Effect of Coal Particle Breakage on Gas Desorption Rate during Coal and Gas Outburst
Abstract
1. Introduction
2. Model
2.1. Desorption Model for Breakage Gas Bearing Coal
2.2. Desorption Rate Ratio
2.2.1. Relationship between Effective Diffusion Coefficient and Particle Size
2.2.2. Approximation of the Desorption Rate Ratio
3. Experiment
4. Results
4.1. Relationship between Effective Diffusion Coefficient and Particle Size
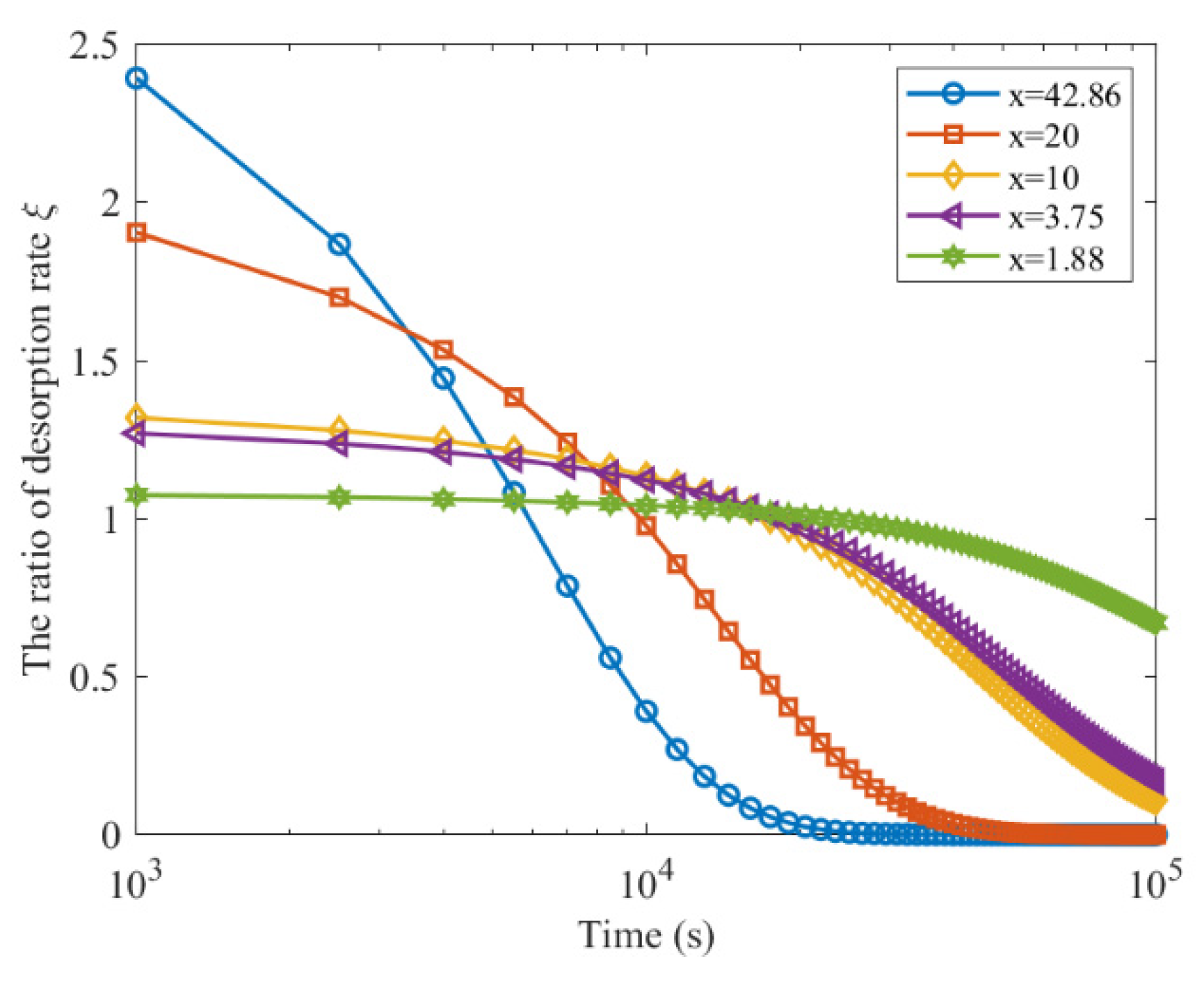
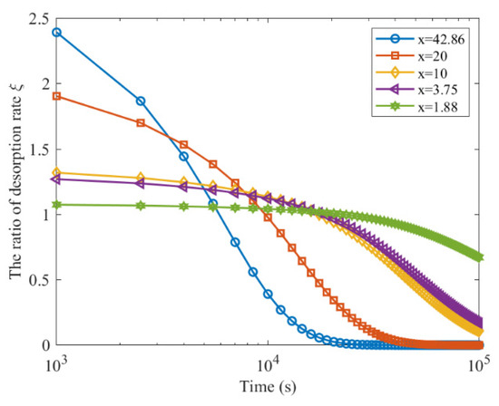
4.2. Gas Desorption Rate Ratio of Coal Crushed into Different Single Particle Sizes
4.3. Relationship between Desorption Rate Ratio and Coal Particle Breakage Ratio
4.4. Calculate the Desorption Rate Ratio with Particle Distribution
5. Discussion
6. Conclusions
- (1)
- A gas desorption model for broken coal was developed to elucidate the desorption behavior of coal mixtures containing particles of different sizes. The model incorporates the diffusivity of coal particles with varying sizes and the distribution function of coal particles.
- (2)
- The concept of gas desorption rate ratio was introduced to characterize the changes in the gas desorption rate of coal before and after crushing. The desorption rate ratio is mainly determined by the desorption index and the granularity distribution index .
- (3)
- Within the limit range of coal particle sizes, the ratio of effective diffusion coefficient for coal particles with different sizes is directly proportional to the reciprocal of the ratio of particle sizes. When coal is of a single particle size before and after crushing, the gas desorption rate ratio of gas-bearing coal is the square root of the reciprocal of the effective diffusion coefficient.
Author Contributions
Funding
Institutional Review Board Statement
Informed Consent Statement
Data Availability Statement
Conflicts of Interest
References
- Black, D.J. Review of coal and gas outburst in Australian underground coal mines. Int. J. Min. Sci. Technol. 2019, 29, 815–824. [Google Scholar] [CrossRef]
- Fisne, A.; Esen, O. Coal and gas outburst hazard in Zonguldak Coal Basin of Turkey, and association with geological parameters. Nat. Hazards 2014, 74, 1363–1390. [Google Scholar] [CrossRef]
- Shepherd, J.; Rixon, L.K.; Griffiths, L. Outbursts and geological structures in coal mines: A review. Int. J. Rock Mech. Min. Sci. Geomech. Abstr. 1981, 18, 267–283. [Google Scholar] [CrossRef]
- Chen, K.P. A new mechanistic model for prediction of instantaneous coal outbursts—Dedicated to the memory of Prof. Daniel D. Joseph. Int. J. Coal Geol. 2011, 87, 72–79. [Google Scholar] [CrossRef]
