Next Article in Journal
Identification of Airline Turbulence Using WOA-CatBoost Algorithm in Airborne Quick Access Record (QAR) Data
Previous Article in Journal
Unsupervised Scene Image Text Segmentation Based on Improved CycleGAN
 
 
Font Type:
Arial Georgia Verdana
Font Size:
Aa Aa Aa
Line Spacing:
Column Width:
Background:
Article

Modification of the Reloading Plastic Modulus in Generalized Plasticity Models for Soil by Introducing a New Equation for the Memory Parameter in Cyclic Loadings

1
Department of Civil & Environmental Engineering, Tarbiat Modares University, Tehran 14115-111, Iran
2
Civil Engineering Department, Faculty of Engineering, Shahrekord University, Shahrekord 88186-34141, Iran
3
Faculty of Civil and Environmental Engineering, Gdansk University of Technology, 80-233 Gdansk, Poland
*
Author to whom correspondence should be addressed.
Appl. Sci. 2024, 14(11), 4418; https://doi.org/10.3390/app14114418
Submission received: 2 April 2024 / Revised: 17 May 2024 / Accepted: 21 May 2024 / Published: 23 May 2024
(This article belongs to the Section Civil Engineering)

Abstract

Nowadays, with the widespread supply of very powerful laboratory and computer equipment, it is expected that the analyses conducted for geotechnical problems are carried out with very high precision. Precise analyses lead to better knowledge of structures’ behavior, which, in turn, reduces the costs related to uncertainty of materials’ behavior. A precise analysis necessitates a precise knowledge and definition of the behavior of the constituent materials, which itself requires applying an appropriate constitutive model to show the behavior of materials. Constitutive models used in the generalized plasticity framework are very powerful constitutive models for the simulation of sand behavior. However, the simulation of a cyclic behavior in these models, especially the simulation of the undrained cyclic behavior, is not well-recognized. In this study, in order to eliminate the weakness of generalized constitutive models under cyclic loading, a new equation is presented to substitute the so-called coefficient of the discrete memory factor to consider the loading history in such a way that the plastic modulus is modified during reloading and, as a result, more appropriate predictions of sand behavior are obtained. The performance accuracy of the proposed coefficient was evaluated in accordance with the experimental data. Finally, the results show that after using the modification of the loading history coefficient, predictions of the constitutive model are significantly improved.

1. Introduction

A precise analysis and design need accurate knowledge and definitions of materials’ behavior, which necessitate using an appropriate constitutive model. Accordingly, in recent decades, many researchers in the field of geotechnical engineering have tried to propose and develop suitable and relatively accurate constitutive models to appropriately show the behavior of soils (see, for example, [1,2,3,4]). On the other hand, one of the situations that may result in the failure of structures is related to dynamic and cyclic loading of soils and the related problems, such as liquefaction observed during earthquakes [5,6,7,8,9,10,11,12,13,14]. Therefore, in addition to precise simulation of the soil behavior under monotonic loadings, a suitable constitutive model for the soil behavior under cyclic loadings is essential.
Among different elasto-plastic constitutive models that have been developed in recent decades, the generalized plasticity model has acquired a special position in modeling the mechanical behavior of different types of soil. The constitutive models of this framework are among very powerful constitutive models for the simulation of sand behavior. The generalized plasticity theory and the constitutive model of Pastor–Zienkiewicz (PZ) were developed by Pastor, et al. [15] to predict the behavior of a variety of soils. The basic generalized model of PZ that had been presented as a generalized plasticity framework was successfully used for the simulation of soils’ behavior [5]. However, some limitations of this model restrict its wide application for the analysis of complex soil behavior in various conditions. Therefore, various researchers have proposed different modified models on the basis of the generalized plasticity theory for the improvement of the capability of the main model (see [1,6,15,16,17,18,19,20,21,22]). As a modification, the concept of the state parameter has been used as a tool to associate the sand behavior to density (or the void ratio) and the mean confining stress, and, as a result, to enter the concept of critical state soil mechanics into the constitutive models. Some researchers have entered state parameters into the PZ model using similar methods (e.g., [6,20]).
However, the major drawback of the constitutive models that still exists is the appropriate accuracy of the simulation of sand cyclic behavior, especially in the case of undrained cyclic experiments. It seems that the problem is related to the equation presented for the loading history, which considers the memory parameter HM (also known as the discrete memory factor).
The main reason that the coefficient HM in the previous equations (definitions) cannot play its role in correcting the plastic modulus during unloading and reloading is that this coefficient is only defined based on the stress ratio, while it seems that extra stiffness caused by unloading and reloading in successive cycles is caused by the accumulated plastic strain. On this basis, in this paper, an attempt was made to define this coefficient based on the accumulated plastic strain during cyclic loading in an innovative way.
Accordingly, in this research, a study has been conducted on the loading history equation (memory parameter), HM, and a new equation is proposed for it. In other words, in order to accurately simulate the behavior under cyclic loading, an equation is proposed to consider loading history with a new and innovate approach in such a way that the plastic modulus is modified. The performance accuracy of the proposed coefficient has been evaluated in accordance with experimental data. For this purpose, two types of cyclic data based on two different sands have been provided. First, one-way cyclic triaxial data based on Banding sand from Castro [23] have been used for the validation. These data are based on undrained Banding sand in different initial conditions. Next, a series of two-way cyclic triaxial tests on Shahrekord sand [24] has been applied to validate the performance of the modified constitutive model. These data have been presented under different initial conditions (i.e., void ratio and mean effective stress) and different maximum deviatoric stresses in compression and extension. Several monotonic triaxial data can be found in Ref. [24], based on Shahrekord sand, which are useful for calibrating constitutive models.

