Harnessing Agri-Food Waste as a Source of Biopolymers for Agriculture
Abstract
1. Introduction
2. Sources of Biopolymers
2.1. Lignin: Extraction Methods and Applications in Agriculture
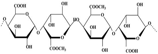
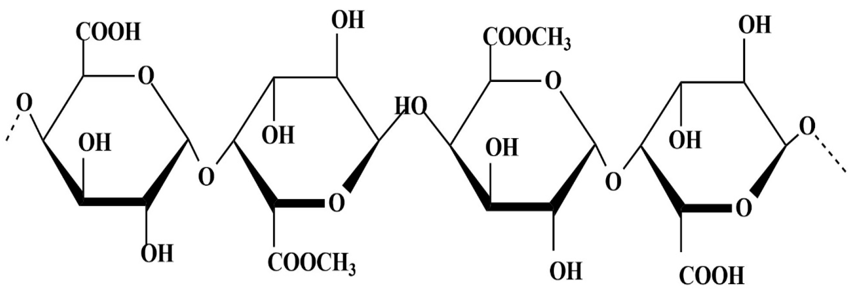
2.2. Pectin: Importance and Applicability as Biopolymer
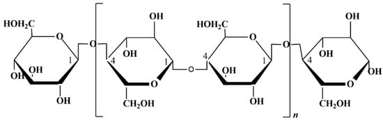
2.3. Starch: A Promising Biopolymer for Agricultural Applications
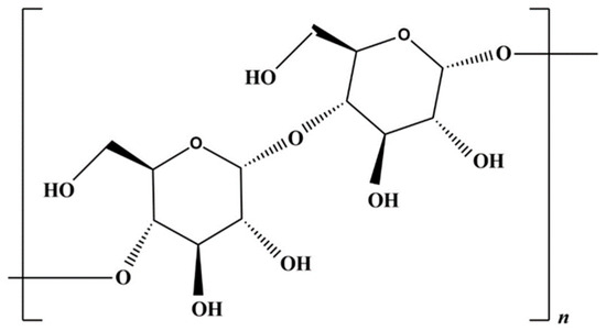
2.4. Cellulose: A Resourceful Biopolymer in All Its Forms
2.5. Chitosan, an Important Adjuvant for Plant, Fruit, and Seed Protection
2.6. Polyhydroxyalkanoates (PHAs): A Versatile and Biodegradable Bioplastic
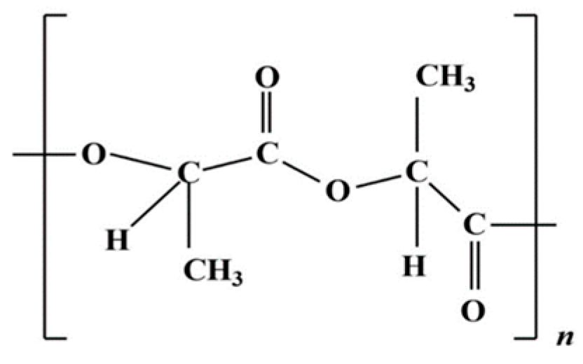
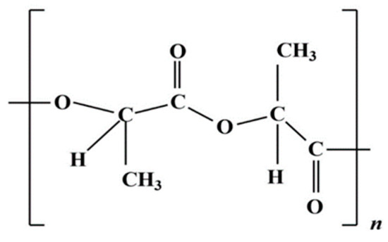
2.7. Polylactic Acid (PLA): A Non-Toxic Alternative for Mulching Films and Food Packaging
3. Sustainable Strategies and Future Challenges for AFW Disposal
4. Conclusions
Author Contributions
Funding
Conflicts of Interest
Abbreviations
| AFW | Agri-food waste |
| NaDES | Natural deep eutectic solvents |
| UA | Ultrasound assisted |
| US | Ultrasounds |
| ChLA | Choline chloride-lactic acid |
| ChLevA | Choline chloride-levulinic acid |
| ChLAGly | Choline chloride-lactic acid-glycine |
| PLA | Polylactic acid |
| SWE | Subcritical water extraction |
| MAE | Microwave assisted extraction |
| PUAE | Pulsed ultrasound assisted extraction |
| HAE | Hot acid extraction |
| BC | Bacterial cellulose |
| CMC | Carboxymethyl cellulose |
| PVA | Polyvinyl alcohol |
| HDPE | High density polyethylene |
| GlcNAC | N-Acetylglucosamine |
| GlcN | Glucosamine |
| FF | Feast and famine |
| SBR | Sequencing batch reactor |
| ORL | Organic loading rate |
| PHBV | Poly(3-hydroxybutyrate-co-3-hydroxyvalerate) |
| SFP | Soluble fermentation products |
| PBAT | Polybutylene adipate terephthalate |
| AAT | Accelerated aging test |
| PCV | Polycaprolactone |
| LA | Lactic acid |
| GHG | Greenhouse gases |
References
- Bioplastics Market Development Update 2023. Available online: https://www.european-bioplastics.org/market/ (accessed on 19 February 2024).
- Visco, A.; Scolaro, C.; Facchin, M.; Brahimi, S.; Belhamdi, H.; Gatto, V.; Beghetto, V. Agri-Food Wastes for Bioplastics: European Prospective on Possible Applications in Their Second Life for a Circular Economy. Polymers 2022, 14, 2752. [Google Scholar] [CrossRef] [PubMed]
- Yates, M.R.; Barlow, C.Y. Life Cycle Assessments of Biodegradable, Commercial Biopolymers—A Critical Review. Resour. Conserv. Recycl. 2013, 78, 54–66. [Google Scholar] [CrossRef]
- Jorge, A.M.S.; Gaspar, M.C.; Henriques, M.H.F.; Braga, M.E.M. Edible Films Produced from Agrifood By-Products and Wastes. Innov. Food Sci. Emerg. Technol. 2023, 88, 103442. [Google Scholar] [CrossRef]
- Ensure Sustainable Consumption and Production Patterns. Available online: https://sdgs.un.org/goals/goal12 (accessed on 20 February 2024).