- Beamish, B.B.; Crosdale, P.J. Instantaneous outbursts in underground coal mines: An overview and association with coal type. Int. J. Coal Geol. 1998, 35, 27–55. [Google Scholar] [CrossRef]
- Fan, C.; Li, S.; Luo, M.; Du, W.; Yang, Z. Coal and gas outburst dynamic system. Int. J. Min. Sci. Technol. 2017, 27, 49–55. [Google Scholar] [CrossRef]
- Zhai, C.; Xiang, X.; Xu, J.; Wu, S. The characteristics and main influencing factors affecting coal and gas outbursts in Chinese Pingdingshan mining region. Nat. Hazards 2016, 82, 507–530. [Google Scholar] [CrossRef]
- Liu, T.; Li, M.Y.; Zou, Q.L.; Li, J.F.; Lin, M.H.; Lin, B.Q. Crack instability in deep coal seam induced by the coupling of mining unloading and gas driving and transformation of failure mode. Int. J. Rock Mech. Min. Sci. 2023, 170, 105526. [Google Scholar] [CrossRef]
- Sun, W.; Wang, N.; Chu, W.; Jiang, C. The role of volatiles and coal structural variation in coal methane adsorption. Sci. Bull. 2015, 60, 532–540. [Google Scholar] [CrossRef]
- Liu, P.; Qin, Y.; Liu, S.; Hao, Y. Numerical Modeling of Gas Flow in Coal Using a Modified Dual-Porosity Model: A Multi-Mechanistic Approach and Finite Difference Method. Rock Mech. Rock Eng. 2018, 51, 2863–2880. [Google Scholar] [CrossRef]
- Xu, H.; Qin, Y.; Wu, F.; Zhang, F.; Liu, W.; Liu, J.; Guo, M. Numerical modeling of gas extraction from coal seam combined with a dual-porosity model: Finite difference solution and multi-factor analysis. Fuel 2022, 313, 122687. [Google Scholar] [CrossRef]
- Sun, L.; Wang, H.; Zhang, C.; Zhang, S.; Liu, N.; He, Z. Evolution of methane ad-/desorption and diffusion in coal under in the presence of oxygen and nitrogen after heat treatment. J. Nat. Gas Sci. Eng. 2021, 95, 104196. [Google Scholar] [CrossRef]
- Busch, A.; Gensterblum, Y. CBM and CO2-ECBM related sorption processes in coal: A review. Int. J. Coal Geol. 2011, 87, 49–71. [Google Scholar] [CrossRef]
- Zang, J.; Wang, K. A numerical model for simulating single-phase gas flow in anisotropic coal. J. Nat. Gas Sci. Eng. 2016, 28, 153–172. [Google Scholar] [CrossRef]
- Airey, E.M. Gas emission from broken coal. an experimental and theoretical investigation. Int. J. Rock Mech. Min. Sci. 1968, 5, 475–494. [Google Scholar] [CrossRef]
- Cheng, Y.; Pan, Z. Reservoir properties of Chinese tectonic coal: A review. Fuel 2020, 260, 116350. [Google Scholar] [CrossRef]
- Tu, Q.; Cheng, Y.; Xue, S.; Ren, T. Effect of particle size on gas energy release for tectonic coal during outburst process. Fuel 2022, 307, 121888. [Google Scholar] [CrossRef]