2. The Plastic Modulus in the Generalized Model

In the generalized models, the loading/reloading plastic modulus, HL, was proposed as follows (e.g., [6,15]):
H L = H 0 H M p ( 1 η η f ) 4 1 η M g + B 0 B 1 exp ( B 0 ζ ) ,
where η is the stress ratio q p in the current stress situation, α is one of the model parameters that plays a role in the definition of the strain direction, and B 0 , B 1 , and H 0 are other parameters of the model that are calibrated in the definition of the loading/reloading plastic modulus for the desired soil. The parameter HM is a loading history coefficient (memory parameter). The parameter ζ is called the mobilized stress function [15], which is discussed in the next section.
The parameter M g is the slope of the phase transformation line in the space of q p stresses. At the phase transformation (PT) state, the sands exhibit a transition from contractive to dilatant behavior. In the undrained triaxial test, the phase transformation is often defined as the ‘knee’ of the effective stress path, i.e., on the plane q p [25]. At the ‘knee’ of the effective stress path, the increment of the mean effective stress change will be zero, i.e., d p = 0 [26]. The stress path turns its direction on the plane q p , i.e., the point where the effective stress has a ‘knee’ and the effective mean stress reaches a minimum value [25]. A line on the plane q p can exhibit the location of this state or point. This position is known as a quantity dependent on the state parameter.
The parameter η f is defined in the basic generalized model as follows [5,15]:
η f = ( 1 + 1 α ) M f ,
where M f is another model parameter that is used for the definition of the main loading direction. In order to enter the concept of the critical state soil mechanics into the basic generalized model, the relations proposed by Dafalias and Manzari [27] can be used to define M g and η f :
η f = M c exp n b ψ ,
M g = M c exp n d ψ ,
where n b and n d are the parameters of the model, M C is the slope of the failure line in the q p space, and ψ is the state parameter introduced by Been and Jefferies [28]. These equations were extensively used to modify the PZ generalized model (e.g., Ling and Yang [6]).
The critical state (CS) is defined as the ultimate condition in which shearing could continue indefinitely without changes in volume or effective stresses [29]. The critical state line is a unique line in the q p e ( q p v ) space. It is common to project it onto the planes q p and e p ( v p ). The CS line on the plane q p is defined as q = M C p , and it is defined as e = e Γ λ ( p p 0 ) ξ on the plane e p . The concept of the critical state was first proposed for clays; however, a similar concept is used for sand, and it is usually called the steady state.
The parameter η f represents the failure stress ratio, depending on the state parameter. When the soil reaches the critical (steady) state condition ( ψ 0 ), the value of this parameter becomes equal to MC (the slope of the critical state line on the plane q p ).
On the other hand, a separate equation was suggested for the plastic modulus during unloading [5,15,30]:
H u = H u 0 M g η u γ u   f o r    M g η u > 1 H u 0   f o r    M g η u 1 ,
where η u is the stress ratio from which unloading starts. H u 0 and γ u are the other two parameters of the model that are used in the definition of the unloading plastic modulus.
Based on cyclic laboratory results, it is observed that during unloading and reloading, a considerable reduction occurs in the plastic behavior of soil, which can result from a significant increase in the plastic modulus. Accordingly, in the generalized model [5,15], the coefficient HM is introduced to take into account the history of past events during the cyclic loading, which is called the discrete memory factor. The coefficient HM should be defined so that it is equal to one in the initial cycle, and, after that, it increases to a value greater than one in subsequent cycles, based on the stress ratio η . Therefore, the coefficient HM will lead to a higher plastic modulus during reloading compared to the plastic modulus at the first cycle. This is consistent with experimental observations (e.g., Castro [23] and Heidarzadeh, Oliaei, and Komakpanah [3]).
Manzanal, Fernández Merodo, and Pastor [30] defined the coefficient HM in the main constitutive model of generalized plasticity [5,15]. However, it was observed in accordance with laboratory results that the defined equation cannot exhibit the soil behavior in cyclic loadings. Therefore, a new and suitable equation for the definition of the coefficient HM is proposed in this paper so as to enhance the ability of the generalized model in the prediction of soils’ cyclic behavior, especially sandy soils, and the simulation of the liquefaction phenomenon.

