Extraction Study of Lignite Coalbed Methane as a Potential Supplement to Natural Gas for Enhancing Energy Security of Western Macedonia Region in Greece
Abstract
:1. Introduction
2. Geological Structure of Ptolemaida’s Lignite Deposits
3. Experimental Section
3.1. Sample Collection and Preparation
- Thin-walled samplers were used to minimize friction between the sampler and soil;
- The equipment had been properly maintained before the sampling;
- The bottom of the borehole had been cleaned through a continuous circulation of fluid;
- The movement of the sampler was slow to avoid impact;
- The sampler advance was shorter than the length to avoid compressing the sample.
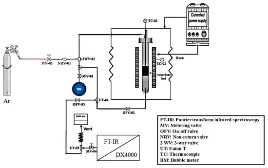
3.2. Desorption Experiments
4. Results and Discussion
4.1. Sample Characterization
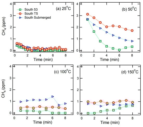
4.2. Methane Desorption
4.3. SWOT (Strengths, Weaknesses, Opportunities, and Threats) Analysis
5. Conclusions
Author Contributions
Funding
Institutional Review Board Statement
Informed Consent Statement
Data Availability Statement
Acknowledgments
Conflicts of Interest
References
- BP Statistical Review of World Energy. Statistical Review of World Energy 2022. 2022. Available online: https://www.bp.com/content/dam/bp/business-sites/en/global/corporate/pdfs/energy-economics/statistical-review/bp-stats-review-2022-full-report.pdf (accessed on 12 December 2023).
- ExxonMobil. Outlook-for-Energy-Exxon; ExxonMobil: Houston, TX, USA, 2018. [Google Scholar]
- Muther, T.; Qureshi, H.A.; Syed, F.I.; Aziz, H.; Siyal, A.; Dahaghi, A.K.; Negahban, S. Unconventional hydrocarbon resources: Geological statistics, petrophysical characterization, and field development strategies. J. Pet. Explor. Prod. Technol. 2022, 12, 1463–1488. [Google Scholar] [CrossRef]
- CBM Market Analysis. Coal Bed Methane Market; Grand View Research, Inc.: San Francisco, CA, USA, 2022. [Google Scholar]
- European Commission. Communication from the Commission to the European Parliament, the Council, the European Economic and Social Committee and the Committee of the Regions: A Policy Framework for Climate and Energy in the Period from 2020 to 2030; European Commission: Brussels, Belgium, 2014. [Google Scholar]
- Al-Jubori, A.; Johnston, S.; Boyer, C.; Lambert, S.W.; Bustos, O.A.; Pashin, J.C.; Wray, A.; Lewis, R.; City, O.; Oklahoma, U.; et al. Coalbed Methane: Clean Energy for the World. Oilfield Rev. 2009, 21, 4–13. [Google Scholar]
- Cai, J.; Xu, C.G.; Xia, Z.M.; Chen, Z.Y.; Li, X. Hydrate-based methane separation from coal mine methane gas mixture by bubbling using the scale-up equipment. Appl. Energy 2017, 204, 1526–1534. [Google Scholar] [CrossRef]
- Mokhatab, S.; Poe, W.A.; Mak, J.Y. Natural gas fundamentals. In Handbook of Natural Gas Transmission and Processing Principles and Practices; Saad, J., Ed.; Gulf Professional Publishing: Houston, TX, USA, 2018; pp. 1–35. [Google Scholar]
- Jian, K.; Fu, X.; Chen, Z.; Li, M.; Xu, X.; Guo, Y.; Liu, J.; Liu, M. Organic geochemical characteristics of coal biogasification. Fuel 2022, 330, 125637. [Google Scholar] [CrossRef]
- Mayumi, D.; Mochimaru, H.; Tamaki, H.; Yamamoto, K.; Yoshioka, H.; Suzuki, Y.; Kamagata, Y.; Sakata, S. Methane production from coal by a single methanogen. Science 2016, 354, 222–225. [Google Scholar] [CrossRef] [PubMed]
- Olajossy, A.; Cieślik, J. Why coal bed methane (CBM) production in some basins is difficult. Energies 2019, 12, 2918. [Google Scholar] [CrossRef]
- Clarkson, C.R.; Pan, Z.; Palmer, I.; Harpalani, S. Predicting Sorption-Induced Strain and Permeability Increase with Depletion for Coalbed-Methane Reservoirs. Soc. Petrol. Eng. 2010, 15, 152–159. [Google Scholar] [CrossRef]
- Seidle, J. Fundamentals of Coalbed Methane Reservoir Engineering; PennWell Corp.: Tulsa, OK, USA, 2011. [Google Scholar]
- Macuda, J.; Nodzeński, A.; Wagner, M.; Zawisza, L. Sorption of methane on lignite from Polish deposits. Int. J. Coal Geol. 2011, 87, 41–48. [Google Scholar] [CrossRef]
- Jiang, P.; Xu, H.; Wu, H.; Xin, F.; Zhao, T.; Chen, X. Pore characteristics and its heterogeneity of lignite reservoir in the Erlian Basin of Inner Mongolia, China. Energy Explor. Exploit. 2022, 40, 1555–1572. [Google Scholar] [CrossRef]
- Zhong, D.L.; Daraboina, N.; Englezos, P. Coal mine methane gas recovery by hydrate formation in a fixed bed of silica sand particles. Energy Fuels 2013, 27, 4581–4588. [Google Scholar] [CrossRef]
