Abstract
Incomplete data indicate that coal gangue is accumulated in China, with over 2000 gangue hills covering an area exceeding 200,000 mu and an annual growth rate surpassing 800 million tons. This accumulation not only signifies a substantial waste of resources but also poses a significant danger to the environment. Utilizing coal gangue as an aggregate in the production of coal-gangue concrete offers an effective avenue for coal-gangue recycling. However, compared with ordinary concrete, the strength and ductility of coal-gangue concrete require enhancement. Due to coal-gangue concrete having higher brittleness and lower deformation resistance than ordinary concrete, basalt fibre (BF) is a green, high-performance fibre that exhibits excellent bonding properties with cement-based materials, and polypropylene fibre (PF) is a flexible fibre with high deformability; thus, we determine if adding BF and PF to coal-gangue concrete can enhance its ductility and strength. In this paper, the stress–strain curve trends of different hybrid basalt–polypropylene fibre-reinforced coal-gangue concrete (HBPRGC) specimens under uniaxial compression are studied when the matrix strengths are C20 and C30. The effects of BF and PF on the mechanical and energy conversion behaviours of coal-gangue concrete are analysed. The results show that the ductile deformation of coal-gangue concrete can be markedly enhanced at a 0.1% hybrid-fibre volume content; HBPRGC-20-0.1 and HBPRGC-30-0.1 have elevations of 53.66% and 51.45% in total strain energy and 54.11% and 50% in dissipative energy, respectively. And HBPRGC-20-0.2 and HBPRGC-30-0.2 have elevations of 31.95% and 30.32% in total strain energy and −3.46% and 28.71% in dissipative energy, respectively. With hybrid-fibre volume content increased, the elastic modulus, the total strain energy, and the dissipative energy all show a downward trend. Therefore, 0.1% seems to be the optimum hybrid-fibre volume content for well-enhancing the ductility and strength of coal-gangue concrete. Finally, the damage evolution and deformation trends of coal-gangue concrete doped with fibre under uniaxial action are studied theoretically, and the constitutive model and damage evolution equation of HBPRGC are established based on Weibull theory The model and the equation are in good agreement with the experimental results.
1. Introduction
Concrete is the predominant and most extensively used material in the field of civil engineering. Due to the robust development of transportation infrastructure and residential construction projects in China, concrete has been substantially consumed. This consumption not only leads to the depletion of natural macadam resources but also contributes significantly to CO2 emissions [1]. According to statistics, the construction industry generates a staggering 13 billion tons of CO2 annually, causing extensive environmental harm and hindering China’s pursuit of carbon neutrality and emission-reduction measures [2]. Consequently, there is a pressing need to identify an alternative to natural macadam. Coal gangue, which is a byproduct of coal mining and processing, consists of a complex mixture of sandstone and shale, constituting approximately 10~25% of total coal production [3]. Incomplete data indicate that coal gangue is accumulated in China, with over 2000 gangue hills covering an area exceeding 200,000 mu and an annual growth rate surpassing 800 million tons [4]. This accumulation not only signifies a substantial waste of resources but also, as demonstrated in Table 1, poses a significant environmental threat due to the presence of numerous trace elements that are harmful to the environment. Therefore, the urgency of exploiting coal gangue as a resource cannot be overstated. Utilizing coal gangue as an aggregate in the production of coal-gangue concrete offers an effective avenue for coal-gangue recycling [5,6,7,8] and holds substantial implications for the efforts of the construction industry to reduce carbon emissions [9,10,11,12].
Table 1.
Chemical composition of coal gangue in different producing areas.
In nature, coal gangue typically exists in two distinct forms: nonspontaneous combustion gangue (referred to as fresh gangue) and spontaneous combustion gangue [13]. Nonspontaneous combustion gangue is characterized by a relatively brief stacking duration, often appearing greyish-black in colour and maintains a structurally stable crystalline form and minimal reactivity [14]. The sandy mudstone and sandstone components are applicable in construction engineering as concrete aggregates. In terms of quality and quantity, the chemical composition closely resembles that of the conventional macadam aggregates employed in concrete, rendering coal gangue amenable to recycling [15,16]. Conversely, spontaneous-combustion gangue refers to coal gangue that undergoes self combustion during stacking under specific conditions. This process substantially reduces the carbon content while elevating the levels of silicon dioxide and alumina to contents similar to those of volcanic slag, pumice, fly ash, and other materials, thus classifying it as a type of volcanic ash material [17]. Through spontaneous combustion or calcination, original clay minerals, such as kaolinite and hydromica, within coal gangue undergo dehydration, decomposition, high-temperature melting, and recrystallization, giving rise to new phases, notably metakaolin [18]. This transformation results in the emergence of active SiO2 and Al2O3, imparting a degree of reactivity to spontaneous combustion or calcined coal gangue, rendering it a valuable active concrete aggregate [19].
Prominent experts and scholars have undertaken extensive investigations into the production of concrete utilizing coal gangue. According to research conducted by Huang Litao [20], the mechanical characteristics of concrete, such as the elastic modulus, tend to decrease as the proportions of expanded clay and nonoxidized coal-gangue coarse aggregates used as replacements increase. Zhang Changsen [21] discovered that substituting an equivalent quantity of self-oxidized coal gangue for river sand results in concrete with greater strength than that made with sand and gravel aggregate. Volcanic ash activity of spontaneously oxidized coal gangue is responsible for this phenomenon, which participates in secondary hydration reactions with cement, thus increasing the strength of the concrete. Duan Xiaomu [22] and Pan Cheng [23] identified a distinguishing trait in coal-gangue concrete during cube compressive strength tests; compared with regular concrete, coal-gangue concrete tends to experience sudden crushing failures due to its higher brittleness and lower deformability. Nevertheless, this concrete specimen exhibits weak resistance to deformation and offers no clear signs of expansion prior to failure. This observation reaffirms coal-gangue concrete’s characteristics of high brittleness and limited ductility. Li Qingwen et al. [24,25,26] examined the durability of coal-gangue concrete exposed to alternating freeze–thaw cycles and carbonization environments. Their experimental findings indicated a positive correlation between the water–cement ratio of coal-gangue concrete and carbonation depth. This relationship underscores the significance of brittleness and microcracks as key factors affecting carbonation depth. The collective findings of these studies suggest that the strength and ductility of coal-gangue concrete can be enhanced through the incorporation of suitable fibres. This approach has the potential to reduce the number of brittle deformations, control the occurrence of microcracks, minimize permeability, and enhance the carbonation resistance of coal-gangue concrete.