- Voss, M.; Gaudino, E.C.; Tabasso, S.; Forte, C.; Cravotto, G. Current Emerging Green Technologies for the Valorization of Grape and Cherry Wastes. Curr. Food Sci. Technol. Rep. 2023, 1, 47–61. [Google Scholar] [CrossRef]
- Valdés, A.; Mellinas, A.C.; Ramos, M.; Burgos, N.; Jiménez, A.; Garrigós, M.C. Use of Herbs, Spices and Their Bioactive Compounds in Active Food Packaging. RSC Adv. 2015, 5, 40324–40335. [Google Scholar] [CrossRef]
- Bolaji, I.; Nejad, B.; Billham, M.; Mehta, N.; Smyth, B.; Cunningham, E. Multi-Criteria Decision Analysis of Agri-Food Waste as a Feedstock for Biopolymer Production. Resour. Conserv. Recycl. 2021, 172, 105671. [Google Scholar] [CrossRef]
- Nabuurs, G.-J.; Aoki, L.; Humpenöder, F.; Boone Kauffman, J.; Ayala-Niño, F.; Emmet-Booth, J.P.; Mrabet, R.; Abu Hatab, A.; Bustamante, M.; Clark, H.; et al. 7—Agriculture, Forestry and Other Land Uses (AFOLU). In Climate Change 2022—Mitigation of Climate Change: Working Group III Contribution to the Sixth Assessment Report of the Intergovernmental Panel on Climate Change; Cambridge University Press: Cambridge, UK, 2023. [Google Scholar] [CrossRef]
- Fahim, I.S.; Chbib, H.; Mahmoud, H.M. The Synthesis, Production & Economic Feasibility of Manufacturing PLA from Agricultural Waste. Sustain. Chem. Pharm. 2019, 12, 100142. [Google Scholar] [CrossRef]
- Puglia, D.; Pezzolla, D.; Gigliotti, G.; Torre, L.; Bartucca, M.L.; Del Buono, D. The Opportunity of Valorizing Agricultural Waste, through Its Conversion into Biostimulants, Biofertilizers, and Biopolymers. Sustainability 2021, 13, 2710. [Google Scholar] [CrossRef]
- Pu, W.; Shen, C.; Wei, B.; Yang, Y.; Li, Y. A Comprehensive Review of Polysaccharide Biopolymers for Enhanced Oil Recovery (EOR) from Flask to Field. J. Ind. Eng. Chem. 2018, 61, 1–11. [Google Scholar] [CrossRef]
- Maraveas, C. Environmental Sustainability of Greenhouse Covering Materials. Sustainability 2019, 11, 6129. [Google Scholar] [CrossRef]
- Kalia, S.; Avérous, L. Biopolymers: Biomedical and Environmental Applications; Scrivener Publishing: Austin, TX, USA, 2011; ISBN 978-0-470-63923-8. [Google Scholar]
- Klein, M.; Poverenov, E. Natural Biopolymer-Based Hydrogels for Use in Food and Agriculture. J. Sci. Food Agric. 2020, 100, 2337–2347. [Google Scholar] [CrossRef]
- Brunow, G. Lignin Chemistry and Its Role in Biomass Conversion. In Biorefineries-Industrial Processes and Products: Status Quo and Future Directions; Wiley-VCH Verlag GmbH: Weinheim, Germany, 2008; Volume 2, pp. 151–163. ISBN 3527310274. [Google Scholar]
- Collins, M.N.; Nechifor, M.; Tanasă, F.; Zănoagă, M.; McLoughlin, A.; Stróżyk, M.A.; Culebras, M.; Teacă, C.A. Valorization of Lignin in Polymer and Composite Systems for Advanced Engineering Applications—A Review. Int. J. Biol. Macromol. 2019, 131, 828–849. [Google Scholar] [CrossRef]
- Yu, O.; Kim, K.H. Lignin to Materials: A Focused Review on Recent Novel Lignin Applications. Appl. Sci. 2020, 10, 4626. [Google Scholar] [CrossRef]
- Aro, T.; Fatehi, P. Production and Application of Lignosulfonates and Sulfonated Lignin. ChemSusChem 2017, 10, 1861–1877. [Google Scholar] [CrossRef]
- Cassoni, A.C.; Costa, P.; Vasconcelos, M.W.; Pintado, M. Systematic Review on Lignin Valorization in the Agro-Food System: From Sources to Applications. J. Environ. Manag. 2022, 317, 115258. [Google Scholar] [CrossRef]
- Lu, X.; Gu, X. A Review on Lignin Pyrolysis: Pyrolytic Behavior, Mechanism, and Relevant Upgrading for Improving Process Efficiency. Biotechnol. Biofuels Bioprod. 2022, 15, 106. [Google Scholar] [CrossRef] [PubMed]
- Liu, Z.; Peng, X.; Xu, Y.; Tang, T.; Wei, S.; Liu, B.; Wang, D.; Wang, H.M.; Jiang, J. Macromolecular Structural Characteristics and Functional Potential of Tobacco Stalk Lignin from the Phosphotungstic Acid-Assisted Delignification Process. Biomass Bioenergy 2023, 170, 106706. [Google Scholar] [CrossRef]
- Salgado-Ramos, M.; Tabasso, S.; Calcio Gaudino, E.; Moreno, A.; Mariatti, F.; Cravotto, G. An Innovative, Green Cascade Protocol for Grape Stalk Valorization with Process Intensification Technologies. Appl. Sci. 2022, 12, 7417. [Google Scholar] [CrossRef]
- Yang, X.; Li, X.; Zhu, L.; Liang, J.; Zhu, J. Production of Hemicellulose Sugars Combined with the Alkaline Extraction Lignin Increased the Hydro-Depolymerization of Cellulose from Corn Cob. Sustainability 2023, 15, 9041. [Google Scholar] [CrossRef]
- Fialho, J.; Moniz, P.; Duarte, L.C.; Carvalheiro, F. Green Fractionation Approaches for the Integrated Upgrade of Corn Cobs. ChemEngineering 2023, 7, 35. [Google Scholar] [CrossRef]
- Banerjee, R.; Chintagunta, A.D.; Ray, S. Laccase Mediated Delignification of Pineapple Leaf Waste: An Ecofriendly Sustainable Attempt towards Valorization. BMC Chem. 2019, 13, 58. [Google Scholar] [CrossRef] [PubMed]
- Hernes, P.J.; Kaiser, K.; Dyda, R.Y.; Cerli, C. Molecular Trickery in Soil Organic Matter: Hidden Lignin. Environ. Sci. Technol. 2013, 47, 9077–9085. [Google Scholar] [CrossRef] [PubMed]
- Yiamsawas, D.; Kangwansupamonkon, W.; Kiatkamjornwong, S. Lignin-Based Nanogels for the Release of Payloads in Alkaline Conditions. Eur. Polym. J. 2021, 145, 110241. [Google Scholar] [CrossRef]
- Jiang, Y.; Chen, Y.; Tian, D.; Shen, F.; Wan, X.; Xu, L.; Chen, Y.; Zhang, H.; Hu, J.; Shen, F. Fabrication and Characterization of Lignin–Xylan Hybrid Nanospheres as Pesticide Carriers with Enzyme-Mediated Release Property. Soft Matter 2020, 16, 9083–9093. [Google Scholar] [CrossRef] [PubMed]
- Fischer, J.; Beckers, S.J.; Yiamsawas, D.; Thines, E.; Landfester, K.; Wurm, F.R. Targeted Drug Delivery in Plants: Enzyme-Responsive Lignin Nanocarriers for the Curative Treatment of the Worldwide Grapevine Trunk Disease Esca. Adv. Sci. 2019, 6, 1802315. [Google Scholar] [CrossRef] [PubMed]