- Zhou, A.; Zhang, M.; Wang, K.; Elsworth, D.; Deng, N.; Hu, J. Rapid gas desorption and its impact on gas-coal outbursts as two-phase flows. Process Saf. Environ. Protect. 2021, 150, 478–488. [Google Scholar] [CrossRef]
- Zhang, M.; Cao, X.; Li, B.; Zhou, A. Quantitative study on the role of desorption gas on coal-gas outbursts: Energy contribution and dynamic characteristics. Process Saf. Environ. Protect. 2023, 171, 437–446. [Google Scholar] [CrossRef]
- Jin, K.; Cheng, Y.; Ren, T.; Zhao, W.; Tu, Q.; Dong, J.; Wang, Z.; Hu, B. Experimental investigation on the formation and transport mechanism of outburst coal-gas flow: Implications for the role of gas desorption in the development stage of outburst. Int. J. Coal Geol. 2018, 194, 45–58. [Google Scholar] [CrossRef]
- Wang, S.; Elsworth, D.; Liu, J. Mechanical Behavior of Methane Infiltrated Coal: The Roles of Gas Desorption, Stress Level and Loading Rate. Rock Mech. Rock Eng. 2013, 46, 945–958. [Google Scholar] [CrossRef]
- Yang, D.; Chen, Y.; Tang, J.; Li, X.; Jiang, C.; Wang, C.; Zhang, C. Experimental research into the relationship between initial gas release and coal-gas outbursts. J. Nat. Gas Sci. Eng. 2018, 50, 157–165. [Google Scholar] [CrossRef]
- Lu, S.; Li, M.; Sa, Z.; Liu, J.; Wang, S.; Qu, M. Discrimination of gas diffusion state in intact coal and tectonic coal: Model and experiment. Fuel 2022, 325, 124916. [Google Scholar] [CrossRef]
- Ye, Q.; Li, C.; Yang, T.; Wang, Y.; Li, Z.; Yin, Y. Relationship between desorption amount and temperature variation in the process of coal gas desorption. Fuel 2023, 332, 126146. [Google Scholar] [CrossRef]
- Bertard, C.; Bruyet, B.; Gunther, J. Determination of desorbable gas concentration of coal (direct method). Int. J. Rock Mech. Min. Sci. Geomech. Abstr. 1970, 7, 43–65. [Google Scholar] [CrossRef]
- Yang, Q.; Wang, Y. Theory of methane diffusion from coal cuttings and its application. J. China Coal Soc. 1986, 3, 87–94. [Google Scholar]
- Busch, A.; Gensterblum, Y.; Krooss, B.M.; Littke, R. Methane and carbon dioxide adsorption–diffusion experiments on coal: Upscaling and modeling. Int. J. Coal Geol. 2004, 60, 151–168. [Google Scholar] [CrossRef]
- Yao, Y.; Qin, Y.; Yu, H. Study on gas adsorption and desorption in coal sample. J. Liaoning Tech. Univ. (Nat. Sci.) 2009, 28, 701–703. [Google Scholar]
- Barrer, R.M. Diffusion in and through Solids; The Syndics of the Cambridge University Press: Cambridge, UK, 1951. [Google Scholar]