To date, the addition of fibres is an internationally recognized method for effectively mitigating the brittleness of concrete materials and enhancing their toughness [27,28,29]. A combination of various types and sizes of fibres can effectively suppress the initiation and propagation of concrete cracks across different structural scales, significantly improving the toughness and crack resistance of concrete. Basalt fibre (BF) is made of basalt by high temperature and melting drawing. The preparation process of BF consumes less energy, but its elastic modulus and tensile strength can reach 93~115 GPa and 200~5000 MPa, respectively. Therefore, BF is a kind of green and high-performance fibre. In addition, it has good bonding properties with cement-based materials. These two characteristics make basalt fibre (BF) an ideal material to enhance the mechanical properties of concrete and has been widely studied and applied [30,31,32]. Polypropylene fibre (PF) is a kind of flexible fibre with high deformation properties, but its elastic modulus and tensile strength are relatively low. When mixed into concrete, the study shows that PF can effectively restrain the expansion of macroscopic cracks and improve the ductility of concrete [30,32,33,34]. Therefore, when BF and PF with different mechanical properties are mixed into concrete, they can play the role of crack bridging on different structural scales. The hybrid basalt–polypropylene fibre can not only enhance the strength of concrete but also effectively restrain the expansion of concrete cracks and improve the toughness of concrete. Jiang Chaohua and colleagues [35] utilizing scanning electron microscopy (SEM) and mercury intrusion porosimetry (MIP), demonstrated that incorporating BF into blast-furnace slag concrete greatly enhances tensile strength, flexural strength, and toughness without notably increasing compressive strength. Similarly, Çelik Zinnur et al. [36] conducted impact strength and fracture performance tests on basalt fibre (BF)-reinforced self-compacting concrete. The findings showed that BF combinations demonstrate superior impact resistance and fracture energy values to alternative fibre combinations. Xie Lei et al. [37] examined the dynamic shear behaviour of basalt-fibre-reinforced concrete (BFRC) in blast furnaces by utilizing samples containing various fibre lengths and fibre contents, totalling four variations each. Researchers have carried out comprehensive tests on the dynamic performance of direct shear, taking into account the impact of the seismic strain rate. The findings indicated that BFRC demonstrates a distinct impact on the strain rate, as an escalation in the strain rate considerably augments the shear stress. Deng Fengqiang et al. [38] found through experiments that the reinforcement effects of polypropylene fibre (PF) on the toughness and crack resistance of plain concrete are more pronounced than those on high-strength concrete. Liu Yushan [39] demonstrated through experiments that basalt fibre (BF) and polyvinyl alcohol fibre (PF) can enhance and fortify rubber concrete, impacting the mechanical properties, pore structure, and microstructure. According to experiments conducted by Fu Qiang and his team [40], inclusions of BF and PF in concrete can boost its flexural strength and enhance the tortuosity of crack propagation, ultimately improving its ductility. Additionally, it was discovered that a blend of fibres with a concentration of 0.1% is highly favourable for enhancing flexural durability.
The aforementioned studies highlight the potential of basalt fibre (BF) and polypropylene fibre (PF) to act as crack-bridging agents on different structural scales. Therefore, incorporations of BF and PF with varying sizes and mechanical properties into concrete can effectively mitigate the propagation of concrete cracks, thereby enhancing the strength and toughness of the material. However, as of now, the related research is primarily concentrated on the influences of hybrid BF’s effects and PF’s effects on the compressive strength, flexural strength, splitting tensile strength, and impact resistance of ordinary concrete. Compared with ordinary concrete, coal-gangue concrete has lower strength but higher brittleness, which greatly limits the application range of coal-gangue concrete. Enhancing the strength and ductility of coal-gangue concrete, characterized by higher brittleness, lower toughness, and inferior carbonation resistance to ordinary concrete, holds significant practical relevance. However, there are few investigations into the application of hybrid basalt–polypropylene fibre in coal-gangue concrete. Therefore, the primary focus of this study is on experimental analysis to explore the mechanical and deformation properties of mixed basalt–polypropylene fibre in coal-gangue concrete. The aim of this paper is to find the optimum hybrid-fibre content to enhance the strength and ductility of coal-gangue concrete, and it provides a reference for improving the mechanical properties of coal-gangue concrete by adding fibre.
2. Sample Preparation
The coal gangue used in this study originates from the Ping’an Mine in Fuxin City, Liaoning Province. This material is characterized by a ceramic red or brick-red colour after cleaning, and it possesses a loose structure. The mineral compositions and micromorphologies are depicted in Figure 1.
Figure 1.
Coarse aggregate of coal gangue and its energy spectrum. (a) Spontaneous combustion coal gangue from Haizhou Ping’an Mine in Fuxin; (b) energy spectrum of coal gangue.
X-ray fluorescence spectrometry analysis of the primary chemical composition of coarse coal-gangue aggregate reveals the complex nature of the coal-gangue composition of the Ping’an Mine in Fuxin City, which comprises a variety of inorganic substances. The inorganic components are primarily composed of minerals and water. SiO2 is the predominant mineral, constituting 62.23% of the composition, followed by Al2O3 at 17.51%. The composition proportion of Fe2O3, CaO, MgO, TiO2, K2O, and Na2O is 3.26%, 1.82%, 1.91%, 0.81%, and 3.33%, respectively.
In order to gain a comprehensive understanding of the physical properties of gangue coarse aggregates, we conducted a meso-structural analysis of fractured gangue using field emission scanning electron microscopy (MIRALMS, Czech TESCAN, Brno, Czech Republic). In this experiment, scanning electron microscopy (SEM) is employed, featuring a secondary electron image resolution of 0.9 nm at 15 kV and a backscattered electron image resolution of 2.0 nm at 30 kV. The instrument magnification ranges from 8× to 100,000×. Figure 2 displays scanning electron microscopy images of fractured gangue samples at different resolutions.

Figure 2.
Scanning electron microscope pictures of crushed gangue; (a) 500× resolution; (b) 1000× resolution; (c) 2000× resolution; (d) 5000× resolution; (e) 10,000× resolution; (f) 20,000× resolution.
Figure 2 reveals that the structures of fractured gangue particles are notably compact, featuring surfaces with concavities, convexities, and partially developed pores and cracks. Upon further magnification, local SEM images clearly exhibit rough, unstable, and fine surfaces on the fractured gangue particles. At resolutions exceeding 2000×, microcracks become more prevalent on the surfaces of these particles, exhibiting layered morphologies that enhance the specific surface area of the gangue aggregate and increase the stability of the gangue concrete structure.
After the sampling process, coal-gangue coarse aggregates are manually crushed and undergo two rounds of crushing using a jaw crusher. In accordance with the guidelines set by Pebble and Macadam for Construction (GB/T14685-2011) [41], coal-gangue aggregates within the particle size range of 5–20 mm are chosen as a substitute for natural macadam. The particle size of the coarse aggregates for cylindrical specimens falls within the 5–10 mm range. The particle gradation curves for these coarse aggregates are depicted in Figure 3.
Figure 3.
Coal-gangue coarse aggregate gradation curve. (a) 5~20 mm; (b) 5~10 mm.
The raw materials needed for the test are prepared in accordance with the Standard for Sand and Stone Quality and Test Methods for Ordinary Concrete (JGJ52-2006) [42] and the Code for the Mix Proportion Design of Ordinary Concrete (JGJ55-2011) [43]:
- (1)
- The cement used is Fuxin Yingshan ordinary Portland cement; the relevant parameters are shown in Table 2;
- (2)
- The fine aggregate is river sand, the maximum particle size is less than 4.75 mm, and the fineness modulus is 2.69, the related parameters are shown in Table 3;
- (3)
- The coarse aggregate used is mechanically broken coal gangue that meets the relevant standards;
- (4)
- The superplasticizer used is model CQJ-JSS powder polycarboxylic acid superplasticizer;
- (5)
- The water used is ordinary tap water;
- (6)
- The mineral admixtures mainly include silica fume, fly ash and slag powder, and their chemical compositions and physical properties are shown in Table 4;
- (7)
- Both basalt fibre (BF) and polypropylene fibre (PF) exhibit monofilament bundle morphologies. BF is characterized by its deep copper hue, while PF has a silvery-white appearance, as shown in Figure 4. The key properties of BF include a length of 18 mm, a diameter of 15 µm, a density of 2.56 g/cm3, a tensile strength of 4500 MPa, and an elastic modulus of 75,000 MPa. PF has a length of 19 mm, a diameter of 30 µm, a density of 0.91 g/cm3, a tensile strength of 270 MPa, and an elastic modulus of 3000 MPa. Understanding these characteristics is essential for assessing the performance of BF and PF when incorporated into concrete materials.
Figure 4. Morphology of basalt fibre and polypropylene fibre. (a) BF; (b) PF.
Table 2.
Cement parameters in the Fuxin area.
Table 2.
