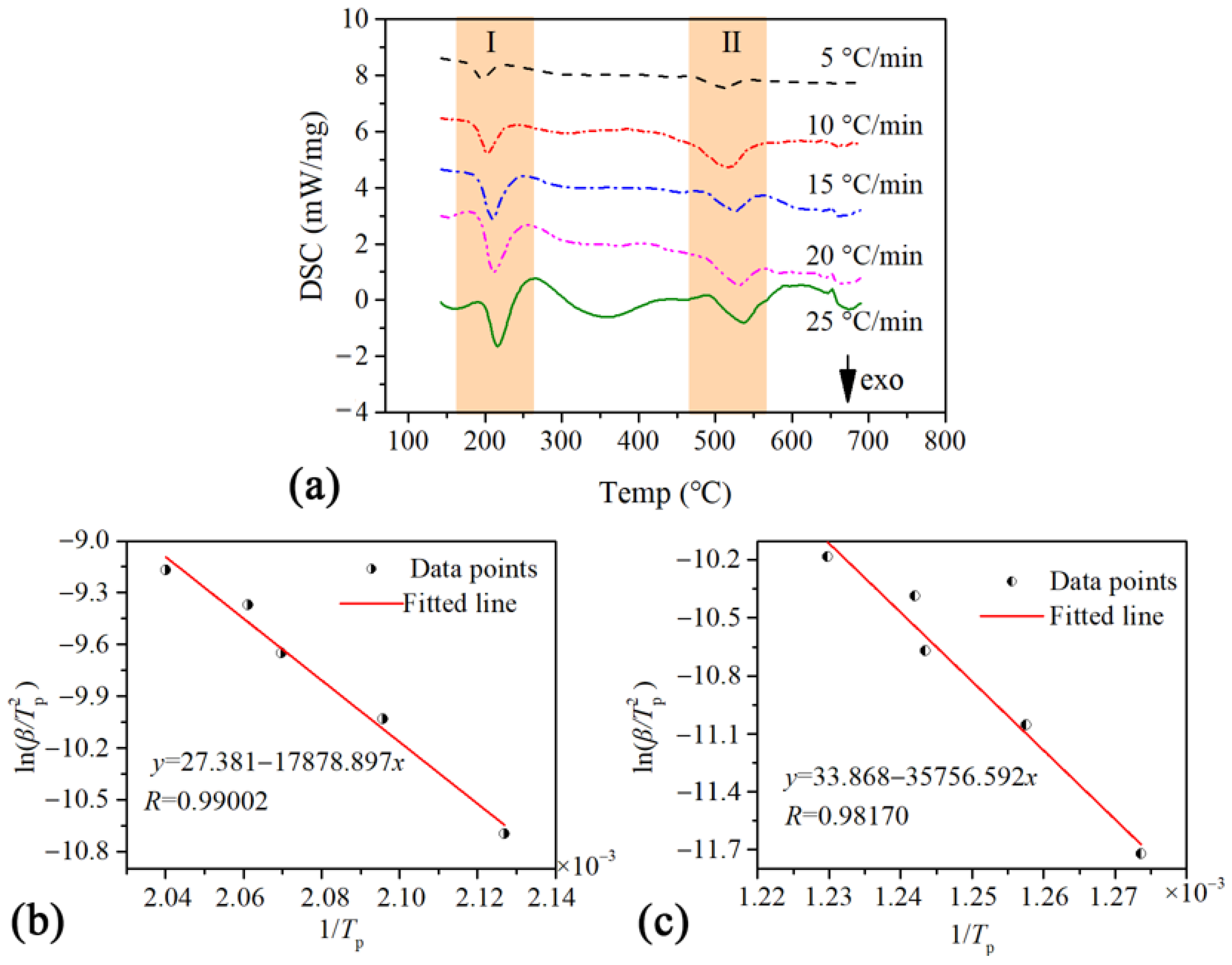
3.2. Thermodynamic Behavior Characterization
3.3. Sensitivity Tests
3.4. Combustion Performances
3.4.1. Constant Volume Combustion Test
3.4.2. Combustion Performance and Velocity Test
4. Conclusions
Author Contributions
Funding
Institutional Review Board Statement
Informed Consent Statement
Data Availability Statement
Conflicts of Interest
References
- de Souza, K.M.; de Lemos, M.J.; Ribeiro, R.D.R.; Marin, A.M.G. Advanced isoconversional kinetic analysis of Fe2O3-2Al thermite reaction for plug and abandonment of oil wells. Chem. Eng. J. 2023, 455, 140725. [Google Scholar] [CrossRef]
- Junghare, S.; Kumari, S.; Chaudhary, A.; Kumar, R.; Rayalu, S. Thermite reaction driven pyrotechnic formulation with promising functional performance and reduced emissions. J. Hazard. Mater. 2022, 424, 127345. [Google Scholar] [CrossRef] [PubMed]
- Elbasuney, S.; Yehia, M.; Hamed, A.; Mokhtar, M.; Gobara, M.; Saleh, A.; Elsaka, E.; El-Sayyad, G.S. Synergistic catalytic effect of thermite nanoparticles on HMX thermal decomposition. J. Inorg. Organomet. Polym. Mater. 2021, 31, 2293–2305. [Google Scholar] [CrossRef]
- Josefson, B.L.; Bisschop, R.; Messaadi, M.; Hantusch, J. Residual stresses in thermite welded rails: Significance of additional forging. Weld. World 2020, 64, 1195–1212. [Google Scholar] [CrossRef]
- Elbasuney, S.; El-Sayyad, G.S.; Ismael, S.; Yehia, M. Colloid thermite nanostructure: A novel high energy density material for enhanced explosive performance. J. Inorg. Organomet. Polym. Mater. 2021, 31, 559–565. [Google Scholar] [CrossRef]
- Oh, S.; Park, S.; Min, G.; Park, H.; Yoo, Y.; Cho, S. Deflagration characteristics of thermite reaction mixtures under decoupled charges. Sci. Technol. Energ. Mater. 2020, 81, 114–120. [Google Scholar]
- Jian, G.; Chowdhury, S.; Sullivan, K.; Zachariah, M.R. Nanothermite reactions: Is gas phase oxygen generation from the oxygen carrier an essential prerequisite to ignition? Combust. Flame 2013, 160, 432–437. [Google Scholar] [CrossRef]
- Williams, A.; Shancita, I.; Altman, I.; Tamura, N.; Pantoya, M.L. On the Pressure Generated by Thermite Reactions Using Stress-Altered Aluminum Particles. Propellants Explos. Pyrotech. 2021, 46, 99–106. [Google Scholar] [CrossRef]
- Chen, J.; Guo, T.; Ding, W.; Song, J.; Yao, M.; Bei, F.; Li, S. Effect of CuO on the thermal kinetics and combustion properties of Al/MoO3 thermite prepared by ball milling. Ceram. Int. 2021, 47, 16500–16510. [Google Scholar] [CrossRef]
