The Effect of the Initial Phase of a Tightly Focused Laser Pulse on the Emission Characteristics of High-Energy Electrons
Abstract
1. Introduction
2. Materials and Methods
3. Results
3.1. Spatial Radiation Angle Distribution
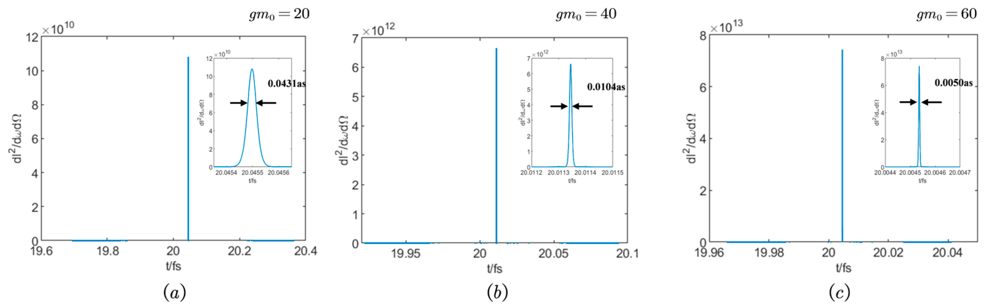
3.2. Temporal Spectrum
3.3. Frequency Spectrum
4. Conclusions
Author Contributions
Funding
Institutional Review Board Statement
Informed Consent Statement
Data Availability Statement
Conflicts of Interest
References
- Manie, P.; Strickland, D. Generation of ultrahigh peak power pulses by chirped pulse amplification. IEEE J. Quantum Electron. 1988, 24, 398–403. [Google Scholar] [CrossRef]
- Vais, O.E.; Bychenkov, V.Y. Complementary diagnostics of high-intensity femtosecond laser pulses via vacuum acceleration of protons and electrons. Plasma Phys. Control. Fusion 2021, 63, 014002. [Google Scholar] [CrossRef]
- Kozák, M. All-optical scheme for generation of isolated attosecond electron pulses. Phys. Rev. Lett. 2019, 123, 203202. [Google Scholar] [CrossRef]
- Cousens, S.; Reville, B.; Dromey, B.; Zepf, M. Temporal structure of attosecond pulses from laser-driven coherent synchrotron emission. Phys. Rev. Lett. 2016, 116, 083901. [Google Scholar] [CrossRef]
- Venkat, P.; Holkundkar, A.R. Higher harmonics and attosecond pulse generation by laser induced Thomson scattering in atomic clusters. Phys. Rev. Accel. Beams 2019, 22, 084401. [Google Scholar] [CrossRef]
- Kozák, M.; Schönenberger, N.; Hommelhoff, P. Ponderomotive generation and detection of attosecond free-electron pulse trains. Phys. Rev. Lett. 2018, 120, 103203. [Google Scholar] [CrossRef] [PubMed]
- Hack, S.; Varró, S.; Czirják, A. Carrier-envelope phase controlled isolated attosecond pulses in the nm wavelength range, based on coherent nonlinear Thomson-backscattering. New J. Phys. 2018, 20, 073043. [Google Scholar] [CrossRef]
- Lee, K.; Cha, Y.H.; Shin, M.S.; Kim, B.H.; Kim, D. Relativistic nonlinear Thomson scattering as attosecond x-ray source. Phys. Rev. E 2003, 67, 026502. [Google Scholar] [CrossRef]
- Zheng, J.; Sheng, Z.M.; Zhang, J. Study on the factors affecting the nonlinear Thomson scattering of one electron. Chin. J. Phys. 2005, 54, 2638. [Google Scholar]
- Lan, P.F.; Lu, P.X.; Cao, W.; Wang, X. Attosecond and zeptosecond x-ray pulses via nonlinear Thomson backscattering. Phys. Rev. E 2005, 72, 066501. [Google Scholar] [CrossRef]
- Cao, J.; Hao, Z.; Park, H.; Tao, C.; Kau, D.; Blaszczyk, L. Femtosecond electron diffraction for direct measurement of ultrafast atomic motions. Appl. Phys. Lett. 2003, 83, 1044–1046. [Google Scholar] [CrossRef]
- Dwyer, J.R.; Jordan, R.E.; Dwayne Miller, R.J. An atomic-level view of melting using femtosecond electron diffraction. Science 2003, 302, 1382–1385. [Google Scholar]
- Ruan, C.Y.; Lobastov, V.A.; Vigliotti, F.; Chen, S.; Zewail, A.H. Ultrafast electron crystallography of interfacial water. Science 2004, 304, 974. [Google Scholar] [CrossRef]
- Zewail, A.H. 4D ultrafast electron diffraction, crystallography, and microscopy. Annu. Rev. Phys. Chem. 2006, 57, 65–103. [Google Scholar] [CrossRef]
- Lobastov, V.A.; Srinivasan, R.; Zewail, A.H. Four-dimensional ultrafast electron microscopy. Proc. Natl. Acad. Sci. USA 2005, 102, 7069–7073. [Google Scholar] [CrossRef]
- Zewail, A.H. Femtochemistry: Atomic-scale dynamics of the chemical bond. J. Am. Chem. Soc. A 2000, 104, 5660–5694. [Google Scholar] [CrossRef]
- Zewail, A.H. Femtochemistry Vols 1 and 2; World Scientific: Singapore, 1994. [Google Scholar]