Cement parameters in the Fuxin area.
| Performance Index | ||||||
|---|---|---|---|---|---|---|
| 28 d Flexural Strength/MPa | 28 d Compressive Strength/MPa | Specific Surface Area/(m2/kg) | Initial Setting Time/h | Final Setting Time/h | Stability | |
| PO42.5 | 7.1 | 46.7 | 344 | 3.24 | 4.5 | Qualified |
Table 3.
Fine aggregate in the Fuxin area.
Table 3.
Fine aggregate in the Fuxin area.
| Detection Index | Fineness Modulus | Water Absorption Rate/% | Porosity Ratio/% | Packing Density/(kg/m3) | Apparent Density/(kg/m3) |
|---|---|---|---|---|---|
| Measured value | 2.69 | 3.36 | 43.25 | 1420 | 2645 |
Table 4.
Chemical composition and physical properties of mineral admixtures.
Table 4.
Chemical composition and physical properties of mineral admixtures.
| Material | Mass Fraction/% | Density/(g·cm−3) | 28 d Active Index/% | Specific Surface Area/(m2·kg−1) | ||||||||
|---|---|---|---|---|---|---|---|---|---|---|---|---|
| CaO | SiO2 | MgO | Fe2O3 | SO3 | A12O3 | Other | Water | Loss on Ignition | ||||
| Silica fume | 1.62 | 85.03 | 0.33 | 1.04 | / | 0.97 | 10.00 | 0.06 | 5.48 | 2.10 | 131 | 23,000 |
| Slag | 34.11 | 34.65 | 11.15 | 0.49 | 1.00 | 14.21 | 3.74 | 0.70 | 0.30 | 2.35 | 97 | 340 |
| Fly ash | 21.14 | 35.71 | 1.41 | 8.92 | 1.94 | 16.57 | 12.49 | 0.20 | 2.85 | 2.86 | 104 | 410 |
The mixture proportions of HBPRGC are presented in Table 5. The benchmark group features coal-gangue concrete with strength grades of C20 and C30, respectively. To assess the impacts of single and hybrid fibre types and various hybrid fibre quantities on mechanical behaviour, four fibre-mixing modes are formulated based on each reference group of coal-gangue concrete. OCGC, BCGC, PCGC, and HBPRGC correspond to the reference group, basalt-fibre (BF)-reinforced coal-gangue concrete, polypropylene-fibre (PF)-reinforced coal-gangue concrete, and BF and PF hybrid-reinforced coal-gangue concrete, respectively. The C20 group and the C30 group use cement, water, slag, silica fume, fly ash, sand, coarse aggregate, and water reducer in the same volume fraction in each group. Similarly, fibre-reinforced concrete with different strength bases adds the same volume fraction of fibres. In Table 5, 20 and 30 represent the concrete strength grades (C20 and C30), and 0.1 and 0.2 denote the volume percentages of fibres. For instance, HBPRGC-20-0.1 signifies HBPRGC with a C20 matrix strength and a 0.1% hybrid-fibre content.
Table 5.
Mixture proportion of HBPRGC.
2.1. Specimen Preparation
To enhance fibre-dispersion uniformity, it is necessary to extend the mixing time of the HBPRGC mixture. By following established practices for hybrid basalt–polypropylene fibre-reinforced concrete, the initial mixing of coarse-grained and fine-grained aggregates is conducted for 30 s. Subsequently, the cement and mineral admixture of C30 is introduced into the mixer and stirred for 2 min. When incorporating the fibres, PF and BF are added sequentially with stirring durations of 3 min and 2 min, respectively. Finally, the premixed water and water-reducing agent are added to the blender and stirred for 2 min. After thorough mixing, the HBPRGC mixture is promptly poured into a prism mould measuring 100 mm × 100 mm × 300 mm and compacted using a shaking table. After 24 h of holding at room temperature, the specimens are removed and placed in a standard curing room at a temperature of 20 ± 2 °C and a relative humidity exceeding 95% for 28 days.
2.2. Stress–Strain Relationship Test
In this test, a WDW-100E microcomputer-controlled electronic universal testing machine from Jinan Shidai Shijin Testing Machine Co., Ltd. (Jinan, China) with a maximum loading capacity of 100 kN is employed. To mitigate the end effects and reduce friction between the specimen end face and the loading pressure plate, talc powder is applied to both ends of the specimen before loading. Loading is carried out at a speed of 0.01 mm/min until approximately 10% of the specimen’s peak strength is reached. Then, the specimen is unloaded. Three cycles of loading and unloading are performed to ensure close contact between the specimen and the loading pressure plate. An LVDT displacement sensor measures the longitudinal deformation of the HBPRGC specimens, and the computer automatically records the load. Each group is tested with five specimens, and results with noticeable errors are eliminated. The average values of the remaining results constitute the final stress–strain test results for this group of specimens. A picture of the test system is shown in Figure 5.
Figure 5.
Test system.
3. Results and Discussion
3.1. Stress–Strain Curve
Figure 6 displays the stress–strain curve of HBPRGC. Notably, when the matrix strength is constant, the overall shape of the stress–strain curve undergoes significant changes with the addition of BF and PF. At a 0.1% fibre volume content, the addition of fibres minimally impacts the initial elastic deformation stage preceding the peak stress but markedly enhances the rate of stress reduction after the peak stress is reached, which indicates that it improves the ductile deformation of coal-gangue concrete. Comparatively, when either BF or PF is added individually, although the difference in strain corresponding to the HBPRGC compressive strength is marginal, BF exhibits a greater influence on the strength of coal-gangue concrete than PF. After reaching the same postpeak strain, coal-gangue concrete mixed with BF shows slightly lower strength than its PF-mixed counterpart, implying that PF enhances the ductility deformation slightly more than BF. The combination of BF and PF has the most pronounced effect on coal-gangue concrete ductility deformation among the tested specimens. At a 0.2% hybrid-fibre volume content, during the front elastic deformation stage of the peak stress, the slope of the stress–strain curve decreases, and the ductile deformation of gangue concrete increases significantly. However, excessive hybrid-fibre volume can lead to reduced fibre-dispersion uniformity in the coal-gangue concrete matrix, resulting in the stacking, gathering, and introduction of air bubbles during mixing, thereby increasing the internal defects in the coal-gangue concrete and reducing deformation resistance.
Figure 6.
Stress–strain curves of the compression test. (a) C20; (b) C30.
As matrix strength increases in HBPRGC, the influence of fibres on the initial elastic deformation stage of the stress–strain curve diminishes as the matrix strength increases. In contrast, for the reference group of coal-gangue concrete, a higher matrix strength leads to higher stress-reduction rates and more pronounced brittle failure characteristics after reaching the peak stress on the stress–strain curve. Notably, the addition of fibres significantly mitigates the impacts of matrix strength on the brittle failure characteristics of coal-gangue concrete, underscoring the benefits of BF and PF in enhancing the ductile deformation of coal-gangue concrete.