3. Criticism of the Loading History Coefficient (Memory Parameter) HM in Generalized Models

In the basic generalized model [5,15], the equation of HM is equal to:
H M = ζ max ζ γ ,
where γ is a parameter of the model.
According to the definition, the coefficient HM should be equal to or greater than unity. In particular, the coefficient HM is equal to unity during loading (the first cycle of the cyclic loading), and its value is larger than unity in the next cycles. For this purpose, it is necessary to consider an additional parameter, ζ , in unidirectional loading; thus, the maximum value of ζ , that is, ζ max , is equal to the current ζ , and, as a result, in accordance with Equation (6), HM will be equal to unity. During unloading, the current value of ζ should be smaller than ζ max ; therefore, the coefficient HM will be higher than unity. As a result, the coefficient may cause the plastic modulus to increase after the first loading cycle, which follows the trend observed in the laboratory (e.g., Castro [23] and Heidarzadeh, Oliaei, and Komakpanah [3]). Thus, the parameter ζ should theoretically be defined in such a way that as the deviatoric stress (or the stress ratio η = q p ) increases, the value of ζ constantly increases. However, the definition of parameter ζ in the PZ constitutive models is as follows [5,15]:
ζ = p 1 1 + α α η M f 1 α ,
Evaluating Equation (7) shows that defined in this way, parameter ζ cannot theoretically meet the aim of the definition of coefficient HM, and the equation for ζ is not an increasing function in terms of the deviatoric stress q (or the stress ratio η ) because Equation (7) can be written in the following way for the typical value of α (0.45):
ζ p 1 3.22 η M f 2.22 = p 1 3.22 η M f 2.22 ,
which introduces a hyperbolic function. The maximum value of this function is equal to one at η = 0 , and, as η gradually increases, it approaches zero. Therefore, this equation cannot theoretically be true because, as it was stated, ζ should be an ascending function, and not a descending one. The typical value of α should be equal to −0.45, and, if it is substituted in Equation (7), we will have:
ζ p 1 + 1.22 η M f 2.22 ,
Equation (9) represents a parabolic function in terms of the variable η , so that the value of the parameter ζ increases with the start of the deviatoric loading and with the increase in the parameter η . Therefore, according to the above explanations, it can be concluded that Equation (7) with a negative value for α can play its role to define ζ and, consequently, HM.
Manzanal, Fernández Merodo, and Pastor [30] used a similar method to define ζ , as in the following equation:
ζ = p 1 α 1 + α η M f 1 α ,
If α = −0.45, Equation (10) takes the form
ζ p 1 + 0.82 η M f 2.22 ,
Thus, it is seen that Equation (11) and, consequently, Equation (10), are practically increasing functions, and there is, theoretically speaking, the possibility that the plastic modulus is modified during reloading using this equation. Therefore, the coefficient HM is used to simulate the cyclic behavior of sand in accordance with the equation given by Manzanal, Fernández Merodo, and Pastor [30]. However, the results obtained from the simulation of soil in cyclic loading is not very favorable, and similar results were observed by Ling and Yang [6] and Zienkiewicz, Chan, Pastor, Schreffer, and Shlomo [5] for the undrained cyclic simulation of sand. Hence, an attempt is undertaken to present an appropriate and innovative equation for ζ and HM so that the predictions of the generalized constitutive model in cyclic loadings are improved in an acceptable manner.
The main reason that the coefficient HM in the previous equations (definitions) cannot play its role in correcting the plastic modulus during unloading and reloading is that this coefficient is only defined based on the stress ratio. Meanwhile, it seems that the extra stiffness caused by unloading and reloading in successive cycles is caused by the accumulated plastic strain. On this basis, in this paper, an attempt was made to define this coefficient based on the accumulated plastic strain during cyclic loading in an innovative way.

4. Definition of a New Equation for Coefficient HM and Modification of the Reloading Plastic Modulus

According to cyclic drained and undrained triaxial laboratory results (e.g., Castro [23] and Heidarzadeh, Oliaei, and Komakpanah [3]), it is seen that a considerable reduction occurs in the plastic behavior of soils during unloading and reloading, which can be due to a significant increase in the plastic modulus. However, in high (great) cycles, especially during undrained cyclic loadings, when the soil approaches the critical (steady) state, significant plastic strains occur in the soil, and the soil’s behavior severely exits the elastic state and approaches the plastic state. In other words, the soil situation approaches the critical (steady) state in the cyclic loading, particularly in the case of occurrence of the liquefaction phenomenon in the undrained sand, when the behavior becomes severely plastic, which can be attributed to a considerable decrease in the plastic modulus. Therefore, the following modification of coefficient HM is proposed, which indeed introduces the loading history so as to increase the accuracy of the model’s predictions in cyclic loadings.
H M D = e a p e p n ,
where n is a parameter of the model, e a p is the value of accumulative deviatoric plastic strain, e a p = d e i j p , and e   p is the value of the deviatoric plastic strain. d e i j p is the deviatoric plastic strain growth during loading/unloading, and it is computable in each step as follows:
d e i j p = d ε i j p d ε k k p 3 δ i j ,
d e i j p = ( d e i j p · d e i j p ) 0.5 ,
where d ε i j p is the increment of the plastic strain, and δ i j is the Kronecker delta.
The deviatoric plastic strain tensor, e i j p , is also calculated as follows, given the plastic strain tensor ε i j p :
e i j p = ε i j p ε k k p 3 δ i j ,
e p = ( e i j p · e i j p ) 0.5 ,
It is evident that the values of e a p and e   p are equal during the unidirectional loading and, as a result, HM will be equal to unity. However, the value of e a p will be higher than e   p during reloading and, as a result, the coefficient HM will have a value larger than unity. In high plastic strains, in which the soil situation approaches the critical (steady) state, the values of e a p and e   p gradually become closer to each other, and the coefficient HM will also approach unity, which can precisely simulate the trend seen in laboratory data.
In addition, in order to achieve more desirable predictions, the parameter n in Equation (12) can also be defined as a function of the accumulative deviatoric plastic strain, e a p , such that the value of the parameter n is reduced as e a p increases (see Figure 1), including, for example, through the use of functions, such as
n = a csch ( b e a p ) ,
or
n = a × exp ( b e a p ) ,
And, as a result, parameters a and b can be calibrated for the desired soil instead of the parameter n.

