Azimuthal Variation in the Surface-Wave Velocity in the Arabian Plate
Abstract
1. Introduction
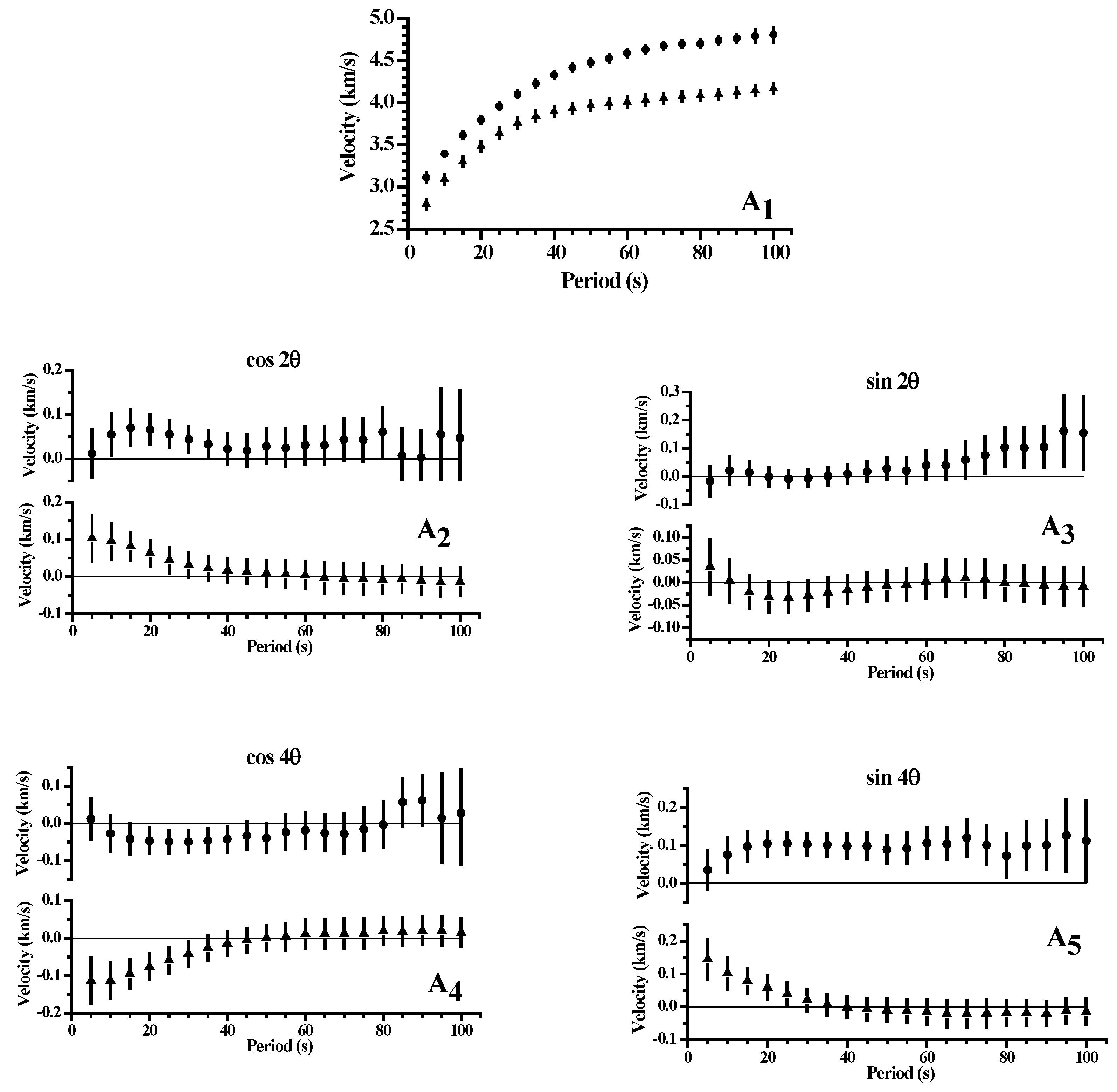
2. Data, Methodology and Results
3. Interpretation and Discussion
4. Conclusions
Supplementary Materials
Funding
Institutional Review Board Statement
Informed Consent Statement
Data Availability Statement
Acknowledgments
Conflicts of Interest
References
- Al-Lazki, A.; Ebinger, C.; Kendall, K.; Helffrich, G.; Leroy, S.; Tiberi, C.; Stuart, G.; Al-Toobi, K. Upper mantle anisotropy of southeast Arabia passive margin [Gulf of Aden northern conjugate margin], Oman. Arab. J. Geosci. 2012, 5, 925–934. [Google Scholar] [CrossRef]
- Elsheikh, A.A. Seismic anisotropy and mantle flow beneath East Africa and Arabia. J. Afr. Earth Sci. 2019, 149, 97–108. [Google Scholar] [CrossRef]
- Kim, R.; Witek, M.; Chang, S.-J.; Lim, J.-A.; Mai, P.M.; Zahran, H. Isotropic and radially anisotropic S-velocity structure beneath the Arabian plate inferred from surface wave tomography. Tectonophysics 2023, 862, 229968. [Google Scholar] [CrossRef]
- Qaysi, S.; Liu, K.H.; Gao, S.S. A database of shear-wave splitting measurements for the Arabian Plate. Seismol. Res. Lett. 2018, 89, 2294–2298. [Google Scholar] [CrossRef]
- Corchete, V. Review of the methodology for the inversion of surface-wave phase velocities in a slightly anisotropic medium. Comput. Geosci. 2012, 41, 56–63. [Google Scholar] [CrossRef]
- Corchete, V. Crust and upper mantle structure of Mars determined from surface-wave analysis. Acta Astronaut. 2024. submitted. [Google Scholar]
- Corchete, V.; Chourak, M.; Hussein, H.M. Shear wave velocity structure of the Sinai Peninsula from Rayleigh wave analysis. Surv. Geophys. 2007, 28, 299–324. [Google Scholar] [CrossRef]
- Dziewonski, A.; Bloch, S.; Landisman, M. A technique for the analysis of transient seismic signals. Bull. Seismol. Soc. Am. 1969, 59, 427–444. [Google Scholar] [CrossRef]
- Cara, M. Filtering dispersed wavetrains. Geophys. J. R. Astron. Soc. 1973, 33, 65–80. [Google Scholar] [CrossRef]
- Corchete, V. The first 3D S-velocity model for the lithosphere-asthenosphere system of the Arabian Peninsula and the Iranian plateau. J. Seismol. 2024. submitted. [Google Scholar]