- Zhang, J.T.; Feng, X.L.; Xu, Z.; Guo, D.S. Phase-dependent angular distributions of photoelectrons in an infinite sequence of linearly polarized few-cycle pulses. Phys. Rev. A 2004, 69, 043409. [Google Scholar] [CrossRef]
- Bohan, A.; Antoine, P.; Milosevic, D.B.; Piraux, B. Phase-dependent harmonic emission with ultrashort laser pulses. Phys. Rev. Lett. 1998, 81, 1837. [Google Scholar] [CrossRef]
- Gunn, J.E.; Ostriker, J.P. Do Pulsars Make Supernovae? Astrophys. J. 1971, 165, 523. [Google Scholar] [CrossRef]
- He, F.; Lau, Y.Y.; Umstadter, D.P.; Stricker, T. Phase dependence of Thomson scattering in an ultraintense laser field Phys. Plasmas 2002, 94, 325. [Google Scholar]
- Yan, Y.L.; Zhou, X.; Ren, S.L.; Liu, H.; Zhuang, J.W.; Tian, Y.W. Effect of initial position of electron on space radiation of high energy electron. Laser Technol. 2022, 46, 556–560. (In Chinese) [Google Scholar]
- Barton, J.P.; Alexander, D.R. Fifth-order corrected electromagnetic field components for a fundamental Gaussian beam. J. Appl. Phys. 1989, 66, 2800–2802. [Google Scholar] [CrossRef]
- Yariv, A. Quantum Electronics; John Wiley & Sons, Inc.: Hoboken, NJ, USA, 1989; p. 123. [Google Scholar]
- Salamin, Y.I.; Keitel, C.H. Electron acceleration by a tightly focused laser beam. Phys. Rev. Lett. 2002, 88, 095005. [Google Scholar] [CrossRef]
- Zhang, S.Y. Accurate correction field of circularly polarized laser and its acceleration effect. J. At. Mol. Sci. 2010, 1, 308. [Google Scholar] [CrossRef]
- He, F.; Lau, Y.; Umstadter, D.P.; Kowalczyk, R. Backscattering of an intense laser beam by an electron. Phys. Rev. Lett. 2003, 90, 055002. [Google Scholar] [CrossRef]
- He, F.; Yu, W.; Lu, P.; Xu, H.; Qian, L.; Shen, B.; Yuan, X.; Li, R.; Xu, Z. Ponderomotive acceleration of electrons by a tightly focused intense laser beam. Phys. Rev. E 2003, 68, 046407. [Google Scholar] [CrossRef]







Disclaimer/Publisher’s Note: The statements, opinions and data contained in all publications are solely those of the individual author(s) and contributor(s) and not of MDPI and/or the editor(s). MDPI and/or the editor(s) disclaim responsibility for any injury to people or property resulting from any ideas, methods, instructions or products referred to in the content. |
© 2024 by the authors. Licensee MDPI, Basel, Switzerland. This article is an open access article distributed under the terms and conditions of the Creative Commons Attribution (CC BY) license (https://creativecommons.org/licenses/by/4.0/).
Share and Cite
Zhou, Y.; Li, E.; Tian, Y. The Effect of the Initial Phase of a Tightly Focused Laser Pulse on the Emission Characteristics of High-Energy Electrons. Appl. Sci. 2024, 14, 4565. https://doi.org/10.3390/app14114565
Zhou Y, Li E, Tian Y. The Effect of the Initial Phase of a Tightly Focused Laser Pulse on the Emission Characteristics of High-Energy Electrons. Applied Sciences. 2024; 14(11):4565. https://doi.org/10.3390/app14114565
Chicago/Turabian StyleZhou, Yiwei, Erhan Li, and Youwei Tian. 2024. "The Effect of the Initial Phase of a Tightly Focused Laser Pulse on the Emission Characteristics of High-Energy Electrons" Applied Sciences 14, no. 11: 4565. https://doi.org/10.3390/app14114565
APA StyleZhou, Y., Li, E., & Tian, Y. (2024). The Effect of the Initial Phase of a Tightly Focused Laser Pulse on the Emission Characteristics of High-Energy Electrons. Applied Sciences, 14(11), 4565. https://doi.org/10.3390/app14114565