- Wu, J.; Feng, B.; Gao, Z.; Li, Y.; Wu, S.; Yin, Q.; Huang, J.; Ren, X. Investigation on the thermal decomposition and thermal reaction process of PTFE/Al/MoO3 fluorine-containing thermite. J. Fluor. Chem. 2021, 241, 109676. [Google Scholar] [CrossRef]
- Liu, J.W.; Li, S.; Li, M.; Zhou, Y.; Guo, T.; Han, Z.X.; Jiang, L. Thermal Analysis and Pyrolytic Behavior of Bimetal and Double Oxidant Thermite Al/Mg/MoO3/CuO. Propellants Explos. Pyrotech. 2023, 48, e202200290. [Google Scholar] [CrossRef]
- Rehwoldt, M.C.; Wang, H.; Kline, D.J.; Wu, T.; Eckman, N.; Wang, P.; Agrawal, N.R.; Zachariah, M.R. Ignition and combustion analysis of direct write fabricated aluminum/metal oxide/PVDF films. Combust. Flame 2020, 211, 260–269. [Google Scholar] [CrossRef]
- Wang, H.; Kline, D.J.; Biswas, P.; Zachariah, M.R. Connecting agglomeration and burn rate in a thermite reaction: Role of oxidizer morphology. Combust. Flame 2021, 231, 111492. [Google Scholar] [CrossRef]
- Xu, F.; Biswas, P.; Nava, G.; Schwan, J.; Kline, D.J.; Rehwoldt, M.C.; Mangolini, L.; Zachariah, M.R. Tuning the reactivity and energy release rate of I2O5 based ternary thermite systems. Combust. Flame 2021, 228, 210–217. [Google Scholar] [CrossRef]
- Shen, L.; Li, Y.; Zhang, L.; Zhu, S.; Yi, Z.; Zhu, C. Tuning the reactivity and energy release efficiency in aluminum alloy thermite by eutectic silicon. Chem. Eng. J. 2023, 466, 143113. [Google Scholar] [CrossRef]
- Wang, Y.; Liu, R.; Wan, Y. Thermal reaction properties of aluminum/iron fluoride nanothermites. J. Therm. Anal. Calorim. 2023, 148, 5297–5308. [Google Scholar] [CrossRef]
- Li, M.; Han, Z.; Jiang, L.; Xu, G. Study on combustion characteristics and pyrotechnic cutting effects of bimetal thermite Ni/Al/Fe2O3 system. Propellants Explos. Pyrotech. 2024, 49, e202300285. [Google Scholar] [CrossRef]
- Polis, M.; Stolarczyk, A.; Glosz, K.; Jarosz, T. Quo Vadis, Nanothermite? A review of recent progress. Materials 2022, 15, 3215. [Google Scholar] [CrossRef]
- Piercey, D.G.; Klapoetke, T.M. Nanoscale aluminum-metal oxide (thermite) reactions for application in energetic materials. Cent. Eur. J. Energ. Mater. 2010, 7, 115–129. [Google Scholar]
- Song, J.; Guo, T.; Ding, W.; Yao, M.; Bei, F.; Zhang, X.; Huang, J.; Fang, X. Study on thermal behavior and kinetics of Al/MnO2 poly (vinylidene fluorine) energetic nanocomposite assembled by electrospray. RSC Adv. 2019, 9, 25266–25273. [Google Scholar] [CrossRef] [PubMed]
- Wang, Y.T.; Zhang, X.T.; Xu, J.B.; Shen, Y.; Wang, C.A.; Li, F.W.; Zhang, Z.H.; Chen, J.; Ye, Y.H.; Shen, R.Q. Fabrication and characterization of Al–CuO nanocomposites prepared by sol-gel method. Def. Technol. 2021, 17, 1307–1312. [Google Scholar] [CrossRef]