- Babuska, V.; Cara, M. Seismic Anisotropy in the Earth; Kluwer Academic: Dordrecht, The Netherlands, 1991. [Google Scholar]
- Priestley, K.; McKenzie, D.; Barron, J.; Tatar, M.; Debayle, E. The Zagros core: Deformation of the continental lithospheric mantle. Geochem. Geophys. Geosyst. 2012, 13, Q11014. [Google Scholar] [CrossRef]
- Pasyanos, M.E.; Masters, T.G.; Laske, G.; Ma, Z. LITHO1.0: An updated crust and lithospheric model of the Earth. J. Geophys. Res. Solid Earth 2014, 119, 2153–2173. [Google Scholar] [CrossRef]
- Kaviani, A.; Paul, A.; Moradi, A.; Mai, P.M.; Pilia, S.; Boschi, L.; Rümpker, G.; Li, Y.; Tang, Z.; Sandvol, E. Crustal and uppermost mantle shear wave velocity structure beneath the Middle East from surface wave tomography. Geophys. J. Int. 2020, 221, 1349–1365. [Google Scholar] [CrossRef]
- Park, Y.; Nyblade, A.A.; Rodgers, A.J.; Al-Amri, A. S wave velocity structure of the Arabian Shield upper mantle from Rayleigh wave tomography. Geochem. Geophys. Geosyst. 2008, 9, Q07020. [Google Scholar] [CrossRef]
- Krienitz, M.-S.; Haase, K.M.; Mezger, K.; van den Bogaard, P.; Thiemann, V.; Shaikh-Mashail, M.A. Tectonic events, continental intraplate volcanism, and mantle plume activity in northern Arabia: Constraints from geochemistry and Ar-Ar dating of Syrian lavas. Geochem. Geophys. Geosyst. 2009, 10, Q04008. [Google Scholar] [CrossRef]
- Chang, S.-J.; van der Lee, S. Mantle plumes and associated flow beneath Arabia and East Africa. Earth Planet. Sci. Lett. 2011, 302, 448–454. [Google Scholar] [CrossRef]
- Chang, S.-J.; Merino, M.; van Der Lee, S.; Stein, S.; Stein, C.A. Mantle flow beneath Arabia offset from the opening Red Sea. Geophys. Res. Lett. 2011, 38, L04301. [Google Scholar] [CrossRef]
- Yao, Z.; Mooney, W.D.; Zahran, H.M.; Youssef, S.E.H. Upper mantle velocity structure beneath the Arabian shield from Rayleigh surface wave tomography and its implications. J. Geophys. Res. Solid Earth 2017, 122, 6552–6568. [Google Scholar] [CrossRef]
- Tang, Z.; Mai, P.M.; Chang, S.-J.; Zahran, H. Evidence for crustal low shear-wave speed in western Saudi Arabia from multi-scale fundamental-mode Rayleigh-wave group-velocity tomography. Earth Planet. Sci. Lett. 2018, 495, 24–37. [Google Scholar] [CrossRef]