- Voss, M.; Valle, C.; Gaudino, E.C.; Tabasso, S.; Forte, C.; Cravotto, G. Unlocking the Potential of Agrifood Waste for Sustainable Innovation in Agriculture. Recycling 2024, 9, 25. [Google Scholar] [CrossRef]
- Zhang, S.; Fu, X.; Tong, Z.; Liu, G.; Meng, S.; Yang, Y.; Helal, M.I.D.; Li, Y.C. Lignin-Clay Nanohybrid Biocomposite-Based Double-Layer Coating Materials for Controllable-Release Fertilizer. ACS Sustain. Chem. Eng. 2020, 8, 18957–18965. [Google Scholar] [CrossRef]
- Muhammed, A.P.; Thangarasu, S.; Oh, T.H. Green Interconnected Network Structure of Chitosan-Microcrystalline Cellulose-Lignin Biopolymer Film for Active Packaging Applications. Int. J. Biol. Macromol. 2023, 253, 127471. [Google Scholar] [CrossRef]
- Rodrigues, J.S.; de Freitas, A.D.S.; Lopes, H.S.M.; Pires, A.A.F.; Lemes, A.P.; Ferreira, M.; Botaro, V.R. Improvement of UV Stability of Thermoplastic Starch Matrix by Addition of Selected Lignin Fraction—Photooxidative Degradation. Int. J. Biol. Macromol. 2023, 230, 123142. [Google Scholar] [CrossRef] [PubMed]
- Li, B.; Zhou, M.; Huo, W.; Cai, D.; Qin, P.; Cao, H.; Tan, T. Fractionation and Oxypropylation of Corn-Stover Lignin for the Production of Biobased Rigid Polyurethane Foam. Ind. Crops Prod. 2020, 143, 111887. [Google Scholar] [CrossRef]
- Xie, J.; Hse, C.Y.; Shupe, T.F.; Hu, T. Physicochemical Characterization of Lignin Recovered from Microwave-Assisted Delignified Lignocellulosic Biomass for Use in Biobased Materials. J. Appl. Polym. Sci. 2015, 132, 42635. [Google Scholar] [CrossRef]
- Morandim-Giannetti, A.A.; Agnelli, J.A.M.; Lanças, B.Z.; Magnabosco, R.; Casarin, S.A.; Bettini, S.H.P. Lignin as Additive in Polypropylene/Coir Composites: Thermal, Mechanical and Morphological Properties. Carbohydr. Polym. 2012, 87, 2563–2568. [Google Scholar] [CrossRef]
- Gao, Y.; Qu, W.; Liu, Y.; Hu, H.; Cochran, E.; Bai, X. Agricultural Residue-Derived Lignin as the Filler of Polylactic Acid Composites and the Effect of Lignin Purity on the Composite Performance. J. Appl. Polym. Sci. 2019, 136, 47915. [Google Scholar] [CrossRef]
- Rizal, S.; Alfatah, T.; Abdul Khalil, H.P.S.; Yahya, E.B.; Abdullah, C.K.; Mistar, E.M.; Ikramullah, I.; Kurniawan, R.; Bairwan, R.D. Enhanced Functional Properties of Bioplastic Films Using Lignin Nanoparticles from Oil Palm-Processing Residue. Polymers 2022, 14, 5126. [Google Scholar] [CrossRef]
- Yang, W.; Owczarek, J.S.; Fortunati, E.; Kozanecki, M.; Mazzaglia, A.; Balestra, G.M.; Kenny, J.M.; Torre, L.; Puglia, D. Antioxidant and Antibacterial Lignin Nanoparticles in Polyvinyl Alcohol/Chitosan Films for Active Packaging. Ind. Crops Prod. 2016, 94, 800–811. [Google Scholar] [CrossRef]
- Rai, S.; Dutta, P.K.; Mehrotra, G.K. Natural Antioxidant and Antimicrobial Agents from Agrowastes: An Emergent Need to Food Packaging. Waste Biomass Valorization 2020, 11, 1905–1916. [Google Scholar] [CrossRef]
- Zdunek, A.; Pieczywek, P.M.; Cybulska, J. The Primary, Secondary, and Structures of Higher Levels of Pectin Polysaccharides. Compr. Rev. Food Sci. Food Saf. 2021, 20, 1101–1117. [Google Scholar] [CrossRef] [PubMed]
- Bagherian, H.; Zokaee Ashtiani, F.; Fouladitajar, A.; Mohtashamy, M. Comparisons between Conventional, Microwave- and Ultrasound-Assisted Methods for Extraction of Pectin from Grapefruit. Chem. Eng. Process. Process Intensif. 2011, 50, 1237–1243. [Google Scholar] [CrossRef]
- Kumar, S.; Reddy, A.R.L.; Basumatary, I.B.; Nayak, A.; Dutta, D.; Konwar, J.; Purkayastha, M.D.; Mukherjee, A. Recent Progress in Pectin Extraction and Their Applications in Developing Films and Coatings for Sustainable Food Packaging: A Review. Int. J. Biol. Macromol. 2023, 239, 124281. [Google Scholar] [CrossRef] [PubMed]
- Wang, X.; Chen, Q.; Lü, X. Pectin Extracted from Apple Pomace and Citrus Peel by Subcritical Water. Food Hydrocoll. 2014, 38, 129–137. [Google Scholar] [CrossRef]
- Podetti, C.; Riveros-Gomez, M.; Román, M.C.; Zalazar-García, D.; Fabani, M.P.; Mazza, G.; Rodríguez, R. Polyphenol-Enriched Pectin from Pomegranate Peel: Multi-Objective Optimization of the Eco-Friendly Extraction Process. Molecules 2023, 28, 7656. [Google Scholar] [CrossRef] [PubMed]
- Vakilian, K.; Nateghi, L.; Javadi, A.; Anarjan, N. Optimization of Conventional and Ultrasound-Assisted Extraction of Pectin from Unripe Grape Pomace: Extraction Yield, Degree of Esterification, and Galacturonic Acid Content. J. Food Meas. Charact. 2023, 17, 5777–5793. [Google Scholar] [CrossRef]
- Arora, S.; Kataria, P.; Ahmad, W.; Mishra, R.; Upadhyay, S.; Dobhal, A.; Bisht, B.; Hussain, A.; Kumar, V.; Kumar, S. Microwave Assisted Green Extraction of Pectin from Citrus Maxima Albedo and Flavedo, Process Optimization, Characterisation and Comparison with Commercial Pectin. Food Anal. Methods 2023, 17, 105–118. [Google Scholar] [CrossRef]
- Zakaria, N.A.; Abd Rahman, N.H.; Rahman, R.A.; Zaidel, D.N.A.; Hasham, R.; Illias, R.M.; Mohamed, R.; Ahmad, R.A. Extraction Optimization and Physicochemical Properties of High Methoxyl Pectin from Ananas Comosus Peel Using Microwave-Assisted Approach. J. Food Meas. Charact. 2023, 17, 3354–3367. [Google Scholar] [CrossRef]
- Figueira, O.; Pereira, V.; Castilho, P.C. A Two-Step Approach to Orange Peel Waste Valorization: Consecutive Extraction of Pectin and Hesperidin. Foods 2023, 12, 3834. [Google Scholar] [CrossRef]
- Şen, E.; Göktürk, E.; Hajiyev, V.; Uğuzdoğan, E. Comparisons of Pulsed Ultrasound-Assisted and Hot-Acid Extraction Methods for Pectin Extraction under Dual Acid Mixtures from Onion (Allium Cepa L.) Waste. Food Sci. Nutr. 2023, 11, 7320–7329. [Google Scholar] [CrossRef] [PubMed]
- Minzanova, S.T.; Mironov, V.F.; Arkhipova, D.M.; Khabibullina, A.V.; Mironova, L.G.; Zakirova, Y.M.; Milyukov, V.A. Biological Activity and Pharmacological Application of Pectic Polysaccharides: A Review. Polymers 2018, 10, 1407. [Google Scholar] [CrossRef] [PubMed]