5. Verification of Modified Coefficient of the Plastic Modulus HM in Cyclic Loadings

There are two types of cyclic undrained triaxial data based on the Banding sand and the Shahrekord sand that were used to verify the coefficient HM in the improvement of the generalized constitutive model. These data show sand behavior under various conditions and loadings. The PZ model [15], which was modified to consider the critical state soil mechanics through use of the equations presented by Dafalias and Manzari [27], has been calibrated for these two sands (i.e., Banding sand and Shahrekord sand), and the calibrated parameters are shown in Table 1. The values of these parameters are the same for both constitutive models (i.e., the original and the modified model).
Then, the parameters associated with the coefficient HM have been calibrated in order to adjust the plastic modulus during the unloading and reloading cycles. Table 2 presents the values of parameters related to this coefficient separately for the original model and the modified model. It should be noted that Equation (18) has been applied to calculate the parameter n in the presented predictions of the developed constitutive model.
Now, given the generalized constitutive model parameters obtained for the Banding sand, the cyclic loading simulation of the Banding sand is presented in Figure 2, Figure 3, Figure 4 and Figure 5 in accordance with the values calibrated based on laboratory data. Figure 2 and Figure 4 are related to the use of Equation (6) for the coefficient of HM in the generalized model, while Figure 3 and Figure 5 show the generalized model predictions when the modified equation of HM (Equation (12)) is used. In these figures, the presentation method based on the stress ratio q/p’ makes it easier to see the process of reaching the critical (steady) state of soil samples.
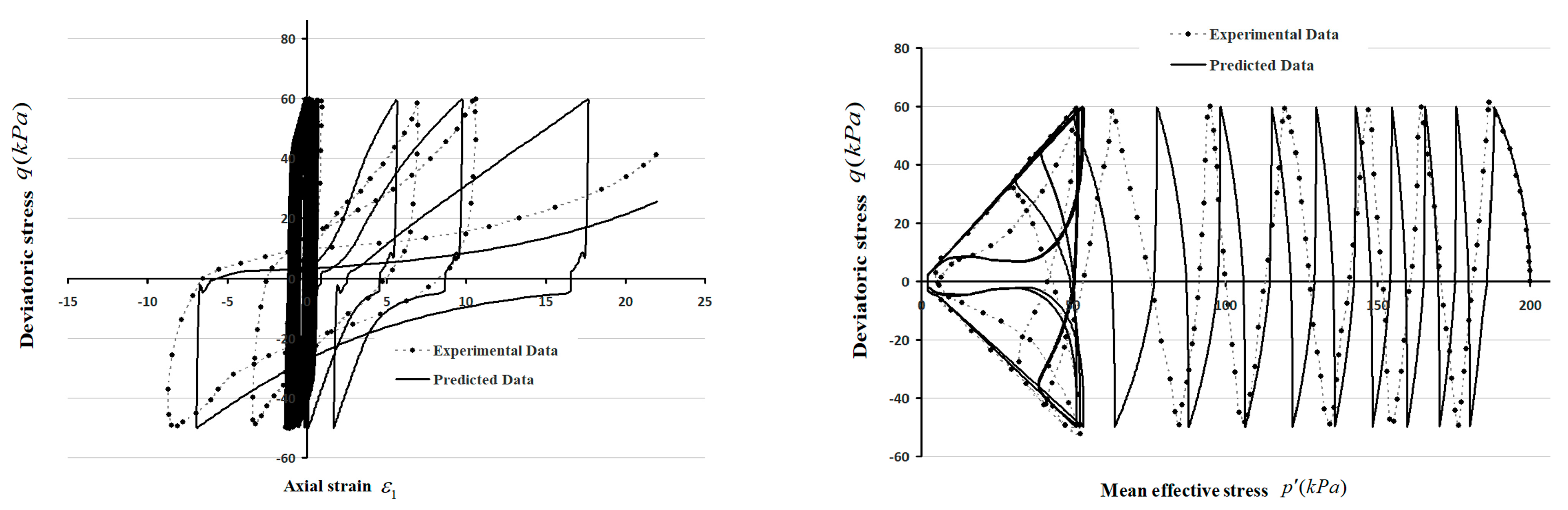
As seen from Figure 2 and Figure 4, the parameter HM calculated by using Equation (6) causes a very high plastic modulus to be created at the beginning of the loading, and the soil suddenly reaches the liquefaction state. In other words, the deformation and stress change process during the cyclic loading is not displayed well, and the steep slope of the diagram during unloading/reloading causes loading cycles to be focused on the beginning parts of the diagram and the liquefaction suddenly occurs. It should be underlined that predictions similar to these shown in Figure 2 and Figure 4 can also be seen in the studies by Ling and Yang [6], Manzanal, Fernández Merodo, and Pastor [30], and so on. On the other hand, based on Figure 3 and Figure 5, which are related to the modified equation of HM (Equation (12)), it can be concluded that the predictions of the constitutive model are more appropriate than in the previous case, and they are compatible with the results observed in the laboratory as the ascending and descending trend in the plastic modulus is exhibited in accordance with the cyclic triaxial laboratory observations. As it can be seen, using the modified coefficient HM, the model can predict the number and amplitude of cycles until reaching the critical (steady) and the liquefaction states. Therefore, in a nutshell, it can be concluded that the modified equation of HM proposed in this study has affected the results of the generalized model predictions and promoted its power to predict the sand behavior.
In addition, various predictions of the two-way cyclic behavior of undrained Shahrekord sand are presented in Figure 6, Figure 7, Figure 8, Figure 9, Figure 10, Figure 11, Figure 12 and Figure 13. Figure 6 and Figure 7 are related to the initial state of the sand, with a void ratio of 0.628 and an initial mean effective stress of 120 kPa. In this case, the compression part has a maximum deviatoric stress of 60 kPa, and the extension part has a maximum deviatoric stress of 50 kPa. Figure 6 shows the predictions of the generalized constitutive model in comparison with the experimental data. On the other hand, in Figure 7, the predictions of this constitutive model are presented after the modification of the coefficient HM. By comparing these figures, it is clear that the predictions have improved, especially in the stress–strain curve. Furthermore, Figure 8 and Figure 9 show the undrained cyclic sand behavior with an initial void ratio of 0.628 for an initial mean effective stress of 200 kPa. The performance of the generalized constitutive model can be compared before and after the modification of the coefficient HM. The model’s performance significantly improves during unloading and reloading. Figure 10 and Figure 11 correspond to the case where the sand has an initial void ratio of 0.647 for an initial mean effective stress of 120 kPa. As shown in Figure 10, the constitutive model has reached the critical sate (CS) line (on the plane q-p’) in one cycle, and large strains have occurred before the correction of the coefficient HM. But, after modification of the coefficient HM, the constitutive model has been able to simulate the number of cycles to reach the CS line and the stress–strain behavior as well.
Figure 12 and Figure 13 show different states of sand. In this case, the sample has an initial stress of 300 kPa and a void ratio of 0.668; that is, it is in a loose state. With cyclic loading, as soon as the sample reaches the CL line in the plane q-p’, it reaches a critical (steady) state line in the plane e-p’, and then the complete failure (steady state) occurs. Although the generalized constitutive model has been able to model the stress–strain behavior well at the moment of the steady state, it cannot represent the hysteresis loops before reaching this state. However, after the modification of the coefficient HM, the constitutive model has been able to represent the hysteresis loops before reaching the steady state.
Therefore, by comparing the presented figures, it can be concluded in a summary that the modification of the coefficient HM based on the method mentioned in this research has a noticeable effect on the improvement of the generalized constitutive model results. The results of the simulations of the generalized constitutive model in undrained cyclic loads have improved significantly by modifying this coefficient in both one-way and two-way cycles.