- Ghedjatti, I.; Yuan, S.; Wang, H. Hot Bridge-Wire Ignition of Nanocomposite Aluminum Thermite Synthesized Using Sol-Gel-Derived Aerogel with Tailored Properties for Enhanced Reactivity and Reduced Sensitivity. Energies 2024, 17, 2437. [Google Scholar] [CrossRef]
- Zhou, J.; Pan, Q.; Guo, X.; Nie, J.; Liu, R. Preparation of microstructure controllable Al/WO3/F2603 MICs by droplet microfluidic technology to improve combustion performance. Chem. Eng. J. 2023, 477, 146419. [Google Scholar] [CrossRef]
- Wang, H.; Zachariah, M.R. Engineering Particle Agglomerate and Flame Propagation in 3D-printed Al/CuO Nanocomposites. Nano Micro-Scale Energ. Mater. Propellants Explos. 2023, 1, 253–284. [Google Scholar]
- Wang, H.; Jian, G.; Egan, G.C.; Zachariah, M.R. Assembly and reactive properties of Al/CuO based nanothermite microparticles. Combust. Flame 2014, 161, 2203–2208. [Google Scholar] [CrossRef]
- Nie, H.; Tan, L.P.; Pisharath, S.; Hng, H.H. Nanothermite composites with a novel cast curable fluoropolymer. Chem. Eng. J. 2021, 414, 128786. [Google Scholar] [CrossRef]
- Jiang, Y.; Wang, Y.; Baek, J.; Wang, H.; Gottfried, J.L.; Wu, C.-C.; Shi, X.; Zachariah, M.R.; Zheng, X. Ignition and combustion of Perfluoroalkyl-functionalized aluminum nanoparticles and nanothermite. Combust. Flame 2022, 242, 112170. [Google Scholar] [CrossRef]
- Zhang, Z.; Jiang, D.; Yang, L.; Song, W.; Wang, R.; Huang, Q. Preparation of RDX/F2311/Fe2O3/Al Composite Hollow Microspheres by Electrospray and Synergistic Energy Release during Combustion between Components. Materials 2024, 17, 1623. [Google Scholar] [CrossRef] [PubMed]
- Li, X.; Zachariah, M.R. Direct deposit of fiber reinforced energetic nanocomposites. Propellants Explos. Pyrotech. 2017, 42, 1079–1084. [Google Scholar] [CrossRef]
- Xiao, L.; Zhao, L.; Ke, X.; Zhang, T.; Hao, G.; Hu, Y.; Zhang, G.; Guo, H.; Jiang, W. Energetic metastable Al/CuO/PVDF/RDX microspheres with enhanced combustion performance. Chem. Eng. Sci. 2021, 231, 116302. [Google Scholar] [CrossRef]
- Wang, S.J.; Wang, D.; Chen, P.; Yan, S.; Jiao, Q.J.; Guo, X.Y. Preparation and characterization of Al@TKX-50@NC composite microspheres by electrospray. Mater. Chem. Phys. 2023, 305, 127910. [Google Scholar] [CrossRef]
- Feng, C.; Ye, B.; Ma, Y.; Cheng, W.; Shi, S.; Zhao, F.; An, C.; Wang, J. Electrospray fabrication of CL-20 composite microspheres for high-energy EFIs: Microstructure modulation and performance optimization. Powder Technol. 2024, 437, 119563. [Google Scholar] [CrossRef]