Figure 7a illustrates variations in the compressive strength of HBPRGC with the fibre volume content, type, and matrix strength. Notably, for coal-gangue concrete with differing matrix strengths, the influences of fibre type and volume content on compressive strength are consistent. At a 0.1% fibre volume content, the compressive strengths of BC-20-0.1 and BC-30-0.1 increase by 14.12% and 4.78%, respectively, relative to the base group coal-gangue concrete. Additionally, PC-30-0.1 and PC-30-0.1 exhibit respective increases of 1.68% and 1.25% in compressive strength. Similarly, HBPRGC-20-0.1 and HBPRGC-30-0.1 demonstrate increases of 4.92% and 2.00% in compressive strength. Consequently, BF proves to be more effective in enhancing the compressive strength of coal-gangue concrete than PF. The impact of the hybrid BF and PF reinforcement on compressive strength falls between the two previously mentioned reinforcements and does not exhibit a noticeable hybrid synergistic effect [44]. BF, which is a hydrophilic fibre, exhibits strong bonding properties with the coal-gangue concrete matrix. In contrast, PF, which is a hydrophobic fibre, displays relatively weak bond performance with the matrix [45,46]. Studies by Fu Qiang et al. [47] have presented bonding properties between BF and PF and cement mortar with similar compositions, concluding that the bond strength of BF to cement mortar is higher than that of PF to cement mortar, further substantiating the superior bonding characteristics of BF with cement-based materials. Additionally, when the fibre volume content is equivalent, BF exhibits a significantly smaller monofilament diameter than PF, resulting in the presence of more BF monofilaments than PF monofilaments. Therefore, the effect of BF on the compressive strength of coal-gangue concrete is enhanced relative to PF. However, when mixed BF and PF have an excessive volume content, the number of internal defects within coal-gangue concrete is increased, consequently diminishing compressive strength. When the volume content of fibre is small, after mixing, the fibre can be evenly distributed into the concrete. However, when the volume content of fibre added increases, because of the high consistency of the concrete itself, it is difficult for the fibre to be evenly and ideally distributed into the concrete. Basalt fibre (BF) has high strength and good bonding properties with cement-based materials. The strength of basalt fibre of the same volume is higher than that of concrete of the same volume, but polypropylene fibre (PF) is a kind of filamentous flexible fibre. When the amount of polypropylene fibre is large, the filamentous polypropylene fibre is easily wound, thus forming a mass in the concrete. These agglomerate structures are unevenly distributed in coal-gangue concrete, which not only leads to the low strength of concrete in the agglomeration but also leads to the concrete not filling the pores in the mass well, resulting in holes and congenital defects of concrete. In addition, compared with basalt fibre (BF), polypropylene has relatively weak bonding properties with cement-based materials. More polypropylene in concrete means more interfaces between the polypropylene and the concrete. The weak bonding on the interfaces will deteriorate the concrete; thus, the interfaces are also regarded as internal defects in concrete. The internal defect in concrete is one of the important reasons why the strengthening effect of coal-gangue concrete with less hybrid fibre is more obvious than that with more fibre. Relative to the benchmark coal-gangue concrete, HBPRGC-20-0.2 and HBPRGC-30-0.2 experience respective reductions of 13.75% and 13.07% in compressive strength.
Figure 7.
The variation of compressive strength and elastic modulus of HBPRGC. (a) Compressive strength; (b) Elastic modulus.
Figure 7b presents the variations in the elastic modulus of HBPRGC concerning the fibre volume content, type, and matrix strength. The elastic modulus reflects the material resistance to deformation in its initial undamaged state, where internal defects within coal-gangue concrete have not yet developed, and the bridging effect of the fibre remains unapparent. Hence, the effects of BF and PF on coal-gangue concrete’s elastic modulus do not align with their effects on compressive strength. Specifically, at a 0.1% fibre volume content, the elastic modulus of BC-20-0.1 and BC-30-0.1 increase by 15.22% and 4.77%, respectively, relative to the base coal-gangue concrete group. Conversely, PC 20-0.1 and PC-30-0.1 experience reductions of 5.23% and 5.07% in their elastic modulus, respectively. For HBPRGC-20-0.1 and HBPRGC-30-0.1, the elastic modulus increase by 8.01% and 5.10%, respectively. Both BF and PF exhibit the capacity to mitigate shrinkage cracking in coal-gangue concrete during the hardening process. Consequently, the inclusion of BF is beneficial for reducing the initial internal defects of coal-gangue concrete, with the inherently high stiffness of BF resulting in an increased elastic modulus. Conversely, with PF, characterized by weak bonding with the coal-gangue concrete matrix and by low stiffness, the elastic modulus of gangue concrete decreases. However, an excessive mixture of BF and PF results in an increase in internal defects within coal-gangue concrete, subsequently reducing the elastic modulus. Relative to the benchmark coal-gangue concrete, HBPRGC-20-0.2 and HBPRGC-30-0.2 experience reductions of 22.81% and 26.78% in elastic modulus, respectively.
The addition of fibres can markedly improve the ductile deformation of coal-gangue concrete. When either BF or PF is added individually, BF exhibits a greater influence on the strength of coal-gangue concrete than PF, and PF enhances the ductile deformation slightly more than BF. The combination of BF and PF has the most pronounced effect on coal-gangue concrete ductile deformation among the tested specimens. At a 0.2% hybrid-fibre volume content, the ductile deformation of gangue concrete increases significantly. However, the strength is lower than the situation in which the hybrid-fibre volume content is 0.1%. Therefore, 0.1% seems to be the optimum hybrid-fibre volume content for enhancing both the ductility and strength of coal-gangue concrete.
3.2. Law of Energy Evolution
Figure 8 illustrates the stress–strain relationship and energy-evolution characteristics of coal-gangue concrete. The energy-evolution characteristic curve of coal-gangue concrete can be segmented into four distinct stages. (I) Primary crack closure stage: during this phase, the initial load causes the primary crack in the coal-gangue concrete to close, resulting in relatively low total strain energy. No new cracks form in the gangue concrete interior, and the dissipation energy remains low. (II) Linear elastic stage: this stage corresponds to the elastic deformation of coal-gangue concrete, with no formation of new cracks. Consequently, the dissipation energy remains low, and the total strain energy is stored in the coal-gangue concrete in the form of elastic strain energy. (III) Rapid crack expansion stage: new cracks gradually emerge in the coal-gangue concrete during this stage. A portion of the total strain energy is converted into dissipative energy, and the rate of increase in elastic strain energy decreases. (IV) Crack-penetration stage: as soon as reaching the peak stress, the cracks in the coal-gangue concrete progressively extend, forming macroscopic cracks and leading to material failure. During this phase, as the load gradually decreases, the total strain energy increases at a slower rate. The elastic strain energy stored in the coal-gangue concrete is dissipated as a result of crack penetration, leading to a gradual reduction in elastic strain energy and a simultaneous increase in dissipative energy.
Figure 8.
Energy-evolution characteristics of HBPRGC.
Figure 9 and Figure 10 depict the strain energy evolution of HBPRGC specimens with different matrix strength grades. When the matrix strength is identical, the total strain energy aligns closely with the dissipated energy of HBPRGC. Initially, at a fibre volume content of 0.1%, the impacts of the fibre on both the total strain energy and dissipated energy in coal-gangue concrete are minimal. However, with ongoing deformation, the addition of fibre notably accelerates the increase in both total strain and dissipative energy, which is particularly evident when blending BF and PF. Compared to standard coal-gangue concrete, BC-20-0.1 and BC-30-0.1 display increases in total strain energy of 26.12% and 27.44%, respectively, with corresponding increases in dissipative energy of 28.15% and 23.01%, respectively. Similarly, PC-20-0.1 and PC-30-0.1 exhibit amplified total strain energies of 26.34% and 31.85%, respectively, along with corresponding increases in dissipative energies of 48.61% and 52.16%. HBPRGC-20-0.1 and HBPRGC-30-0.1 have elevations of 53.66% and 51.45% in total strain energy and 54.11% and 50% in dissipative energy, respectively.
Figure 9.
Energy-evolution law of HBPRGC with matrix strength grade of C20. (a) Elastic strain energy; (b) dissipated energy; (c) total strain energy.
Figure 10.
Energy-evolution law of HBPRGC with matrix strength grade of C30. (a) Elastic strain energy; (b) dissipated energy; (c) total strain energy.