6. Conclusions

The prediction of the precise behavior of sand, particularly in cyclic loading, is one of the issues that is currently the subject of many studies, mainly because of the occurrence of the liquefaction phenomenon and due to the need to forecast and safely design geotechnical structures. In particular, it is important to investigate the cyclic behavior of sand and accurately simulate the soil’s behavior in different loading conditions. The constitutive models within the generalized plasticity frameworks are among the most advanced and successful constitutive models used to simulate the sand behavior. However, the equation of the memory parameter HM, suggested in these models to consider the loading history, cannot display the cyclic behavior of sand soils well. Therefore, in this study, a new equation for the coefficient HM has been proposed so as to improve the generalized constitutive model predictions.
In order to evaluate the performance of the constitutive model with the modified coefficient HM, various data were prepared from two different sands under one-way and two-way cyclic triaxial tests on undrained sands. By comparing the performance of the generalized constitutive model before and after HM modification, and also by comparing them with experimental data, it was observed that the modified coefficient HM can have a significant effect on improving the predictions of this constitutive model. In other words, its efficiency has been assessed in accordance with the laboratory data. The results of the study show that the proposed modified equation of HM allows for predictions of sand behavior to be significantly improved.

Author Contributions

Conceptualization, H.H.; methodology, M.O.; software, M.O.; validation, R.K. and R.J.; formal analysis, H.H.; investigation, M.O.; data curation, R.K.; visualization, H.H.; writing—original draft preparation, M.O.; writing—review and editing, R.J. All authors have read and agreed to the published version of the manuscript.

Funding

This research received no external funding.

Institutional Review Board Statement

Not applicable.

Informed Consent Statement

Not applicable.

Data Availability Statement

Dataset available upon request from the authors.

Conflicts of Interest

The authors declare no conflicts of interest.