- Niu, H.-T.; Zhang, Y.; Xiao, G.; He, X.-H.; Yao, Y.-G. Preparation of quasi-isotropic thermal conductive composites by interconnecting spherical alumina and 2D boron nitride flakes. Rare Met. 2023, 42, 1283–1293. [Google Scholar] [CrossRef]
- Wu, N.; Che, S.; Sun, L.; Liu, H.; Li, Z.; Sun, Y.; Qian, J.; Yang, W.; Li, Y. Dual Network Structures of Polyurethane/Boron Nitride Nanosheets/Alumina for Improved Thermal Management of Polymers. ACS Appl. Nano Mater. 2023, 6, 17196–17205. [Google Scholar] [CrossRef]
- Jacob, R.J.; Ortiz-Montalvo, D.L.; Overdeep, K.R.; Weihs, T.P.; Zachariah, M.R. Incomplete reactions in nanothermite composites. J. Appl. Phys. 2017, 121, 054307. [Google Scholar] [CrossRef] [PubMed]
- Xu, W.; An, C.; Wang, J.; Dong, J.; Geng, X. Preparation and properties of an insensitive booster explosive based on LLM-105. Propellants Explos. Pyrotech. 2013, 38, 136–141. [Google Scholar] [CrossRef]
- Xu, R.; Yan, Z.; Yang, L.; Wang, Q.; Tong, W.; Song, N.; Han, J.-M.; Zhao, Y. Nanoscale homogeneous energetic copper azides@porous carbon hybrid with reduced sensitivity and high ignition ability. ACS Appl. Mater. Interfaces 2018, 10, 22545–22551. [Google Scholar] [CrossRef] [PubMed]
- Kissinger, H.E. Reaction kinetics in differential thermal analysis. Anal. Chem. 1957, 29, 1702–1706. [Google Scholar] [CrossRef]
- Chen, J.; Guo, T.; Yao, M.; Song, J.; Ding, W.; Mao, Y.; Li, S.; Zhu, R. Thermal behavior and combustion performance of Al/MoO3 nanothermites with addition of poly (vinylidene fluorine) using electrospraying. Mater. Res. Express 2020, 7, 115009. [Google Scholar] [CrossRef]
- De Bruijn, T.; De Jong, W.; Van Den Berg, P. Kinetic parameters in Avrami—Erofeev type reactions from isothermal and non-isothermal experiments. Thermochim. Acta 1981, 45, 315–325. [Google Scholar] [CrossRef]
- Huang, J.; Jiang, J.; Ni, L.; Zhang, W.; Shen, S.; Zou, M. Thermal decomposition analysis of 2,2-di-(tert-butylperoxy)butane in non-isothermal condition by DSC and GC/MS. Thermochim. Acta 2019, 673, 68–77. [Google Scholar] [CrossRef]










| Exothermic Peak | Peak Temperatures (°C) | Ea (kJ·mol−1) | lg(A(s−1)) | R | ||||
|---|---|---|---|---|---|---|---|---|
| 5 °C·min−1 | 10 °C·min−1 | 15 °C·min−1 | 20 °C·min−1 | 25 °C·min−1 | ||||
| I | 197 | 204 | 210 | 212 | 217 | 148.645 | 14.3657 | 0.99002 |
| II | 512 | 522 | 531 | 532 | 540 | 297.280 | 17.4839 | 0.98170 |