When the volume content of hybrid fibres reaches 0.2%, it is relatively modest when it comes to the rates of increase in both the total strain energy and the dissipative energy in coal-gangue concrete during the initial deformation stage. However, as deformation progresses, the rates of increase in total strain energy and dissipative energy for coal-gangue concrete with 0.2% hybrid-fibre content become significantly more pronounced. In the final deformation stage, relative to standard coal-gangue concrete, HBPRGC-20-0.2 and HBPRGC-30-0.2 exhibit substantial increases of 42.16% and 44.87% in total strain energy, along with increases of 42.14% and 43.19% in dissipative energy, surpassing both the base group coal-gangue concrete and single-fibre gangue concrete. These values are second to coal-gangue concrete with a mixed fibre volume of 0.1%.
By analysing the elastic strain energy variation curve, it is evident that prior to reaching the peak elastic strain energy, the influences of the fibre type and content on the elastic strain energy of coal-gangue concrete closely mirror those of the total strain energy and dissipated energy. Subsequent to the peak elastic strain energy, the elastic strain energy of the reference group coal-gangue concrete diminishes rapidly, indicating rapid crack penetration and a conspicuous brittle failure. The introduction of fibre, particularly the inclusion of a hybrid fibre, reduces the rate at which elastic strain energy decreases and enhances the characteristics of ductile failure. This improvement is more pronounced with higher hybrid-fibre volume content. This characteristic is attributed to the crack-bridging action of BF and PF, which delays crack propagation and penetration speed, ultimately enhancing the ductile failure characteristics of coal-gangue concrete.
A comparison between Figure 9 and Figure 10 reveals that as the matrix strength increases, the peak elastic strain energy increases from 0.020 J·cm−3~0.025 J·cm−3 to 0.028 J·cm−3~0.032 J·cm−3, the total strain energy and the dissipation energy also show a gradually increasing trend. Simultaneously, the impacts of fibre type and volume content on the energy-evolution characteristics of coal-gangue concrete diminish. This observation suggests that heightened matrix strength attenuates the influence of the fibre on the performance of coal-gangue concrete, hybrid fibres are more effective in enhancing coal-gangue concrete with low matrix strength.
The energy conversion rates of HBPRGC are illustrated in Figure 11; α = Ue/U is defined as elastic strain energy conversion in HBPRGC, and β = Ud/U is defined as dissipative energy conversion. Figure 11 demonstrates that in the closing stage of primary cracks (stage I) when the matrix strength remains constant, the elastic strain energy conversion in HBPRGC decreases to α < 1, while the dissipative energy conversion increases to β > 0.1. This phenomenon is mainly attributed to the energy consumed by primary crack closure due to friction. During the stage of elastic deformation (stage II), the addition of fibre leads to increased internal interfaces within coal-gangue concrete. Consequently, loading induces dislocation and interface friction, resulting in increased energy consumption. Hence, the addition of fibre reduces the elastic strain energy conversion rate and augments the dissipative energy-conversion rate.
Figure 11.
Energy-conversion ratio of HBPRGC.
In the phase of rapid crack expansion (stage III), the rate at which the elastic strain energy conversion diminishes. At the same time, the rate at which the dissipative energy conversion accelerates in coal-gangue concrete is mainly due to the crack-bridging effect of fibre. The crack-bridging effect of fibre is helpful for consuming more energy and preventing crack expansion in the crack-expansion stage of concrete. Thus, coal-gangue concrete doped fibres can absorb more energy for the same state of crack development, which means the strength and ductility of coal-gangue concrete all have improved significantly. As the crack-penetration stage is reached (stage IV), cracks tend to propagate through the material. The crack-limiting effect of fibre becomes more pronounced, reducing the rate of crack penetration in coal-gangue concrete. Consequently, the rate of elastic strain energy conversion notably decreases and the rate of dissipative energy conversion significantly increases, enhancing the ductile deformation of the material. Furthermore, with increased matrix strength, the concentration of elastic strain energy conversion and the curve of dissipative energy conversion in HBPRGC increase. This observation underscores that higher matrix strength weakens the influence of fibre on coal-gangue concrete properties.
The increase in both total strain energy and dissipative energy accelerates notably at a fibre volume content of 0.1%; HBPRGC-20-0.1 and HBPRGC-30-0.1 have elevations of 53.66% and 51.45% in total strain energy and 54.11% and 50% in dissipative energy, respectively. When the volume content of hybrid fibres reaches 0.2%, HBPRGC-20-0.2 and HBPRGC-30-0.2 have elevations of 31.95% and 30.32% in total strain energy and −3.46% and 28.71% in dissipative energy, respectively. These values are second to coal-gangue concrete with a mixed fibre volume of 0.1%. Therefore, 0.1% also seems to be the optimum hybrid-fibre volume content for increasing both the total strain energy and dissipative energy of coal-gangue concrete during its uniaxial compression.
3.3. Law of Energy Evolution
The nonlinearity of concrete materials arises from two primary energy-dissipation mechanisms: microcrack development and plastic yielding. Plastic yielding results in irreversible plastic deformation, while microcrack propagation reduces stiffness and causes strain softening in concrete. To capture the irreversible damage evolution process of materials, global scholars [48,49] have extended constitutive models using damage variables within the framework of continuum mechanics.
Lemaitre, a renowned French scholar, introduced the strain equivalent principle, which states that the strain constitutive relationships of damaged materials under uniaxial stress can be derived from the constitutive equations of undamaged materials. This derivation involves replacing the nominal stress in the constitutive relationships of undamaged materials with the effective stress after damage occurs. This hypothesis allows us to establish constitutive equations for damaged materials:
The relationship between effective stress and Cauchy stress is as follows:
Combining Equations (1) and (2):
The meso-heterogeneous mechanical properties and damage of quasi-brittle materials, like concrete and rock, obey Weibull distribution, so the damage variable can be further expressed as:
Therefore,
In the formula, σn is the effective stress, σ is the Cauchy stress, D is the damage variable, E is the elastic modulus of the undamaged material, ε is strain, and F0 and m are the scale parameters and shape parameters, respectively.
According to the characteristic that the stress–strain curve is divided into four segments, the above Formula (5) needs to satisfy the following four corresponding boundary conditions:
In the formula, σc and εc are the peak stress and strain, and E is the elastic modulus of the undamaged material. Equation (6) can be obtained after derivation:
Conditions 1 and 2 are substituted (5), and conditions 2 and 4 are substituted (7), respectively. As a result, it can be obtained, that is:
As E ≠ 0, , , so , As a result, it can be obtained, that is:
Formula (9) is substituted for (6) and, considering the condition , the final result can be obtained that:
Therefore, the constitutive relation and damage of fiber-doped coal-gangue concrete under uniaxial compression can be expressed as:
Formula (11) reveals that the damage constitutive equation and damage evolution equation of fibre-doped coal-gangue concrete depend on the peak stress, peak strain, and initial elastic modulus of the material. Measuring these three values is sufficient to obtain the damage stress–strain curve and damage evolution curve of fibre-doped coal-gangue concrete.
Based on the peak stress, peak strain, and initial elastic modulus obtained from the test, we derive the damage constitutive equation and damage evolution equation for fibre-doped coal-gangue concrete under uniaxial compression. The measured values of the model parameters are provided in Table 6, while the damage constitutive equation and damage evolution equation can be found in Table 7.
Table 6.
Damage constitutive model parameters under uniaxial compression.
Table 7.
Damage constitutive equation and damage evolution equation under uniaxial compression.