- Lim, J.-A.; Chang, S.-J.; Mai, P.M.; Zahran, H. Asthenospheric flow of plume material beneath Arabia inferred from S wave travel time tomography. J. Geophys. Res. Solid Earth 2020, 125, e2020JB019668. [Google Scholar] [CrossRef]
- Bosworth, W.; Huchon, P.; Mcclay, K. The Red Sea and Gulf of Aden Basins. J. Afr. Earth Sci. 2005, 43, 334–378. [Google Scholar] [CrossRef]
- Korostelev, F.; Basuyau, C.; Leroy, S.; Tiberi, C.; Ahmed, A.; Stuart, G.W.; Keir, D.; Rolandone, F.; Al Ganad, I.; Khanbari, K.; et al. Crustal and upper mantle structure beneath south-western margin of the Arabian Peninsula from teleseismic tomography. Geochem. Geophys. Geosyst. 2014, 15, 2850–2864. [Google Scholar] [CrossRef]
- Gashawbeza, E.M.; Klemperer, S.L.; Nyblade, A.A.; Walker, K.T.; Keranen, K.M. Shear-wave splitting in Ethiopia: Precambrian mantle anisotropy locally modified by Neogene rifting. Geophys. Res. Lett. 2004, 31, L18602. [Google Scholar] [CrossRef]
- Hansen, S.; Schwartz, S.; Al-Amri, A.; Rodgers, A. Combined plate motion and density-driven flow in the asthenosphere beneath Saudi Arabia: Evidence from shear-wave splitting and seismic anisotropy. Geology 2006, 34, 869–872. [Google Scholar] [CrossRef]
- Sadeghi-Bagherabadi, A.; Sobouti, F.; Ghods, A.; Motaghi, K.; Talebian, M.; Chen, L.; Jiang, M.; Ai, Y.; He, Y. Upper mantle anisotropy and deformation beneath the major thrust-and-fold belts of Zagros and Alborz and the Iranian Plateau. Geophys. J. Int. 2018, 214, 1913–1918. [Google Scholar] [CrossRef]
- Kaviani, A.; Mahmoodabadi, M.; Rumpker, G.; Pilia, S.; Tatar, M.; Nilfouroushan, F.; Yamini-Fard, F.; Moradi, A.; Ali, M.Y. Mantle-flow diversion beneath the Iranian plateau induced by Zagros’ lithospheric keel. Sci. Rep. 2021, 11, 2848. [Google Scholar] [CrossRef] [PubMed]
- Pilia, S.; Kaviani, A.; Searle, M.P.; Arroucau, P.; Ali, M.Y.; Watts, A.B. Crustal and mantle deformation inherited from obduction of the Semail ophiloite (Oman) and continental collision (Zagros). Tectonics 2021, 40, e2020TC006644. [Google Scholar] [CrossRef]











| Thickness (km) | α (km/s) | β (km/s) | ρ (g/cm3) |