- Lionetti, V.; Cervone, F.; Bellincampi, D. Methyl Esterification of Pectin Plays a Role during Plant–Pathogen Interactions and Affects Plant Resistance to Diseases. J. Plant Physiol. 2012, 169, 1623–1630. [Google Scholar] [CrossRef] [PubMed]
- Al-Hazmi, N.E.; Naguib, D.M. Agricultural Wastes Polysaccharides Promising Soil Fertilizer Improves Plant Growth and Resistance against Soil-Borne Pathogens. Plant Soil. 2024, 495, 675–697. [Google Scholar] [CrossRef]
- Kraut-Cohen, J.; Shapiro, O.H.; Dror, B.; Cytryn, E. Pectin Induced Colony Expansion of Soil-Derived Flavobacterium Strains. Front. Microbiol. 2021, 12, 651891. [Google Scholar] [CrossRef]
- Sayed, A.; Mohamed, M.M.; Abdel-raouf, M.E.S.; Mahmoud, G.A. Radiation Synthesis of Green Nanoarchitectonics of Guar Gum-Pectin/Polyacrylamide/Zinc Oxide Superabsorbent Hydrogel for Sustainable Agriculture. J. Inorg. Organomet. Polym. Mater. 2022, 32, 4589–4600. [Google Scholar] [CrossRef]
- Sharma, R.; Bajpai, J.; Bajpai, A.K.; Acharya, S.; Kumar, B.; Singh, R.K. Assessment of Water Retention Performance of Pectin-Based Nanocarriers for Controlled Irrigation in Agriculture. Agric. Res. 2017, 6, 139–149. [Google Scholar] [CrossRef]
- Pholsin, R.; Shiekh, K.A.; Jafari, S.; Kijpatanasilp, I.; Na Nan, T.; Suppavorasatit, I.; Assatarakul, K. Impact of Pectin Edible Coating Extracted from Cacao Shell Powder on Postharvest Quality Attributes of Tomato (Lycopersicon esculentum Mill.) Fruit during Storage. Food Control 2024, 155, 110023. [Google Scholar] [CrossRef]
- Shin, Y.; Chane, A.; Jung, M.; Lee, Y. Recent Advances in Understanding the Roles of Pectin as an Active Participant in Plant Signaling Networks. Plants 2021, 10, 1712. [Google Scholar] [CrossRef]
- Wu, M.C.; Li, H.C.; Wu, P.H.; Huang, P.H.; Wang, Y.T. Assessment of Oligogalacturonide from Citrus Pectin as a Potential Antibacterial Agent against Foodborne Pathogens. J. Food Sci. 2014, 79, M1541–M1544. [Google Scholar] [CrossRef]
- Sun, X.; Wall, M.; Follett, P.; Liang, P.; Xu, S.; Zhong, T. Effect of Pectin Coatings Containing Trans-Cinnamaldehyde on the Postharvest Quality of Rambutan. HortScience 2023, 58, 11–15. [Google Scholar] [CrossRef]
- Gamage, A.; Liyanapathiranage, A.; Manamperi, A.; Gunathilake, C.; Mani, S.; Merah, O.; Madhujith, T. Applications of Starch Biopolymers for a Sustainable Modern Agriculture. Sustainability 2022, 14, 6085. [Google Scholar] [CrossRef]
- Hernández-Carmona, F.; Morales-Matos, Y.; Lambis-Miranda, H.; Pasqualino, J. Starch Extraction Potential from Plantain Peel Wastes. J. Environ. Chem. Eng. 2017, 5, 4980–4985. [Google Scholar] [CrossRef]
- Kaur, J.; Borah, A.; Chutia, H.; Gupta, P. Extraction, Modification, and Characterization of Native Litchi Seed (Litchi chinesis Sonn.) Starch. J. Sci. Food Agric. 2024, 104, 215–224. [Google Scholar] [CrossRef]
- Weligama Thuppahige, V.T.; Moghaddam, L.; Welsh, Z.G.; Wang, T.; Xiao, H.W.; Karim, A. Extraction and Characterisation of Starch from Cassava (Manihot esculenta) Agro-Industrial Wastes. LWT 2023, 182, 114787. [Google Scholar] [CrossRef]
- Nakthong, N.; Wongsagonsup, R.; Amornsakchai, T. Characteristics and Potential Utilizations of Starch from Pineapple Stem Waste. Ind. Crops Prod. 2017, 105, 74–82. [Google Scholar] [CrossRef]
- Mieles-Gómez, L.; Quintana, S.E.; García-Zapateiro, L.A. Ultrasound-Assisted Extraction of Mango (Mangifera indica) Kernel Starch: Chemical, Techno-Functional, and Pasting Properties. Gels 2023, 9, 136. [Google Scholar] [CrossRef]
- Rosseto, M.; Krein, D.D.C.; Balbé, N.P.; Dettmer, A. Starch–Gelatin Film as an Alternative to the Use of Plastics in Agriculture: A Review. J. Sci. Food Agric. 2019, 99, 6671–6679. [Google Scholar] [CrossRef]
- Saberi Riseh, R.; Hassanisaadi, M.; Vatankhah, M.; Kennedy, J.F. Encapsulating Biocontrol Bacteria with Starch as a Safe and Edible Biopolymer to Alleviate Plant Diseases: A Review. Carbohydr. Polym. 2023, 302, 120384. [Google Scholar] [CrossRef]
- Supare, K.; Mahanwar, P.A. Starch-Derived Superabsorbent Polymers in Agriculture Applications: An Overview. Polym. Bull. 2022, 79, 5795–5824. [Google Scholar] [CrossRef]
- Klemm, D.; Heublein, B.; Fink, H.P.; Bohn, A. Cellulose: Fascinating Biopolymer and Sustainable Raw Material. Angew. Chem.—Int. Ed. 2005, 44, 3358–3393. [Google Scholar] [CrossRef]
- El-Bestawy, E.; Eltaweil, A.S.; Khallaf, N.S. Effective Production of Bacterial Cellulose Using Acidic Dairy Industry By-Products and Agro Wastes. Sustain. Chem. Pharm. 2023, 33, 101064. [Google Scholar] [CrossRef]
- Sagdic-Oztan, C.; Koschella, A.; Heinze, T.; Karaguler, N.G.; Tuter, M. Preparation of Bacterial Cellulose Using Enzymatic Hydrolysate of Olive Pomace as Carbon Source. Bioresources 2023, 18, 4168–4181. [Google Scholar] [CrossRef]
- Yekta, R.; Abedi-Firoozjah, R.; Azimi Salim, S.; Khezerlou, A.; Abdolmaleki, K. Application of Cellulose and Cellulose Derivatives in Smart/Intelligent Bio-Based Food Packaging. Cellulose 2023, 30, 9925–9953. [Google Scholar] [CrossRef]
- Chen, R.; Hou, Y.; Zhang, J.; Cui, J.; Li, G. Feasibility for the Preparation of Aerogels with Celluloses Extracted Mildly from Waste Palm Leaves. Nord. Pulp Pap. Res. J. 2023, 38, 197–207. [Google Scholar] [CrossRef]
- Klunklin, W.; Hinmo, S.; Thipchai, P.; Rachtanapun, P. Effect of Bleaching Processes on Physicochemical and Functional Properties of Cellulose and Carboxymethyl Cellulose from Young and Mature Coconut Coir. Polymers 2023, 15, 3376. [Google Scholar] [CrossRef] [PubMed]
- Zhao, B.; Liu, R.; Guo, Q.; Xu, G.; Zhang, L.; Sun, P.; Cao, Y.; Hu, S. The Use of Newly Isolated Fungal Cultures for the Selective Delignification of Bamboo Culms. Front. Bioeng. Biotechnol. 2023, 11, 1265420. [Google Scholar] [CrossRef] [PubMed]