| Exothermic Peak | Heating Rates (K·min−1) | Ea (kJ·mol−1) | lg(A(s−1)) | R | The Most Possible Functions | Kinetic Equation |
|---|---|---|---|---|---|---|
| I | 5 | 115.2093 | 28.22489 | 0.993668 | ||
| 10 | 122.7675 | 29.61636 | 0.995394 | |||
| 15 | 131.1940 | 31.06599 | 0.991795 | |||
| 20 | 124.2758 | 28.99306 | 0.981353 | |||
| 25 | 106.2708 | 23.59166 | 0.965036 | |||
| II | 5 | 260.0079 | 24.86317 | 0.988413 | ||
| 10 | 189.9453 | 17.52124 | 0.980036 | |||
| 15 | 237.9435 | 22.75562 | 0.986147 | |||
| 20 | 305.7663 | 29.66858 | 0.976977 | |||
| 25 | 294.6532 | 27.91423 | 0.985651 |
| Sample | Impact Sensitivity | Flame Sensitivity | ||
|---|---|---|---|---|
| H50/cm | Standard Deviation/cm | H50/cm | Standard Deviation/cm | |
| Al/MoO3-M | 35 | 1 | 50 | 2 |
| Al/MoO3-E | 23 | 1 | 42 | 2 |
| Sample | Weight/g | Pmax/MPa | /MPa | σ/MPa |
|---|---|---|---|---|
| Al/MoO3-M | 0.096 | 1.23 | 1.27 | 0.18 |
| 0.102 | 1.16 | |||
| 0.099 | 1.41 | |||
| Al/MoO3-E | 0.101 | 2.02 | 1.96 | 0.16 |
| 0.095 | 1.83 | |||
| 0.097 | 2.04 |
Disclaimer/Publisher’s Note: The statements, opinions and data contained in all publications are solely those of the individual author(s) and contributor(s) and not of MDPI and/or the editor(s). MDPI and/or the editor(s) disclaim responsibility for any injury to people or property resulting from any ideas, methods, instructions or products referred to in the content. |
© 2024 by the authors. Licensee MDPI, Basel, Switzerland. This article is an open access article distributed under the terms and conditions of the Creative Commons Attribution (CC BY) license (https://creativecommons.org/licenses/by/4.0/).
Share and Cite
Li, Y.; Ren, H.; Xie, Q. Electrospray Nested Energetic Cells from Nanothermite with MoO3 Nanostrips: Reactivity, Sensitivity and Combustion Performance. Appl. Sci. 2024, 14, 5522. https://doi.org/10.3390/app14135522
Li Y, Ren H, Xie Q. Electrospray Nested Energetic Cells from Nanothermite with MoO3 Nanostrips: Reactivity, Sensitivity and Combustion Performance. Applied Sciences. 2024; 14(13):5522. https://doi.org/10.3390/app14135522
Chicago/Turabian StyleLi, Yaru, Hui Ren, and Quanmin Xie. 2024. "Electrospray Nested Energetic Cells from Nanothermite with MoO3 Nanostrips: Reactivity, Sensitivity and Combustion Performance" Applied Sciences 14, no. 13: 5522. https://doi.org/10.3390/app14135522
APA StyleLi, Y., Ren, H., & Xie, Q. (2024). Electrospray Nested Energetic Cells from Nanothermite with MoO3 Nanostrips: Reactivity, Sensitivity and Combustion Performance. Applied Sciences, 14(13), 5522. https://doi.org/10.3390/app14135522