- Nandi, S.P.; Walker, P.L. Activated diffusion of methane in coal. Fuel 1970, 49, 309–323. [Google Scholar] [CrossRef]
- Crank, J. The Mathematics of Diffusion-Oxford University Press, 2nd ed.; Oxford University Press: Oxford, UK, 1975. [Google Scholar]
- Smith, D.M.; Williams, F.L. Diffusion models for gas production from coals: Application to methane content determination. Fuel 1984, 63, 251–255. [Google Scholar] [CrossRef]
- Ruckenstein, E.; Vaidyanathan, A.S.; Youngquist, G.R. Sorption by solids with bidisperse pore structures. Chem. Eng. Sci. 1971, 26, 1305–1318. [Google Scholar] [CrossRef]
- Clarkson, C.R.; Bustin, R.M. The effect of pore structure and gas pressure upon the transport properties of coal: A laboratory and modeling study. 2. Adsorption rate modeling. Fuel 1999, 78, 1345–1362. [Google Scholar] [CrossRef]
- Shi, J.Q.; Durucan, S. A bidisperse pore diffusion model for methane displacement desorption in coal by CO2 injection. Fuel 2003, 82, 1219–1229. [Google Scholar] [CrossRef]
- Li, Z.; Liu, D.; Cai, Y.; Shi, Y. Investigation of methane diffusion in low-rank coals by a multiporous diffusion model. J. Nat. Gas Sci. Eng. 2016, 33, 97–107. [Google Scholar] [CrossRef]
- Li, Z.; Liu, Y.; Xu, Y.; Song, D. Gas diffusion mechanism in multi-scale pores of coal particles and new diffusion model of dynamic diffusion coefficient. J. China Coal Soc. 2016, 41, 633–643. [Google Scholar]
- Li, Z.; Wang, D.; Song, D. Influence of temperature on dynamic diffusion coefficient of CH4 into coal particles by new diffusion model. J. China Coal Soc. 2015, 40, 1055–1064. [Google Scholar]
- Li, Z.; Peng, J.; Li, L.; Qi, L.; Li, W. Novel Dynamic Multiscale Model of Apparent Diffusion Permeability of Methane through Low-Permeability Coal Seams. Energy Fuels 2021, 35, 7844–7857. [Google Scholar] [CrossRef]
- Li, Z.; Li, L.; Peng, J.; Karrech, A.; Liu, Y. Model and Experiment of Multiscale Dynamic Permeability in Series for Coalbed Gas Flowing through Micro–Nanopores. Energy Fuels 2022, 36, 10845–10859. [Google Scholar] [CrossRef]
- Li, Z.; Chen, J.; Li, L.; Peng, J. Experiment, modelling, mechanism and significance of multiscale and dynamic diffusion-permeability of gas through micro-nano series pores in coal. J. China Coal Soc. 2023, 48, 1551–1566. [Google Scholar]
- Zhao, W.; Cheng, Y.; Pan, Z.; Wang, K.; Liu, S. Gas diffusion in coal particles: A review of mathematical models and their applications. Fuel 2019, 252, 77–100. [Google Scholar] [CrossRef]