- Muniraj, I.K.; Anbu, P.V.; Parthiban, K.T.; Uthandi, S. A New Enzolv Process for Simultaneous Delignification and Lignin-Derived Chemical Production from the Woody Biomass of Melia Dubia. Biomass Convers. Biorefin. 2023, 13, 14557–14571. [Google Scholar] [CrossRef]
- Karanicola, P.; Patsalou, M.; Stergiou, P.Y.; Kavallieratou, A.; Evripidou, N.; Christou, P.; Panagiotou, G.; Damianou, C.; Papamichael, E.M.; Koutinas, M. Ultrasound-Assisted Dilute Acid Hydrolysis for Production of Essential Oils, Pectin and Bacterial Cellulose via a Citrus Processing Waste Biorefinery. Bioresour. Technol. 2021, 342, 126010. [Google Scholar] [CrossRef] [PubMed]
- Hasanin, M.S.; Abdelraof, M.; Hashem, A.H.; El Saied, H. Sustainable Bacterial Cellulose Production by Achromobacter Using Mango Peel Waste. Microb. Cell Fact. 2023, 22, 24. [Google Scholar] [CrossRef]
- Ahmad, D.F.B.A.; Wasli, M.E.; Tan, C.S.Y.; Musa, Z.; Chin, S.F. Eco-Friendly Cellulose-Based Hydrogels Derived from Wastepapers as a Controlled-Release Fertilizer. Chem. Biol. Technol. Agric. 2023, 10, 36. [Google Scholar] [CrossRef]
- Callaghan, C.; Califano, D.; Feresin Gomes, M.H.; Pereira de Carvalho, H.W.; Edler, K.J.; Mattia, D. Cellulose Acetate Microbeads for Controlled Delivery of Essential Micronutrients. ACS Sustain. Chem. Eng. 2023, 11, 4749–4758. [Google Scholar] [CrossRef]
- Ali, S.; Akbar Anjum, M.; Sattar Khan, A.; Nawaz, A.; Ejaz, S.; Khaliq, G.; Iqbal, S.; Ullah, S.; Naveed Ur Rehman, R.; Moaaz Ali, M.; et al. Carboxymethyl Cellulose Coating Delays Ripening of Harvested Mango Fruits by Regulating Softening Enzymes Activities. Food Chem. 2022, 380, 131804. [Google Scholar] [CrossRef] [PubMed]
- Das, D.; Bhattacharjee, S.; Bhaladhare, S. Preparation of Cellulose Hydrogels and Hydrogel Nanocomposites Reinforced by Crystalline Cellulose Nanofibers (CNFs) as a Water Reservoir for Agriculture Use. ACS Appl. Polym. Mater. 2023, 5, 2895–2904. [Google Scholar] [CrossRef]
- Das, D.; Prakash, P.; Rout, P.K.; Bhaladhare, S. Synthesis and Characterization of Superabsorbent Cellulose-Based Hydrogel for Agriculture Application. Starch/Staerke 2021, 73, 1900284. [Google Scholar] [CrossRef]
- Xu, Y.; Li, Q.; Man, L. Bamboo-Derived Carboxymethyl Cellulose for Liquid Film as Renewable and Biodegradable Agriculture Mulching. Int. J. Biol. Macromol. 2021, 192, 611–617. [Google Scholar] [CrossRef] [PubMed]
- Wang, Q.; Duan, Y.; Huang, Y.; Teng, Y.; Li, C.; Tao, Y.; Lu, J.; Du, J.; Wang, H. Multifunctional Soybean Protein Isolate-Graft-Carboxymethyl Cellulose Composite as All-Biodegradable and Mechanically Robust Mulch Film for “Green” Agriculture. Carbohydr. Polym. 2024, 323, 121410. [Google Scholar] [CrossRef]
- Chen, Y.; Yang, S.; Qiu, Z.; Li, Y.; Qiu, F.; Zhang, T. Fabrication of Flexible AgNW/Cellulose Hybrid Film with Heat Preservation and Antibacterial Properties for Agriculture Application. Cellulose 2021, 28, 8693–8704. [Google Scholar] [CrossRef]
- Islam, S.; Bhuiyan, M.A.R.; Islam, M.N. Chitin and Chitosan: Structure, Properties and Applications in Biomedical Engineering. J. Polym. Environ. 2017, 25, 854–866. [Google Scholar] [CrossRef]
- Peniche Covas, C.A.; Argüelles-Monal, W.; Goycoolea, F.M. Chitin and Chitosan: Major Sources, Properties and Applications. In Monomers, Polymers and Composites from Renewable Resources; Elsevier: Amsterdam, The Netherlands, 2008; pp. 517–542. [Google Scholar] [CrossRef]
- De Queiroz Antonino, R.S.C.M.; Fook, B.R.P.L.; Lima, V.A.D.O.; Rached, R.Í.D.F.; Lima, E.P.N.; Lima, R.J.D.S.; Covas, C.A.P.; Fook, M.V.L. Preparation and Characterization of Chitosan Obtained from Shells of Shrimp (Litopenaeus vannamei Boone). Mar. Drugs 2017, 15, 141. [Google Scholar] [CrossRef] [PubMed]
- Tayel, A.A.; Moussa, S.H.; El-Tras, W.F.; Elguindy, N.M.; Opwis, K. Antimicrobial Textile Treated with Chitosan from Aspergillus Niger Mycelial Waste. Int. J. Biol. Macromol. 2011, 49, 241–245. [Google Scholar] [CrossRef]
- Zininga, J.T.; Puri, A.K.; Dlangamandla, N.; Wang, Z.; Singh, S.; Permaul, K. Integrated Biorefinery of Mucor Circinelloides Biomass and Sugarcane Bagasse for Application of High-Value Biopolymers. Biomass Convers. Biorefin. 2023. [Google Scholar] [CrossRef]
- Habibi, A.; Karami, S.; Varmira, K.; Hadadi, M. Key Parameters Optimization of Chitosan Production from Aspergillus Terreus Using Apple Waste Extract as Sole Carbon Source. Bioprocess. Biosyst. Eng. 2021, 44, 283–295. [Google Scholar] [CrossRef] [PubMed]
- de Souza, A.F.; Galindo, H.M.; de Lima, M.A.B.; Ribeaux, D.R.; Rodríguez, D.M.; da Silva Andrade, R.F.; Gusmão, N.B.; de Campos-Takaki, G.M. Biotechnological Strategies for Chitosan Production by Mucoralean Strains and Dimorphism Using Renewable Substrates. Int. J. Mol. Sci. 2020, 21, 4286. [Google Scholar] [CrossRef]
- Romanazzi, G.; Moumni, M. Chitosan and Other Edible Coatings to Extend Shelf Life, Manage Postharvest Decay, and Reduce Loss and Waste of Fresh Fruits and Vegetables. Curr. Opin. Biotechnol. 2022, 78, 102834. [Google Scholar] [CrossRef]
- Tiwari, M.; Singh, R.; Jha, R.; Singh, P. Heritable Priming by Trichoderma: A Sustainable Approach for Wheat Protection against Bipolaris Sorokiniana. Front. Plant Sci. 2022, 13, 1050765. [Google Scholar] [CrossRef] [PubMed]
- Prasad, R.D.; Chandrika, K.S.V.P.; Godbole, V. A Novel Chitosan Biopolymer Based Trichoderma Delivery System: Storage Stability, Persistence and Bio Efficacy against Seed and Soil Borne Diseases of Oilseed Crops. Microbiol. Res. 2020, 237, 126487. [Google Scholar] [CrossRef] [PubMed]
- Maruyama, C.R.; Guilger, M.; Pascoli, M.; Bileshy-José, N.; Abhilash, P.C.; Fraceto, L.F.; De Lima, R. Nanoparticles Based on Chitosan as Carriers for the Combined Herbicides Imazapic and Imazapyr. Sci. Rep. 2016, 6, 19768. [Google Scholar] [CrossRef] [PubMed]