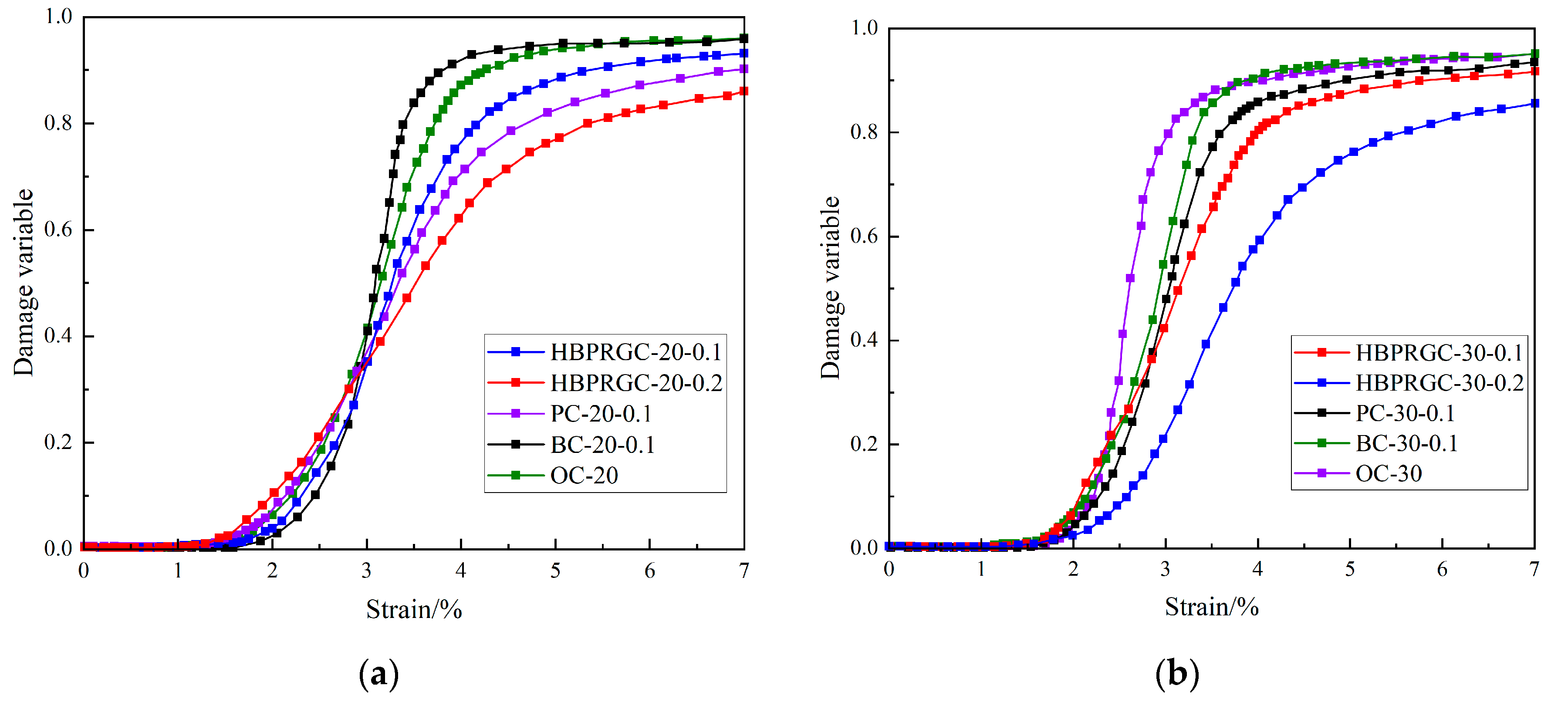
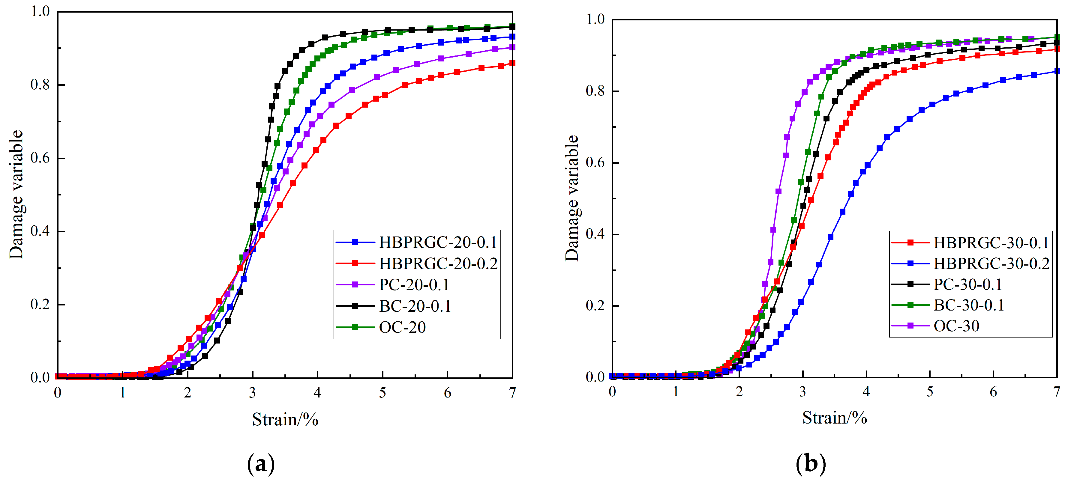
Figure 12 demonstrates that the chosen damage constitutive model aligns well with the test results. The model curve closely matches the test curve before reaching the peak stress, but deviations occur after the peak stress. Similarly, the prereverse bending point of the stress–strain curve, based on the selected constitutive model, exhibits a strong alignment with the test curve, and the stress values decline rapidly after the reverse bending point in the descending section. The test curve shows a drop in stress when strain increases to a certain extent; the stress tends towards zero, yet the rate of decline is noticeably slower than that of the model curve. This slow rate can be attributed to a critical damage threshold in the descending section of the curve. Once the damage value of coal-gangue concrete surpasses this threshold, the material properties rapidly deteriorate, causing a substantial increase in damage and a sharp reduction in the load-bearing capacity of fibre-doped coal-gangue concrete. The damage evolution characteristics of HBPRGC are illustrated in Figure 13 below.
Figure 12.
Damage constitutive model and test results fitting curve. (a) OC-30-0.1; (b) PC-30-0.1; (c) BC-30-0.1; (d) HBPRGC-30-0.1; (e) HBPRGC-30-0.2.
Figure 13.
Damage evolution characteristics of HBPRGC. (a) C20; (b) C30.