- Guo, H.; Cheng, Y.; Ren, T.; Wang, L.; Yuan, L.; Jiang, H.; Liu, H. Pulverization characteristics of coal from a strong outburst-prone coal seam and their impact on gas desorption and diffusion properties. J. Nat. Gas Sci. Eng. 2016, 33, 867–878. [Google Scholar] [CrossRef]
- Zheng, J.; Liang, Q.; Zhang, X.; Huang, J.; Yan, W.; Huang, G.; Liu, H. On Gas Desorption-Diffusion Regularity of Bituminous Coal with Different Particle Sizes and Its Influence on Outburst-Coal Breaking. Sustainability 2023, 15, 9894. [Google Scholar] [CrossRef]
- Zhao, W.; Cheng, Y.; Jiang, H.; Jin, K.; Wang, H.; Wang, L. Role of the rapid gas desorption of coal powders in the development stage of outbursts. J. Nat. Gas Sci. Eng. 2016, 28, 491–501. [Google Scholar] [CrossRef]
- Irani; Riyad, R. Particle Size: Measurement, Interpretation, and Application; John Wiley & Sons, Inc.: New York, NY, USA; London, UK, 1963. [Google Scholar]
- Wang, L.; Wang, H.; Zhu, J.; Huang, W.; Zhao, Y. Experimental study on particle size distribution of impact crushed coal containing gas. Fuel 2022, 325, 124745. [Google Scholar] [CrossRef]
- Hou, S.H.; Wang, X.M.; Wang, X.J.; Yuan, Y.D.; Pan, S.D.; Wang, X.M. Pore structure characterization of low volatile bituminous coals with different particle size and tectonic deformation using low pressure gas adsorption. Int. J. Coal Geol. 2017, 183, 1–13. [Google Scholar] [CrossRef]
- Zhang, X.; Sang, S.; Qin, Y.; Zhang, J.; Tang, J. Isotherm assorption of coal samples with different grain size. J. China Univ. Min. Technol. 2005, 34, 427–432. [Google Scholar]
- Liu, Y.; Liu, M. Effect of particle size on difference of gas desorption and diffusion between soft coal and hard coal. J. China Coal Soc. 2015, 40, 579–587. [Google Scholar]
- Cheng, X.; Wang, Z.; Li, Z. Features of gas diffusion in tectonic coal with different particle sizes by new model of dynamic diffusion coefficient. J. Saf. Sci. Technol. 2016, 12, 88–93. [Google Scholar]
- Wang, Z. Research on Microstructure Evolution of Tectonic Coal and Its Influence on Gas Adsorption and Desorption Kinetics. Ph.D. Thesis, China University of Mining and Technology, Beijing, China, 2020. [Google Scholar]
- Cai, Z.; Huang, G.; Zheng, J.; Cheng, Q.; Geng, W. Experimental study on the relationship between mode I static fracture toughness and newly added surface area after crushing. Chin. J. Rock Mech. Eng. 2021, 40, 1570–1579. [Google Scholar]
- Hu, Q.; Wen, G. Mechanical Mechanism of Coal and Gas Outburst; Science Press: Beijing, China, 2013; pp. 67–68. [Google Scholar]











| No. | Pressure (MPa) | Index of Desorption γ | Coefficient of Determination |
|---|---|---|---|