- Możejko-Ciesielska, J.; Kiewisz, R. Bacterial Polyhydroxyalkanoates: Still Fabulous? Microbiol. Res. 2016, 192, 271–282. [Google Scholar] [CrossRef] [PubMed]
- Campanari, S.; E Silva, F.A.; Bertin, L.; Villano, M.; Majone, M. Effect of the Organic Loading Rate on the Production of Polyhydroxyalkanoates in a Multi-Stage Process Aimed at the Valorization of Olive Oil Mill Wastewater. Int. J. Biol. Macromol. 2014, 71, 34–41. [Google Scholar] [CrossRef] [PubMed]
- Verdini, F.; Tabasso, S.; Mariatti, F.; Bosco, F.; Mollea, C.; Calcio Gaudino, E.; Cirio, A.; Cravotto, G. From Agri-Food Wastes to Polyhydroxyalkanoates through a Sustainable Process. Fermentation 2022, 8, 556. [Google Scholar] [CrossRef]
- Razzaq, S.; Shahid, S.; Farooq, R.; Noreen, S.; Perveen, S.; Bilal, M. Sustainable Bioconversion of Agricultural Waste Substrates into Poly (3-Hydroxyhexanoate) (Mcl-PHA) by Cupriavidus Necator DSM 428. Biomass Convers. Biorefin. 2022, 14, 9429–9439. [Google Scholar] [CrossRef]
- Unrean, P.; Napathorn, S.C.; Tee, K.L.; Wong, T.S.; Champreda, V. Lignin to Polyhydroxyalkanoate Bioprocessing by Novel Strain of Pseudomonas Monteilii. Biomass Convers. Biorefin. 2023, 12, 4651–4657. [Google Scholar] [CrossRef]
- Matos, M.; Cruz, R.A.P.; Cardoso, P.; Silva, F.; Freitas, E.B.; Carvalho, G.; Reis, M.A.M. Combined Strategies to Boost Polyhydroxyalkanoate Production from Fruit Waste in a Three-Stage Pilot Plant. ACS Sustain. Chem. Eng. 2021, 9, 8270–8279. [Google Scholar] [CrossRef]
- Kag, S.; Kumar, P.; Kataria, R. Potato Peel Waste as an Economic Feedstock for PHA Production by Bacillus Circulans. Appl. Biochem. Biotechnol. 2023. [Google Scholar] [CrossRef]
- Cascone, G.; D’Emilio, A.; Buccellato, E.; Mazzarella, R. New Biodegradable Materials for Greenhouse Soil Mulching. Acta Hortic. 2008, 801 Pt 1, 283–290. [Google Scholar] [CrossRef]
- Tian, Y.; Wang, J.H. Polyhydroxyalkanoates for Biodegradable Mulch Films Applications. ACS Symp. Ser. 2020, 1373, 145–160. [Google Scholar] [CrossRef]
- Botta, L.; Mistretta, M.C.; Palermo, S.; Fragalà, M.; Pappalardo, F. Characterization and Processability of Blends of Polylactide Acid with a New Biodegradable Medium-Chain-Length Polyhydroxyalkanoate. J. Polym. Environ. 2015, 23, 478–486. [Google Scholar] [CrossRef]
- Wang, J.H.; Tian, Y.; Zhou, B. Degradation and Stabilization of Poly(Butylene Adipate-Co-Terephthalate)/Polyhydroxyalkanoate Biodegradable Mulch Films Under Different Aging Tests. J. Polym. Environ. 2022, 30, 1366–1379. [Google Scholar] [CrossRef]
- Othman, N.A.F.; Selambakkannu, S.; Seko, N. Biodegradable Dual-Layer Polyhydroxyalkanoate (Pha)/Polycaprolactone (Pcl) Mulch Film for Agriculture: Preparation and Characterization. Energy Nexus 2022, 8, 100137. [Google Scholar] [CrossRef]
- Mehta, R.; Kumar, V.; Bhunia, H.; Upadhyay, S.N. Synthesis of Poly(Lactic Acid): A Review. J. Macromol. Sci. Part C Polym. Rev. 2005, 45, 325–349. [Google Scholar] [CrossRef]
- Ahmad, A.; Banat, F.; Taher, H. A Review on the Lactic Acid Fermentation from Low-Cost Renewable Materials: Recent Developments and Challenges. Environ. Technol. Innov. 2020, 20, 101138. [Google Scholar] [CrossRef]
- Huang, J.; Wang, J.; Liu, S. Advanced Fermentation Techniques for Lactic Acid Production from Agricultural Waste. Fermentation 2023, 9, 765. [Google Scholar] [CrossRef]
- Mazzoli, R. Current Progress in Production of Building-Block Organic Acids by Consolidated Bioprocessing of Lignocellulose. Fermentation 2021, 7, 248. [Google Scholar] [CrossRef]
- D’ambrosio, S.; Zaccariello, L.; Sadiq, S.; D’Albore, M.; Battipaglia, G.; D’Agostino, M.; Battaglia, D.; Schiraldi, C.; Cimini, D. Grape Stalk Valorization: An Efficient Re-Use of Lignocellulosic Biomass through Hydrolysis and Fermentation to Produce Lactic Acid from Lactobacillus Rhamnosus IMC501. Fermentation 2023, 9, 616. [Google Scholar] [CrossRef]
- Cox, R.; Narisetty, V.; Castro, E.; Agrawal, D.; Jacob, S.; Kumar, G.; Kumar, D.; Kumar, V. Fermentative Valorisation of Xylose-Rich Hemicellulosic Hydrolysates from Agricultural Waste Residues for Lactic Acid Production under Non-Sterile Conditions. Waste Manag. 2023, 166, 336–345. [Google Scholar] [CrossRef]
- Ozer Uyar, G.E.; Uyar, B. Potato Peel Waste Fermentation by Rhizopus Oryzae to Produce Lactic Acid and Ethanol. Food Sci. Nutr. 2023, 11, 5908–5917. [Google Scholar] [CrossRef]
- Liu, Y.J.; Zhang, Y.; Chi, F.; Chen, C.; Wan, W.; Feng, Y.; Song, X.; Cui, Q. Integrated Lactic Acid Production from Lignocellulosic Agricultural Wastes under Thermal Conditions. J. Environ. Manag. 2023, 342, 118281. [Google Scholar] [CrossRef]
- Qi, K.; Chen, C.; Yan, F.; Feng, Y.; Bayer, E.A.; Kosugi, A.; Cui, Q.; Liu, Y.J. Coordinated β-Glucosidase Activity with the Cellulosome Is Effective for Enhanced Lignocellulose Saccharification. Bioresour. Technol. 2021, 337, 125441. [Google Scholar] [CrossRef] [PubMed]
- Wan-Mothar, W.A.Q.I.; Khalid, N.I.; Rahim, M.H.A.; Luthfi, A.A.I.; Zaini, N.S.M.; Din, N.A.S.; Zaini, N.A.M. Underutilized Malaysian Agro-Industrial Wastes as Sustainable Carbon Sources for Lactic Acid Production. Fermentation 2023, 9, 905. [Google Scholar] [CrossRef]
- Merino, D.; Zych, A.; Athanassiou, A. Biodegradable and Biobased Mulch Films: Highly Stretchable PLA Composites with Different Industrial Vegetable Waste. ACS Appl. Mater. Interfaces 2022, 14, 46920–46931. [Google Scholar] [CrossRef] [PubMed]
- Swetha, T.A.; Bora, A.; Mohanrasu, K.; Balaji, P.; Raja, R.; Ponnuchamy, K.; Muthusamy, G.; Arun, A. A Comprehensive Review on Polylactic Acid (PLA)—Synthesis, Processing and Application in Food Packaging. Int. J. Biol. Macromol. 2023, 234, 123715. [Google Scholar] [CrossRef]