References

  1. Bian, S.; Mi, Z.; Li, G.; Ai, Y.; Du, G. Unified modeling behavior of rockfill materials along different loading stress paths. Soils Found. 2022, 62, 101155. [Google Scholar] [CrossRef]
  2. Iraji, A.; Farzaneh, O.; Hosseininia, E.S. A modification to dense sand dynamic simulation capability of Pastor–Zienkiewicz–Chan model. Acta Geotech. 2014, 9, 343–353. [Google Scholar] [CrossRef]
  3. Heidarzadeh, H.; Oliaei, M.; Komakpanah, A. A Developed Constitutive Model for Sand and Clay under Monotonic and Cyclic Loadings. Int. J. Geomech. 2023, 23, 04023133. [Google Scholar] [CrossRef]
  4. Chen, J. A monotonic bounding surface critical state model for clays. Acta Geotech. 2017, 12, 225–230. [Google Scholar] [CrossRef]
  5. Zienkiewicz, O.C.; Chan, A.H.C.; Pastor, M.; Schreffer, B.A.; Shlomo, T. Computational Geomechanics with Special Reference to Earthquake Engineering; John Wiley & Sons: New York, NY, USA, 1999; p. 400. [Google Scholar]
  6. Ling, H.I.; Yang, S. Unified Sand Model Based on the Critical State and Generalized Plasticity. J. Eng. Mech. 2006, 132, 1380–1391. [Google Scholar] [CrossRef]
  7. Sawicki, A.; Kulczykowski, M.; Jankowski, R. Estimation of stresses in a dry sand layer tested on shaking table. Arch. Hydro-Eng. Environ. Mech. 2012, 59, 101–112. [Google Scholar] [CrossRef]
  8. Zhang, K.-y.; Charkley, F.N. An anisotropic constitutive model of geomaterials based on true triaxial testing and its application. J. Cent. South Univ. 2017, 24, 1430–1442. [Google Scholar] [CrossRef]
  9. Kamgar, R.; Tavakoli, R.; Rahgozar, P.; Jankowski, R. Application of discrete wavelet transform in seismic nonlinear analysis of soil-structure interaction problems. Earthq. Spectra 2021, 37, 1980–2012. [Google Scholar] [CrossRef]
  10. Korzec, A.; Jankowski, R. Extended Newmark method to assess stability of slope under bidirectional seismic loading. Soil Dyn. Earthq. Eng. 2021, 143, 106600. [Google Scholar] [CrossRef]
  11. Saqib, M.; Das, A.; Patra, N.R. A Constitutive Model for Cyclic Loading Response of Crushable Sand. Indian Geotech. J. 2022, 52, 1253–1266. [Google Scholar] [CrossRef]
  12. Terzi, V.G.; Manolis, G.D. Basic numerical modelling issues in dynamic soil-tunnel interaction. Soil Dyn. Earthq. Eng. 2023, 172, 108060. [Google Scholar] [CrossRef]
  13. Xu, L.-Y.; Chen, W.-Y.; Cai, F.; Song, Z.; Pan, J.-M.; Chen, G.-X. Response of soil–pile–superstructure–quay wall system to lateral displacement under horizontal and vertical earthquake excitations. Bull. Earthq. Eng. 2023, 21, 1173–1202. [Google Scholar] [CrossRef]
  14. Raveshi, M.; Noorzad, R. Liquefaction analysis of sand-tire mixture with a critical state two-surface plasticity model. Innov. Infrastruct. Solut. 2023, 8, 285. [Google Scholar] [CrossRef]
  15. Pastor, M.; Zienkiewicz, O.C.; Chan, A.H.C. Generalized plasticity and the modelling of soil behaviour. Int. J. Numer. Anal. Methods Geomech. 1990, 14, 151–190. [Google Scholar] [CrossRef]
  16. Ledesma, O.; Manzanal, D.; Sfriso, A. Formulation and numerical implementation of a state parameter-based generalized plasticity model for mine tailings. Comput. Geotech. 2021, 135, 104158. [Google Scholar] [CrossRef]
  17. Dou, W.; Xu, Z.; Hu, H.; Huang, F. A generalized plasticity model incorporating stress state, strain rate and temperature effects. Int. J. Impact Eng. 2021, 155, 103897. [Google Scholar] [CrossRef]
  18. Gao, Y.; Yu, Y.; Zhang, X.; Wang, X.; Zhan, Z. Modified anisotropic generalized plasticity model for rockfills based on spatial mobilized plane. Comput. Geotech. 2022, 144, 104628. [Google Scholar] [CrossRef]
  19. García-García, M.; Manzanal, D.; Pastor, M. Anisotropy state variable based on phase transformation for generalized plasticity constitutive model. Acta Geotech. 2023, 19, 899–916. [Google Scholar] [CrossRef]
  20. Iraji, A.; Farzaneh, O. Two-phase model for nonlinear elasto-plastic behavior of reinforced soil structures using Pastor-Zienkiewicz-Chan model for matrix phase. Soils Found. 2017, 57, 1014–1029. [Google Scholar] [CrossRef]
  21. Zhang, H.W.; Sanavia, L.; Schrefler, B.A. Numerical analysis of dynamic strain localisation in initially water saturated dense sand with a modified generalised plasticity model. Comput. Struct. 2001, 79, 441–459. [Google Scholar] [CrossRef]
  22. Fernandez Merodo, J.A.; Pastor, M.; Mira, P.; Tonni, L.; Herreros, M.I.; Gonzalez, E.; Tamagnini, R. Modelling of diffuse failure mechanisms of catastrophic landslides. Comput. Methods Appl. Mech. Eng. 2004, 193, 2911–2939. [Google Scholar] [CrossRef]
  23. Castro, G. Liquefaction of Sands. Ph.D. Thesis, Harvard Soil Mech, Harvard University, Cambridge, MA, USA, 1969. Volume 81. [Google Scholar]
  24. Heidarzadeh, H.; Kamgar, R. Necessity of applying the concept of the steady state on the numerical analyses of excavation issues: Laboratory, field and numerical investigations. Geomech. Geoengin. 2022, 17, 413–425. [Google Scholar] [CrossRef]
  25. Lade, P.V.; Ibsen, L.B. A Study of the Phase Transformation and the Characteristic Lines of Sand Behaviour. In AAU Geotechnical Engineering Papers: Soil Mechanics; Geotechnical Engineering Group: Nagoya, Japan, 1997; Volume R 9702, pp. 353–359. [Google Scholar]
  26. Nguyen, H.B.K.; Rahman, M.M.; Karim, M.R. The Phase Transformation under Undrained and Drained Triaxial Conditions by the Discrete Element Method. In Proceedings of the Eighth International Conference on Case Histories in Geotechnical Engineering, Philadelphia, PA, USA, 24–27 March 2019; pp. 40–47. [Google Scholar]
  27. Dafalias, Y.F.; Manzari, M.T. Simple Plasticity Sand Model Accounting for Fabric Change Effects. J. Eng. Mech. 2004, 130, 622–634. [Google Scholar] [CrossRef]
  28. Been, K.; Jefferies, M.G. A state parameter for sands. Géotechnique 1985, 35, 99–112. [Google Scholar] [CrossRef]
  29. Kang, X.; Xia, Z.; Chen, R.; Ge, L.; Liu, X. The critical state and steady state of sand: A literature review. Mar. Georesources Geotechnol. 2019, 37, 1105–1118. [Google Scholar] [CrossRef]
  30. Manzanal, D.; Fernández Merodo, J.A.; Pastor, M. Generalized plasticity state parameter-based model for saturated and unsaturated soils. Part 1: Saturated state. Int. J. Numer. Anal. Methods Geomech. 2011, 35, 1347–1362. [Google Scholar] [CrossRef]
Figure 1. Schematic changes of the parameter n in terms of the value of the deviatoric plastic strain during cyclic loading based on two equations: (a) Equation (18) and (b) Equation (17).
Figure 1. Schematic changes of the parameter n in terms of the value of the deviatoric plastic strain during cyclic loading based on two equations: (a) Equation (18) and (b) Equation (17).