| Yang | 1 | 0.5829 | 0.9303 |
| Guo-1 | 1 | 0.5149 | 0.9822 |
| Wang-1 | 1 | 0.8278 | 0.9221 |
| Wang-2 | 2 | 0.8801 | 0.8996 |
| Wang-3 | 3 | 0.9106 | 0.9796 |
| Wang-4 | 4 | 0.8541 | 0.9843 |
| Diameter/mm | Mass/g | |
|---|---|---|
| Cai-1(150 r/min) | Cai-2(250 r/min) | |
| 0–0.075 | 0 | 8.8763 |
| 0.075–0.125 | 0.0152 | 5.5584 |
| 0.125–0.18 | 0.04256 | 6.9523 |
| 0.18–0.425 | 0.8574 | 12.0993 |
| 0.425–1 | 2.8517 | 14.8428 |
| 1–2 | 44.4852 | 0.8513 |
| Diameter/mm | Proportion/% | |
|---|---|---|
| Zhong-1 | Zhong-2 | |
| <0.1 | 4.3 | 6.6 |
| 0.1–1 | 29.9 | 27.5 |
| 1–5 | 21.6 | 16.9 |
| 5–10 | 14.1 | 18.2 |
| >10 | 27.1 | 30.8 |
| No. | Distribution Index of Granularity α | Coefficient of Determination |
|---|---|---|
| Cai-1 | 1.7647 | 0.9980 |
| Cai-2 | 0.5359 | 0.9788 |
| Zhong-1 | 0.4121 | 0.9644 |
| Zhong-2 | 0.3834 | 0.9722 |
| Analysis of Coal Industry | ρ/(g/cm−3) | φ/% | a/(cm3/g) | b/(1/MPa) | |||
|---|---|---|---|---|---|---|---|
| Mad/% | Aad/% | Vad/% | Fcad/% | ||||
| 1.1 | 15 | 17.28 | 66.62 | 1.425 | 5 | 30 | 1 |
Disclaimer/Publisher’s Note: The statements, opinions and data contained in all publications are solely those of the individual author(s) and contributor(s) and not of MDPI and/or the editor(s). MDPI and/or the editor(s) disclaim responsibility for any injury to people or property resulting from any ideas, methods, instructions or products referred to in the content. |
© 2024 by the authors. Licensee MDPI, Basel, Switzerland. This article is an open access article distributed under the terms and conditions of the Creative Commons Attribution (CC BY) license (https://creativecommons.org/licenses/by/4.0/).
Share and Cite
Cheng, Q.; Huang, G.; Li, Z.; Zheng, J.; Liang, Q. Effect of Coal Particle Breakage on Gas Desorption Rate during Coal and Gas Outburst. Appl. Sci. 2024, 14, 469. https://doi.org/10.3390/app14010469
Cheng Q, Huang G, Li Z, Zheng J, Liang Q. Effect of Coal Particle Breakage on Gas Desorption Rate during Coal and Gas Outburst. Applied Sciences. 2024; 14(1):469. https://doi.org/10.3390/app14010469
Chicago/Turabian StyleCheng, Qiang, Gun Huang, Zhiqiang Li, Jie Zheng, and Qinming Liang. 2024. "Effect of Coal Particle Breakage on Gas Desorption Rate during Coal and Gas Outburst" Applied Sciences 14, no. 1: 469. https://doi.org/10.3390/app14010469
APA StyleCheng, Q., Huang, G., Li, Z., Zheng, J., & Liang, Q. (2024). Effect of Coal Particle Breakage on Gas Desorption Rate during Coal and Gas Outburst. Applied Sciences, 14(1), 469. https://doi.org/10.3390/app14010469