- Maraveas, C.; Bayer, I.S.; Bartzanas, T. 4D Printing: Perspectives for the Production of Sustainable Plastics for Agriculture. Biotechnol. Adv. 2022, 54, 107785. [Google Scholar] [CrossRef] [PubMed]
- Andrzejewski, J.; Szostak, M.; Barczewski, M.; Łuczak, P. Cork-Wood Hybrid Filler System for Polypropylene and Poly(Lactic Acid) Based Injection Molded Composites. Structure Evaluation and Mechanical Performance. Compos. B Eng. 2019, 163, 655–668. [Google Scholar] [CrossRef]
- Dalu, M.; Temiz, A.; Altuntaş, E.; Demirel, G.K.; Aslan, M. Characterization of Tanalith E Treated Wood Flour Filled Polylactic Acid Composites. Polym. Test. 2019, 76, 376–384. [Google Scholar] [CrossRef]
- Petchwattana, N.; Covavisaruch, S. Mechanical and Morphological Properties of Wood Plastic Biocomposites Prepared from Toughened Poly(Lactic Acid) and Rubber Wood Sawdust (Hevea brasiliensis). J. Bionic Eng. 2014, 11, 630–637. [Google Scholar] [CrossRef]
- Borysiuk, P.; Boruszewski, P.; Auriga, R.; Danecki, L.; Auriga, A.; Rybak, K.; Nowacka, M. Influence of a Bark-Filler on the Properties of PLA Biocomposites. J. Mater. Sci. 2021, 56, 9196–9208. [Google Scholar] [CrossRef]
- Sambudi, N.S.; Lin, W.Y.; Harun, N.Y.; Mutiari, D. Modification of Poly(Lactic Acid) with Orange Peel Powder as Biodegradable Composite. Polymers 2022, 14, 4126. [Google Scholar] [CrossRef] [PubMed]
- Coiai, S.; Di Lorenzo, M.L.; Cinelli, P.; Righetti, M.C.; Passaglia, E. Binary Green Blends of Poly(Lactic Acid) with Poly(Butylene Adipate-Co-Butylene Terephthalate) and Poly(Butylene Succinate-Co-Butylene Adipate) and Their Nanocomposites. Polymers 2021, 13, 2489. [Google Scholar] [CrossRef] [PubMed]
- Zhang, J.; Hirschberg, V.; Rodrigue, D. Mechanical Fatigue of Biodegradable Polymers: A Study on Polylactic Acid (PLA), Polybutylene Succinate (PBS) and Polybutylene Adipate Terephthalate (PBAT). Int. J. Fatigue 2022, 159, 106798. [Google Scholar] [CrossRef]
- Hamad, K.; Kaseem, M.; Ayyoob, M.; Joo, J.; Deri, F. Polylactic Acid Blends: The Future of Green, Light and Tough. Prog. Polym. Sci. 2018, 85, 83–127. [Google Scholar] [CrossRef]
- Duque-Acevedo, M.; Belmonte-Ureña, L.J.; Cortés-García, F.J.; Camacho-Ferre, F. Agricultural Waste: Review of the Evolution, Approaches and Perspectives on Alternative Uses. Glob. Ecol. Conserv. 2020, 22, e00902. [Google Scholar] [CrossRef]
- Lin, C.S.K.; Pfaltzgraff, L.A.; Herrero-Davila, L.; Mubofu, E.B.; Abderrahim, S.; Clark, J.H.; Koutinas, A.A.; Kopsahelis, N.; Stamatelatou, K.; Dickson, F.; et al. Food Waste as a Valuable Resource for the Production of Chemicals, Materials and Fuels. Current Situation and Global Perspective. Energy Environ. Sci. 2013, 6, 426–464. [Google Scholar] [CrossRef]
- O’Connor, J.; Hoang, S.A.; Bradney, L.; Dutta, S.; Xiong, X.; Tsang, D.C.W.; Ramadass, K.; Vinu, A.; Kirkham, M.B.; Bolan, N.S. A Review on the Valorisation of Food Waste as a Nutrient Source and Soil Amendment. Environ. Pollut. 2021, 272, 115985. [Google Scholar] [CrossRef]
- Ong, K.L.; Kaur, G.; Pensupa, N.; Uisan, K.; Lin, C.S.K. Trends in Food Waste Valorization for the Production of Chemicals, Materials and Fuels: Case Study South and Southeast Asia. Bioresour. Technol. 2018, 248, 100–112. [Google Scholar] [CrossRef]
- Biobased, Biodegradable and Compostable Plastics. Available online: https://environment.ec.europa.eu/topics/plastics/biobased-biodegradable-and-compostable-plastics_en#:~:text=Biobased%20plastics%20are%20fully%20or,not%20necessarily%20biodegradable%20or%20compostable (accessed on 9 February 2024).
- Zhao, B.; Rehati, P.; Yang, Z.; Cai, Z.; Guo, C.; Li, Y. The Potential Toxicity of Microplastics on Human Health. Sci. Total Environ. 2024, 912, 168946. [Google Scholar] [CrossRef] [PubMed]







| Entry | Biomass | Delignification Method | Yield on Total Lignin (%) | Yield on Biomass (%) | Ref. |
|---|---|---|---|---|---|
| 1 | Tobacco (Nicotiana tabacum) stalks | Hydrothermal prehydrolysis + Alkaline delignification | 65.0 | N/A | [22] |
| Hydrothermal prehydrolysis + Dioxane delignification | 37.2 | N/A | |||
| Phosphotungstic acid prehydrolysis + Alkaline delignification | 67.4 | N/A | |||
| Phosphotungstic acid prehydrolysis + Dioxane delignification | 45.5 | N/A | |||
| Alkaline delignification | 60.6 | N/A | |||
| Dioxane delignification | 35.6 | N/A | |||
| 2 | Grape (Vitis vinifera) stalks | US ChLA Assisted (60–120 min) | N/A | 40–50 | [23] |
| US ChLAGly Assisted (60–120 min) | N/A | 27.96–33.38 | |||
| US ChLevA Assisted (60–120 min) | N/A. | 73.99–72.31 | |||
| US Alkaline Assisted (60–120 min) | N/A | 30.05–25.05 | |||
| 3 | Corn (Zea mays) cobs | Alkaline extraction | 73.76 | N/A | [24] |
| 4 | Autohydrolysis + Organosolv Delignification | 76.0 | N/A | [25] | |
| Autohydrolysis + Alkaline Delignification | 93.0 | N/A | |||
| 5 | Waste of pineapple (Ananas comosus) leaves | Laccase from Pleurotus djamor | 78.5 | N/A | [26] |
| Entry | Biomass | Extraction Method | Yield on Biomass d.w. (%) | Ref. |
|---|---|---|---|---|
| 1 | Apple (Malus sp.) pomace | SWE | 16.68 | [45] |
| Citrus reticulata peel | 21.95 | |||
| 2 | Pomegranate (Punica granatum) peel | UAE + citric acid | 31.89 | [46] |
| 3 | Grape (Vitis vinifera) pomace | UAE + citric acid | 25.46 | [47] |
| 4 | Citrus maxima peel (albedo and flavedo) | MAE + HCl | Albedo: 5.57 | [48] |
| Flavedo: 3.09 | ||||
| 5 | Ananas comosus (L.) peel | MAE + H2SO4 | 2.43 | [49] |
| Hot bath extraction + H2SO4 | 2.00 | |||
| 6 | Orange (Citrus × sinensis) peel (albedo) | Hot bath extraction + HCl | 18.73 | [50] |
| 7 | Onion (Allium cepa) waste | PUAE + HAE | 20.32 | [51] |
| HAE | 16.22 | |||
| PUAE | 9.83 |
| Entry | Biomass | Extraction Method | Yield on Biomass dw (%) | Ref. |
|---|---|---|---|---|