Applsci 14 04418 g001
Figure 2. Comparison of the constitutive model predictions with the undrained cyclic triaxial laboratory data based on the Banding sand in a void ratio of 0.755 before modification of the coefficient HM.
Figure 2. Comparison of the constitutive model predictions with the undrained cyclic triaxial laboratory data based on the Banding sand in a void ratio of 0.755 before modification of the coefficient HM.
Applsci 14 04418 g002
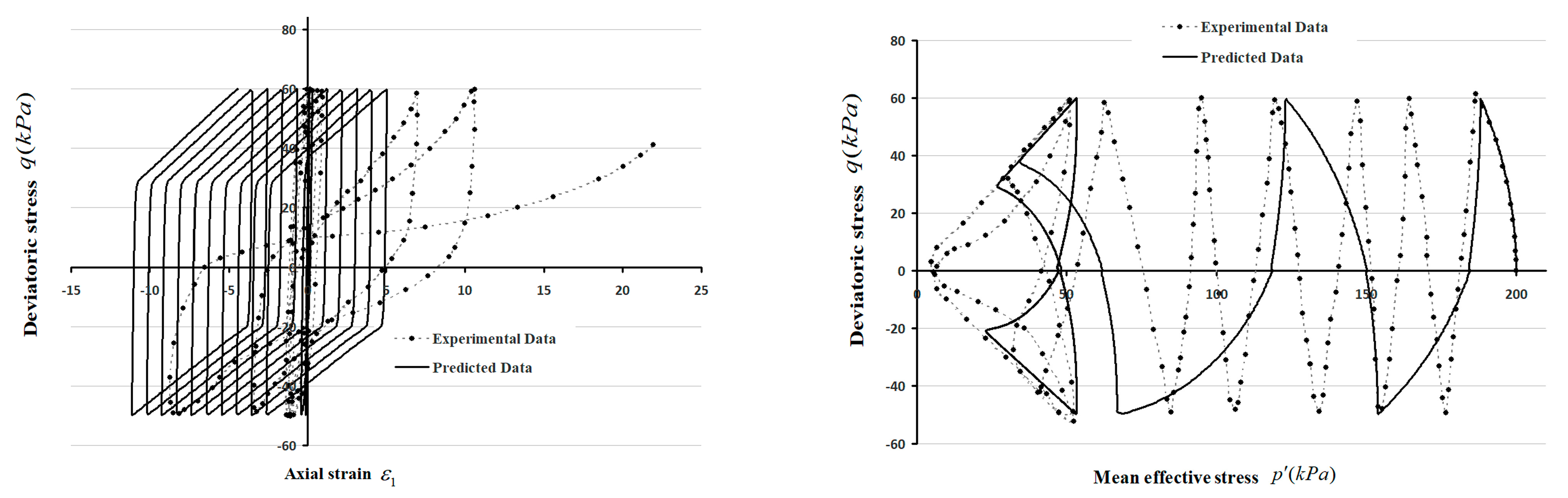
Figure 3. Comparison of the constitutive model predictions with the undrained cyclic triaxial laboratory data based on the Banding sand in a void ratio of 0.755 after modification of the coefficient HM.
Figure 3. Comparison of the constitutive model predictions with the undrained cyclic triaxial laboratory data based on the Banding sand in a void ratio of 0.755 after modification of the coefficient HM.
Applsci 14 04418 g003aApplsci 14 04418 g003b
Figure 4. Comparison of the constitutive model predictions with the undrained cyclic triaxial laboratory data based on the Banding sand in a void ratio of 0.729 before modification of the coefficient HM.
Figure 4. Comparison of the constitutive model predictions with the undrained cyclic triaxial laboratory data based on the Banding sand in a void ratio of 0.729 before modification of the coefficient HM.
Applsci 14 04418 g004
Figure 5. Comparison of the constitutive model predictions with the undrained cyclic triaxial laboratory data based on the Banding sand in a void ratio of 0.729 after modification of the coefficient HM.
Figure 5. Comparison of the constitutive model predictions with the undrained cyclic triaxial laboratory data based on the Banding sand in a void ratio of 0.729 after modification of the coefficient HM.
Applsci 14 04418 g005aApplsci 14 04418 g005b
Figure 6. Comparison of the constitutive model predictions with the undrained cyclic triaxial data based on the Shahrekord sand with e = 0.628 for initial mean effective stress 120 kPa before modification of the coefficient HM.
Figure 6. Comparison of the constitutive model predictions with the undrained cyclic triaxial data based on the Shahrekord sand with e = 0.628 for initial mean effective stress 120 kPa before modification of the coefficient HM.
Applsci 14 04418 g006
Figure 7. Comparison of the constitutive model predictions with the undrained cyclic triaxial data based on the Shahrekord sand with e = 0.628 for initial mean effective stress 120 kPa after modification of the coefficient HM.
Figure 7. Comparison of the constitutive model predictions with the undrained cyclic triaxial data based on the Shahrekord sand with e = 0.628 for initial mean effective stress 120 kPa after modification of the coefficient HM.
Applsci 14 04418 g007
Figure 8. Comparison of the constitutive model predictions with the undrained cyclic triaxial data based on the Shahrekord sand with e = 0.628 for initial mean effective stress 200 kPa before modification of the coefficient HM.
Figure 8. Comparison of the constitutive model predictions with the undrained cyclic triaxial data based on the Shahrekord sand with e = 0.628 for initial mean effective stress 200 kPa before modification of the coefficient HM.
Applsci 14 04418 g008
Figure 9. Comparison of the constitutive model predictions with the undrained cyclic triaxial data based on the Shahrekord sand with e = 0.628 for initial mean effective stress 200 kPa after modification of the coefficient HM.
Figure 9. Comparison of the constitutive model predictions with the undrained cyclic triaxial data based on the Shahrekord sand with e = 0.628 for initial mean effective stress 200 kPa after modification of the coefficient HM.
Applsci 14 04418 g009
Figure 10. Comparison of the constitutive model predictions with the undrained cyclic triaxial data based on the Shahrekord sand with e = 0.647 for initial mean effective stress 120 kPa before modification of the coefficient HM.
Figure 10. Comparison of the constitutive model predictions with the undrained cyclic triaxial data based on the Shahrekord sand with e = 0.647 for initial mean effective stress 120 kPa before modification of the coefficient HM.
Applsci 14 04418 g010
Figure 11. Comparison of the constitutive model predictions with the undrained cyclic triaxial data based on the Shahrekord sand with e = 0.647 for initial mean effective stress 120 kPa after modification of the coefficient HM.
Figure 11. Comparison of the constitutive model predictions with the undrained cyclic triaxial data based on the Shahrekord sand with e = 0.647 for initial mean effective stress 120 kPa after modification of the coefficient HM.
Applsci 14 04418 g011
Figure 12. Comparison of the constitutive model predictions with the undrained cyclic triaxial data based on the Shahrekord sand with e = 0.668 for initial mean effective stress 300 kPa before modification of the coefficient HM.
Figure 12. Comparison of the constitutive model predictions with the undrained cyclic triaxial data based on the Shahrekord sand with e = 0.668 for initial mean effective stress 300 kPa before modification of the coefficient HM.
Applsci 14 04418 g012
Figure 13. Comparison of the constitutive model predictions with the undrained cyclic triaxial data based on the Shahrekord sand with e = 0.668 for initial mean effective stress 300 kPa after modification of the coefficient HM.
Figure 13. Comparison of the constitutive model predictions with the undrained cyclic triaxial data based on the Shahrekord sand with e = 0.668 for initial mean effective stress 300 kPa after modification of the coefficient HM.
Applsci 14 04418 g013
Table 1. Calibrated parameters of the generalized constitutive model (common to both the original and the modified model).
Table 1. Calibrated parameters of the generalized constitutive model (common to both the original and the modified model).
ParametersλeΓξMcαK0 (kPa)G0 (kPa)B0B1H0Hu0 γ u nbnd
Banding sand0.02650.70530.71.10.4552,50035,0004.20.235060021.11.1
Shahrekord sand0.0210.6730.651.180.4530,50018,5003.40.34007001.611
Table 2. Parameters related to the coefficient HM.
Table 2. Parameters related to the coefficient HM.
ParametersOriginal ModelModified Model
γ ab
Banding sand4.03.70
Shahrekord sand0.6220
Disclaimer/Publisher’s Note: The statements, opinions and data contained in all publications are solely those of the individual author(s) and contributor(s) and not of MDPI and/or the editor(s). MDPI and/or the editor(s) disclaim responsibility for any injury to people or property resulting from any ideas, methods, instructions or products referred to in the content.