4. Conclusions
Coal gangue is a byproduct of coal mining and processing, and consists of a complex mixture of sandstone and shale, constituting approximately 10~25% of the total coal production in China. Utilizing coal gangue as an aggregate in the production of coal-gangue concrete offers an effective avenue for coal-gangue recycling and holds substantial implications for the efforts of the construction industry to reduce carbon emissions. However, compared with ordinary concrete, coal-gangue concrete has lower strength but higher brittleness. In order to enhance the strength and deformability of coal-gangue concrete, this paper has tried to add basalt fibre, polypropylene fibre, and hybrid basalt–polypropylene fibre to coal-gangue concrete, and experimentally analysed the uniaxial compressive strength, ductility, total strain energy, and dissipated energy in coal-gangue concrete after the addition of fibre with volume contents of 0.1% and 0.2%. Based on our studies, the following conclusions are derived:
- (1)
- Basalt fibre (BF) and polypropylene fibre (PF) enhance the ductile deformation of coal-gangue concrete, with the most pronounced effect observed when both fibres are combined. At a 0.1% fibre volume content, the addition of fibres will well improve the ductile deformation of coal-gangue concrete. When the hybrid-fibre volume content is increased to 0.2%, the ductile deformation of gangue concrete increases but the elastic modulus decreases. Excessive mixing of BF and PF reduces both the compressive strength and elastic modulus of coal-gangue concrete;
- (2)
- Both BF and PF reduce the elastic strain energy-release rate of coal-gangue concrete and increase the dissipation energy. Compared to standard coal-gangue concrete, BC-20-0.1 and BC-30-0.1 display increases in total strain energy of 26.12% and 27.44%, respectively, with corresponding increases in dissipative energy of 28.15% and 23.01%, respectively. Similarly, PC-20-0.1 and PC-30-0.1 exhibit amplified total strain energy of 26.34% and 31.85%, respectively, along with corresponding increases in dissipative energy of 48.61% and 52.16%. However, HBPRGC-20-0.1 and HBPRGC-30-0.1 have elevations of 53.66% and 51.45% in total strain energy and 54.11% and 50% in dissipative energy, respectively. Thus, the combined use of BF and PF amplifies their effect on extending and toughening coal-gangue concrete;
- (3)
- For the increase in both the total strain energy and the dissipative energy in the uniaxial compression process of coal-gangue concrete, 0.1% also seems to be the optimum hybrid-fibre volume content. When the volume content of hybrid fibres reaches 0.2%, it is relatively modest when it comes to the rate of increase in both the total strain energy and the dissipative energy in coal-gangue concrete during the initial deformation stage. In the final deformation stage, relative to standard coal-gangue concrete, HBPRGC-20-0.2 and HBPRGC-30-0.2 exhibit substantial increases of 42.16% and 44.87% in total strain energy, along with increases of 42.14% and 43.19% in dissipative energy, surpassing both the base group coal-gangue concrete and single-fibre gangue concrete. During the whole stress–strain process, HBPRGC-20-0.2 and HBPRGC-30-0.2 have elevations of 31.95% and 30.32% in total strain energy, and −3.46% and 28.71% in dissipative energy, respectively. These values are second to coal-gangue concrete with a mixed fibre volume of 0.1%;
- (4)
- The increased stiffness and improved bonding properties between the BF and the concrete matrix significantly contribute to the material strength. Moreover, the good ductility of PF helps restrict the expansion and penetration of macroscopic cracks. The synergistic effects of these two fibres enhance the overall ductility and toughness of the concrete;
- (5)
- A constitutive model for compressed hybrid basalt–polypropylene fibre-reinforced coal-gangue concrete (HBPRGC) is established based on statistical damage theory. The calculated results of the model align well with experimental findings, indicating its utility in predicting the stress–strain relationship of HBPRGC.
Author Contributions
Conceptualization, Y.Y. and C.X.; methodology, Y.Y. and Y.S.; validation, Y.Y.; formal analysis, J.D.; data curation, P.L.; writing—original draft preparation, C.X.; writing—review and editing, C.X. All authors have read and agreed to the published version of the manuscript.
Funding
This research was funded by the National Natural Science Foundation of China, grant number 51774167.
Institutional Review Board Statement
Not applicable.
Informed Consent Statement
Not applicable.
Data Availability Statement
The data presented in this study are available on request from the corresponding author. The data are not publicly available due to privacy.
Conflicts of Interest
The authors declare no conflicts of interest.
References
- Yu, B.; Li, L.; Tian, X.; Yu, Q.N.; Liu, J.Z.; Wang, Q. Material stock quantification and environmental impact analysis of urban road systems. Transp. Res. Part D-Transp. Environ. 2021, 93, 1361–9209. [Google Scholar] [CrossRef]
- Göttsche, J.; Kelly, M. Assessing the impact of resource efficiency on selected case studies in Ireland. Assessing the impact of resource efficiency on selected case studies in Ireland. Proc. Inst. Civ. Eng.-Waste Resour. Manag. 2020, 4, 107–118. [Google Scholar] [CrossRef]
- Zhao, Y.Q.; Wang, S.; Guo, Y.C.; Cheng, G.; He, L.; Wang, W.S. Research on the fine identification of coal types and gangue based on X-ray diffraction principle. Int. J. Coal Prep. Util. 2023, 43, 11. [Google Scholar] [CrossRef]
- Zhang, Z.K. Design and Implementation of Temperature Monitoring System for Spontaneous Combustion Coal Gangue Mountain. Master’s Thesis, China University of Mining, Beijing, China, 2023. [Google Scholar]
- Zhou, M.; Du, Y.W.; Zhang, Y.Z. Effects of the variety and content of coal gangue coarse aggregate on the mechanical properties of concrete. Constr. Build. Mater. 2019, 220, 386–395. [Google Scholar] [CrossRef]
- Shen, L.M. Composition of coal gangue and study on its reuse technology. Energy Energy Conserv. 2020, 05, 62–63. [Google Scholar] [CrossRef]
- Verian, K.P.; Ashraf, W.; Cao, Y.Z. Properties of recycled concrete aggregate and their influence in new concrete production. Resour. Conserv. Recycl. 2018, 133, 30–49. [Google Scholar] [CrossRef]
- Yi, C.; Ma, H.Q.; Chen, H.Y. Preparation and characterization of coal gangue geopolymers. Constr. Build. Mater. 2018, 187, 318–326. [Google Scholar] [CrossRef]
- Huang, G.D.; Ji, Y.S.; Li, J. Improving strength of calcinated coal gangue geopolymer mortars via increasing calcium content. Constr. Build. Mater. 2018, 166, 760–768. [Google Scholar] [CrossRef]
- Leng, F.G. Research and Application Status of Comprehensive Utilization of Coal Gangue. Sichuan Build. Sci. Res. 2000, 26, 44–46. [Google Scholar]
- Mao, Y.; Xi, B. Production of Building Materials Using Coal Gangue and Analysis of Its Performance Characteristics. China Min. 2004, 1, 50–53. [Google Scholar]
- Li, B.Q. Chinese Research in to Utilization of coalwaste inceramics refractories and cements. Adv. Appl. Ceram. 2006, 105, 64–68. [Google Scholar] [CrossRef]
- Sun, X.Y. Activation Research on Coal Gangue as an Auxiliary Cementitious Component. Master’s Thesis, Nanjing University of Technology, Nanjing, China, 2004. [Google Scholar]
- Wang, H. Study on the Mechanical Properties and Durability of Non-Spontaneous Coal Gangue Coarse Aggregate Concrete. Master’s Thesis, Hebei University, Baoding, China, 2023. [Google Scholar] [CrossRef]