| 1 | Plantain (Musa × paradisiaca) peel waste | Ascorbic acid solution (1 to 5%) | 23.8–32.5 | [63] |
| 2 | Litchi (Litchi chinensis) seed | 0.16% sodium bisulfite solution | 21.4 | [64] |
| 3 | Cassava (Manihot esculenta) peel | Sodium acetate buffer | 30 | [65] |
| Cassava (Manihot esculenta) bagasse | Sodium acetate buffer | 7.5 | ||
| 4 | Pineapple (Ananas comosus) stem | Wet milling | 30 | [66] |
| 5 | Mango (Mangifera indica) kernel | UAE in 1% sodium bisulfite solution | 54 | [67] |
| Entry | Biomass | Purification Method | Cellulose (%) | Characteristics | Ref. | |||||
|---|---|---|---|---|---|---|---|---|---|---|
| 1 | Palm (Arecaceae sp.) leaves | Alkaline hemicellulose removal | H2O2 Delignification | N/A | 87.12% purity, crystallinity of 69.9% | [75] | ||||
| 2 | Corn (Zea mays) cobs | Hemicellulose removal by autohydrolysis | Organosolv Delignification | 77 | 90% enzymatic hydrolysis yield | [25] | ||||
| Hemicellulose removal by autohydrolysis | Alkaline Delignification | 77 | 89.2% enzymatic hydrolysis yield | |||||||
| 3 | Mature Coconut (Cocos nucifera L.) coir | Alkaline pretreatment | NaClO2/acetic acid hemicellulose and lignin removal | H2O2 1 to 3 times | 60.76–45.78 | 79.88–80.43% CMC yield from cellulose | [76] | |||
| Young Coconut (Cocos nucifera L.) coir | 50.34–40.76 | 70.67–74.76% CMC yield from cellulose | ||||||||
| 4 | Bamboo (Bambusa vulgaris) culms | Ligninolytic enzymes producing fungi (Paracremonium sp. LCB1 + Clonostachys compactiuscula LCN1) | N/A | Selectivity of delignification >10 | [77] | |||||
| 5 | Melia dubia woody biomass | Enzolv method | 52 | 20% increase in crystallinity | [78] | |||||
| Entry | Biomass | Pretreatment | Microorganism | Yield % (g Cellulose/g Biomass) | Final Titer (g/L) | Ref. |
|---|---|---|---|---|---|---|
| 1 | Orange (Citrus × sinensis) processing waste | UAE diluted acid hydrolysis | Komagataeibacter sucrofermentans DSM 15973 | 5.82 | N/A | [79] |
| 2 | Mango (Mangifera indica) peel waste | Nitric acid hydrolysis | Achromobacter S3 | N/A | 1.22 | [80] |
| 3 | Olive (Olea europaea) pomace | Mild acid treatment + enzymatic hydrolysis | Novacetimonas hansenii 53582 | 9.60 | 0.68 | [73] |
| Entry | Biomass | Pretreatment | Culture | Comments | Ref. |
|---|---|---|---|---|---|
| 1 | Olive (Olea europaea) mill wastewater | Dephenolization and microbial pretreatment (acidogenic fermentation) for conversion of COD in VFA | Mixed culture—activated sludge | 22% of COD converted in PHA | [101] |
| 2 | Corn (Zea mays) straw | Microwave-assisted acid saccharification | Mixed microbial culture from dairy industry waste | 76.3% PHA dw/Biomass dw in 3 L bioreactor—420 mg/L final concentration | [102] |
| 3 | Mixture of molasses and olive oil | Acid pretreatment | Cupriavidus necator DSM 428 | 2.03 g/L final concentration of PHA | [103] |
| 4 | Lignin-rich black liquor from sugarcane (Saccharum officinarum L.) bagasse | Alkaline pretreatment | Pseudomonas monteilii BCC19149 | 237.9 mg/L of PHA final titer under optimized conditions | [104] |
| 5 | Fruit waste | Acidogenic fermentation | Mixed culture—activated sludge | Y SFP/FW 0.79 gCOD·gCOD−1 Y PHA/SFP 0.98 gCOD·gCOD−1 Y PHA/FW 0.45 gCOD·gCOD−1 | [105] |
| 6 | Potato (Solanum tuberosum) peels waste | Acid hydrolysis | Bacillus circulans MTCC 8167 | 232 mg/L of PHA final titer | [106] |
| Entry | Biomass | Biomass Pretreatment | Saccharification | LA Producer | Yield | LA Titer (g/L) | Ref. | |||
|---|---|---|---|---|---|---|---|---|---|---|
| 1 | Grape (Vitis vinifera) stalks | Steam explosion | Enzymatic saccharification | Lactobacillus rhamnosus IMC501 | 0.98 g/g Glu | 20 | [116] | |||
| 2 | Olive (Olea europaea) pits | Diluted acid (H2SO4) | Bacillus coagulans DSM2314 | 0.71 g/g OPH | 61.3 | [117] | ||||
| 3 | Sugarcane (Saccharum officinarum L.) bagasse | Hydrothermal hydrolysation | Bacillus coagulans DSM2314 | 0.66 g/g SBH | 52.4 | |||||
| 4 | Potato (Solanum tuberosum) peel waste | Rhizopus oryzae (CBP) | 0.039 g/g PPW | 3.14 | [118] | |||||
| 5 | Corncob (Zea mays) Residue | Alkali pretreatment | Clostridium thermocellum ΔpyrF:p2638-BGL | Geobacillus stearothermophilus 2H-3 | 0.74 g/g CR | 51.36 | [119] | |||
Disclaimer/Publisher’s Note: The statements, opinions and data contained in all publications are solely those of the individual author(s) and contributor(s) and not of MDPI and/or the editor(s). MDPI and/or the editor(s) disclaim responsibility for any injury to people or property resulting from any ideas, methods, instructions or products referred to in the content. |
© 2024 by the authors. Licensee MDPI, Basel, Switzerland. This article is an open access article distributed under the terms and conditions of the Creative Commons Attribution (CC BY) license (https://creativecommons.org/licenses/by/4.0/).
Share and Cite
Valle, C.; Voss, M.; Calcio Gaudino, E.; Forte, C.; Cravotto, G.; Tabasso, S. Harnessing Agri-Food Waste as a Source of Biopolymers for Agriculture. Appl. Sci. 2024, 14, 4089. https://doi.org/10.3390/app14104089
Valle C, Voss M, Calcio Gaudino E, Forte C, Cravotto G, Tabasso S. Harnessing Agri-Food Waste as a Source of Biopolymers for Agriculture. Applied Sciences. 2024; 14(10):4089. https://doi.org/10.3390/app14104089
Chicago/Turabian StyleValle, Carlotta, Monica Voss, Emanuela Calcio Gaudino, Claudio Forte, Giancarlo Cravotto, and Silvia Tabasso. 2024. "Harnessing Agri-Food Waste as a Source of Biopolymers for Agriculture" Applied Sciences 14, no. 10: 4089. https://doi.org/10.3390/app14104089
APA StyleValle, C., Voss, M., Calcio Gaudino, E., Forte, C., Cravotto, G., & Tabasso, S. (2024). Harnessing Agri-Food Waste as a Source of Biopolymers for Agriculture. Applied Sciences, 14(10), 4089. https://doi.org/10.3390/app14104089