|---|---|---|---|
| 5 | 5.63 | 3.25 | 2.30 |
| 5 | 5.72 | 3.30 | 2.77 |
| 20 | 6.58 | 3.80 | 2.85 |
| 25 | 7.36 | 4.25 | 3.20 |
| 45 | 7.88 | 4.55 | 3.35 |
| 60 | 7.45 | 4.30 | 3.40 |
| 100 | 8.31 | 4.80 | 3.53 |
| 140 | 8.31 | 4.80 | 3.60 |
| 100 | 9.41 | 5.09 | 3.64 |
| 100 | 9.72 | 5.26 | 3.84 |
| 40 | 9.97 | 5.26 | 4.08 |
| 30 | 10.54 | 5.70 | 4.16 |
| 130 | 10.68 | 5.85 | 4.22 |
| 200 | 11.10 | 6.26 | 4.43 |
| 200 | 11.48 | 6.44 | 4.61 |
| 200 | 11.78 | 6.54 | 4.74 |
| 200 | 12.06 | 6.64 | 4.83 |
| 12.32 | 6.75 | 4.92 |
| Depth (km) | Region 1 | Region 2 | Region 3 | Region 4 | Region 5 | Region 6 |
|---|---|---|---|---|---|---|
| 10–30 | 1.08 ± 0.08 | 1.05 ± 0.08 | 1.29 ± 0.10 | 1.25 ± 0.11 | 1.27 ± 0.10 | 1.05 ± 0.08 |
| 30–55 | 1.20 ± 0.10 | 1.02 ± 0.07 | 1.02 ± 0.07 | 1.00 ± 0.08 | 1.14 ± 0.07 | 1.05 ± 0.09 |
| 55–100 | 1.27 ± 0.10 | 1.14 ± 0.08 | 1.09 ± 0.07 | 1.09 ± 0.07 | 1.13 ± 0.07 | 1.00 ± 0.09 |
Disclaimer/Publisher’s Note: The statements, opinions and data contained in all publications are solely those of the individual author(s) and contributor(s) and not of MDPI and/or the editor(s). MDPI and/or the editor(s) disclaim responsibility for any injury to people or property resulting from any ideas, methods, instructions or products referred to in the content. |
© 2024 by the author. Licensee MDPI, Basel, Switzerland. This article is an open access article distributed under the terms and conditions of the Creative Commons Attribution (CC BY) license (https://creativecommons.org/licenses/by/4.0/).
Share and Cite
Corchete, V. Azimuthal Variation in the Surface-Wave Velocity in the Arabian Plate. Appl. Sci. 2024, 14, 5142. https://doi.org/10.3390/app14125142
Corchete V. Azimuthal Variation in the Surface-Wave Velocity in the Arabian Plate. Applied Sciences. 2024; 14(12):5142. https://doi.org/10.3390/app14125142
Chicago/Turabian StyleCorchete, Víctor. 2024. "Azimuthal Variation in the Surface-Wave Velocity in the Arabian Plate" Applied Sciences 14, no. 12: 5142. https://doi.org/10.3390/app14125142
APA StyleCorchete, V. (2024). Azimuthal Variation in the Surface-Wave Velocity in the Arabian Plate. Applied Sciences, 14(12), 5142. https://doi.org/10.3390/app14125142