- Xu, P.J.; Zhu, Y.F.; Cao, Y.D. Research progress on high-value utilization of coal gangue resources. J. Environ. Eng. 2023, 17, 3137–3147. [Google Scholar]
- Yang, Z.L.; Du, W.S.; Zhang, C.; Ma, B.J. Study on Tensile Strength and Damage Evolution Law of Sandy Mudstones with Different Sedimentary Ages in Dongsheng Coalfield in China. Ksce J. Civ. Eng. 2023, 27, 2676–2688. [Google Scholar] [CrossRef]
- Li, S.; Wang, J. Research on the spontaneous combustion mechanism of coal gangue and its prevention and control technology. Environ. Sci. Technol. 2005, 2, 82–84+119. [Google Scholar] [CrossRef]
- Liu, C.D.; Zhang, R.; Wang, Z.X.; Zhang, X.Q. Research on the fire extinguishing performance of new gel foam for preventing and controlling the spontaneous combustion of coal gangue. Environ. Sci. Pollut. Res. 2023, 30, 88548–88562. [Google Scholar] [CrossRef]
- Li, Z.X.; Guo, T.T.; Chen, Y.Z.; Zhao, X.; Chen, Y.Y.; Yang, X.; Wang, J. Road performance analysis of cement stabilized coal gangue mixture. Mater. Res. Express 2021, 8, 125502. [Google Scholar] [CrossRef]
- Huang, L.T. Experimental Research on the Mechanical Properties of Expanded Clay-Non-Spontaneous Combustion Coal Gangue Concrete. Master’s Thesis, China University of Mining and Technology, Xuzhou, China, 2012. [Google Scholar]
- Zhang, C.S. New Technologies for Comprehensive Utilization of Coal Gangue Resources; Chemical Industry Press: Beijing, China, 2008. [Google Scholar]
- Duan, X.M. Study on the Microstructure and Physical-Mechanical Properties of Coal Gangue Aggregate Concrete. Master’s Thesis, China University of Mining and Technology, Xuzhou, China, 2014. [Google Scholar]
- Pan, C. Study on the Elasto-Plastic Constitutive Model and Damage-Fracture Mechanism of Coal Gangue Concrete; Liaoning Technical University: Fuxin, China, 2021. [Google Scholar]
- Li, Q.W.; Li, G.X.; Li, Y. Study on the Durability of Coal Gangue Concrete under Alternating Freeze-Thaw and Carbonation Actions. Non-Met. Mines 2015, 38, 39–42. [Google Scholar]
- Zhang, X.D.; Li, Q.W.; Li, G.X. Experimental Study on the Carbonation Performance of Lightweight Aggregate Concrete with Spontaneous Combustion Coal Gangue. Non-Met. Mines 2015, 38, 40–51. [Google Scholar]
- Zhang, X.D.; Li, Q.W.; Song, Y. Study on the Frost Resistance of Coal Gangue Concrete with Anti-Freeze Admixture. Non-Met. Mines 2016, 39, 48–51. [Google Scholar]
- Gao, H.J.; Zhai, Y.; Zhou, M. Experimental Study on Polypropylene Fiber Spontaneous Combustion Coal Gangue Lightweight Aggregate Concrete. Bull. Chin. Ceram. Soc. 2008, 27, 1156–1161. [Google Scholar] [CrossRef]
- Wang, Z.H.; Li, L.; Zhang, Y.X.; Wang, W.T. Bond-slip model considering freeze-thaw damage effect of concrete and its application. Eng. Struct. 2019, 201, 109831. [Google Scholar] [CrossRef]
- Sun, X.; Gao, Z.; Cao, P.; Zhou, C. Mechanical properties tests and multiscale numerical simulations for basalt fiber reinforced concrete. Constr. Build. Mater. 2019, 202, 58–72. [Google Scholar] [CrossRef]
- Ralegaonkar, R.; Gavali, H.; Aswath, P. Application of chopped basalt fibers in reinforced mortar: A review. Constr. Build. Mater. 2018, 164, 589–602. [Google Scholar] [CrossRef]
- Qian, C.X.; Stroeven, P. Development of hybridpolypropylene-steel fibre-reinforced concrete. Cem. Concr. Res. 2000, 30, 63–69. [Google Scholar] [CrossRef]
- Buendía, A.M.L.; Sá Nchez, M.D.R.; Climent, V. Surface treated polypropylene (PP) fibres for reinforced concrete. Cem. Concr. Res. 2013, 54, 29–35. [Google Scholar] [CrossRef]
- Chi, Y.; Xu, L.H.; Zhang, Y.Y. Experimental study on hybrid fiber-reinforced concrete subjected to uniaxial compression. J. Mater. Civ. Eng. 2014, 26, 211–218. [Google Scholar] [CrossRef]
- Al-Rousan, E.T.; Khalid, H.R.; Rahman, M.K. Fresh mechanical and durability properties of basalt fiber-reinforced concrete (BFRC): A review. Contents List. Available 2023, 14, 17. [Google Scholar] [CrossRef]
- Jiang, C.H.; Fan, K.; Wu, F.; Chen, D. Experimental study on the mechanical properties and microstructure of chopped basalt fibre reinforced concrete. Mater. Des. 2023, 58, 187–193. [Google Scholar] [CrossRef]
- Çelik, Z.; Bingöl, A.F. Fracture properties and impact resistance of self-compacting fiber reinforced concrete (SCFRC). Mater. Struct. 2020, 53, 3. [Google Scholar] [CrossRef]
- Xie, L.; Sun, X.J.; Yu, Z.P.; Guan, Z.X.; Long, A.X.; Lian, H.H.; Lian, Y.J. Experimental study and theoretical analysis on dynamic mechanical properties of basalt fiber reinforced concrete. J. Build. Eng. 2022, 62, 105334. [Google Scholar] [CrossRef]
- Deng, F.Q.; Cao, C.; Xu, L.H.; Chi, Y. Interfacial bond characteristics of polypropylene fiber in steel/polypropylene blended fiber reinforced cementitious composite. Constr. Build. Mater. 2022, 341, 127897. [Google Scholar] [CrossRef]
- Liu, Y.S.; Pang, J.Y.; Chen, Q.Q.; Yao, W.J. Study on Mechanical Properties and Pore Structure of Hybrid Fiber Reinforced Rubber Concrete. Crystals 2021, 11, 11. [Google Scholar] [CrossRef]
- Fu, Q.; Zhang, Z.R.; Xu, W.R.; Zhao, X.; Zhang, L.; Wang, Y.; Niu, D.T. Flexural Behavior and Prediction Model of Basalt Fiber/Polypropylene Fiber-Reinforced Concrete. Int. J. Concr. Struct. Mater. 2022, 16, 1. [Google Scholar] [CrossRef]
- GB/T14685-2011; Pebble and Macadam for Construction: General Requirements for Sampling. Standards Press of China: Beijing, China, 2011.
- JGJ52-2006; Sand and Stone Quality and Test Methods for Ordinary Concrete: General Requirements for Sampling. Standards Press of China: Beijing, China, 2006.
- JGJ55-2011; The Code for Mix Proportion Design of Ordinary Concrete: General Requirements for Sampling. Standards Press of China: Beijing, China, 2011.
- Liu, K.N.; Wang, S.L.; Quan, X.Y.; Duan, W.; Nan, Z.; Wei, T.; Xu, F.; Li, B.B. Study on the mechanical properties and microstructure of fiber reinforced metakaolin-based recycled aggregate concrete. Constr. Build. Mater. 2021, 294, 123554. [Google Scholar] [CrossRef]
- Zhu, S.Y.; Xu, Z.R.; Qin, X.T.; Liao, M.H. Fiber-Reinforcing Effect in the Mechanical and Road Performance of Cement-Emulsified Asphalt Mixtures. Materials 2021, 14, 11. [Google Scholar] [CrossRef] [PubMed]
- Alomayri, T.; Ali, B. Effect of plant fiber type and content on the strength and durability performance of high-strength concrete. Constr. Build. Mater. 2023, 394, 132166. [Google Scholar] [CrossRef]
- Fu, Q.; Wang, Z.H.; Bu, M.X.; Su, L.; Kou, H.L.; Li, N.; Niu, D.T. Constitutive behaviour and modelling of hybrid basalt-polypropylene fibre-reinforced concrete considering coupling effect of fibre reinforcement and mechanical damage. Mater. Struct. 2022, 55, 6. [Google Scholar] [CrossRef]
- Qi, H.J.; Li, T.C.; Liu, X.Q.; Zhao, L.H.; Lin, C.N.; Fan, S.J. A variable parameters damage model for concrete. Eng. Fract. Mech. 2020, 228, 106898. [Google Scholar] [CrossRef]
- Liu, J.; Lin, G.; Zhong, H. An elastoplastic damage constitutive model for concrete. China Ocean Eng. 2013, 27, 169–182. [Google Scholar] [CrossRef]
Disclaimer/Publisher’s Note: The statements, opinions and data contained in all publications are solely those of the individual author(s) and contributor(s) and not of MDPI and/or the editor(s). MDPI and/or the editor(s) disclaim responsibility for any injury to people or property resulting from any ideas, methods, instructions or products referred to in the content. |
© 2024 by the authors. Licensee MDPI, Basel, Switzerland. This article is an open access article distributed under the terms and conditions of the Creative Commons Attribution (CC BY) license (https://creativecommons.org/licenses/by/4.0/).