Share and Cite

MDPI and ACS Style

Oliaei, M.; Kamgar, R.; Heidarzadeh, H.; Jankowski, R. Modification of the Reloading Plastic Modulus in Generalized Plasticity Models for Soil by Introducing a New Equation for the Memory Parameter in Cyclic Loadings. Appl. Sci. 2024, 14, 4418. https://doi.org/10.3390/app14114418

AMA Style

Oliaei M, Kamgar R, Heidarzadeh H, Jankowski R. Modification of the Reloading Plastic Modulus in Generalized Plasticity Models for Soil by Introducing a New Equation for the Memory Parameter in Cyclic Loadings. Applied Sciences. 2024; 14(11):4418. https://doi.org/10.3390/app14114418

Chicago/Turabian Style

Oliaei, Mohammad, Reza Kamgar, Heisam Heidarzadeh, and Robert Jankowski. 2024. "Modification of the Reloading Plastic Modulus in Generalized Plasticity Models for Soil by Introducing a New Equation for the Memory Parameter in Cyclic Loadings" Applied Sciences 14, no. 11: 4418. https://doi.org/10.3390/app14114418

APA Style

Oliaei, M., Kamgar, R., Heidarzadeh, H., & Jankowski, R. (2024). Modification of the Reloading Plastic Modulus in Generalized Plasticity Models for Soil by Introducing a New Equation for the Memory Parameter in Cyclic Loadings. Applied Sciences, 14(11), 4418. https://doi.org/10.3390/app14114418

Note that from the first issue of 2016, this journal uses article numbers instead of page numbers. See further details here.

Article Metrics

Back to TopTop