- Hong, L.; Wang, W.; Gao, D.; Liu, W. Critical pore size for micropore filling in coal samples with different rank coals. PLoS ONE 2022, 17, 264225. [Google Scholar] [CrossRef] [PubMed]
- Wang, W.; Hong, L.; Gao, D.; Lun, J. Filling characteristics of the micropores in coals with different metamorphic degrees. AIP Adv. 2021, 11, 125016. [Google Scholar] [CrossRef]
- Baran, P.; Jodlowski, G.S.; Zarebska, K. Sorption of CO2 in lignites from Polish coal mines: Measurements and thermodynamic analysis. Adsorption 2016, 22, 839–846. [Google Scholar] [CrossRef]
- Szafranek-Nakonieczna, A.; Zheng, Y.; Słowakiewicz, M.; Pytlak, A.; Polakowski, C.; Kubaczyński, A.; Bieganowski, A.; Banach, A.; Wolińska, A.; Stępniewska, Z. Methanogenic potential of lignites in Poland. Int. J. Coal Geol. 2018, 196, 201–210. [Google Scholar] [CrossRef]
- Wang, B.; Qin, Y.; Shen, J.; Zhang, Q.; Wang, G. Pore structure characteristics of low- and medium-rank coals and their differential adsorption and desorption effects. J. Pet. Sci. Eng. 2018, 165, 1–12. [Google Scholar] [CrossRef]
- Zhou, S.; Liu, D.; Cai, Y.; Yao, Y. Gas sorption and flow capabilities of lignite, subbituminous and high-volatile bituminous coals in the Southern Junggar Basin, NW China. J. Nat. Gas. Sci. Eng. 2016, 34, 6–21. [Google Scholar] [CrossRef]
- Saralov, A.I. Methane sorption on brown and sapropelite coals. Solid. Fuel Chem. 2010, 44, 310–314. [Google Scholar] [CrossRef]
- Macuda, J.; Baran, P.; Wagner, M. Evaluation of the Presence of Methane in Złoczew Lignite: Comparison with Other Lignite Deposits in Poland. Nat. Resour. Res. 2020, 29, 3841–3856. [Google Scholar] [CrossRef]
- Kaldellis, J.K.; Zafirakis, D.; Kondili, E. Contribution of lignite in the Greek electricity generation: Review and future prospects. Fuel 2009, 88, 475–489. [Google Scholar] [CrossRef]
- Ptolemaïda Power Station. [WWW Document]. 2023. Available online: https://www.gem.wiki/Ptolema%C3%AFda_power_station (accessed on 12 December 2023).
- Beyond Coal Europe. Greece Brings Coal Exit Forward Three Years to 2025 [WWW Document]. The Green Tank; Beyond Coal Europe: Berlin, Germany, 2021. [Google Scholar]
- Pavloudakis, F.; Roumpos, C.; Karlopoulos, E.; Koukouzas, N. Sustainable rehabilitation of surface coal mining areas: The case of greek lignite mines. Energies 2020, 13, 3995. [Google Scholar] [CrossRef]
- Evagelopoulos, V.; Begou, P.; Zoras, S. In-Depth Study of PM2.5 and PM10 Concentrations over a 12-Year Period and Their Elemental Composition in the Lignite Center of Western Macedonia, Greece. Atmosphere 2022, 13, 1900. [Google Scholar] [CrossRef]
- Antoniadis, P.; Mavridou, E.; Gentzis, T. The Notio Pedio (Southern Field) lignite deposit in the Ptolemaida Basin, Greece: Depositional conditions as revealed through petrography. Energy Sources 2005, 27, 1117–1131. [Google Scholar] [CrossRef]
- Metaxas, A.; Karageorgiou, D.E.; Varvarousis, G.; Kotis, T.; Ploumidis, M.; Papanikolaou, G. Geological evolution-stratigraphy of Florina, Ptolemaida, Kozani and Saradaporo graben. Earth-Sci. Rev. 2018, 179, 392–410. [Google Scholar] [CrossRef]
- ISO 5069-2; Brown Coals and Lignites—Principles of Sampling—Part 2: Sample Preparation for Determination of Moisture Content and for General Analysis. ISO: Geneva, Switzerland, 1983.
- ISO 13909-7; Hard Coal and Coke—Mechanical Sampling—Part 7: Methods for Determining the Precision of Sampling, Sample Preparation and Testing. ISO: Geneva, Switzerland, 2016.
- ISO 1928:2009; Solid Mineral Fuels—Determination of Gross Calorific Value by the Bomb Calorimetric Method and Calculation of Net Calorific Value. ISO: Geneva, Switzerland, 2009.
- ISO 13909-4; Hard Coal and Coke—Mechanical Sampling—Part 4: Coal—Preparation of Test Samples. ISO: Geneva, Switzerland, 2016.
- Wang, Z.; Zhu, Z. Experimental Study on the Effects of Different Heating Rates on Coalbed Methane Desorption and an Analysis of Desorption Kinetics. ACS Omega 2021, 6, 34889–34903. [Google Scholar] [CrossRef] [PubMed]
- Wang, Z.; Wang, X. Promotion effects of microwave heating on coalbed methane desorption compared with conductive heating. Sci. Rep. 2021, 11, 9618. [Google Scholar] [CrossRef] [PubMed]
- Ye, Q.; Li, C.; Yang, T.; Wang, Y.; Li, Z.; Yin, Y. Relationship between desorption amount and temperature variation in the process of coal gas desorption. Fuel 2023, 332, 126146. [Google Scholar] [CrossRef]
- Ma, H.; Wang, L.; Jia, H.; Chang, J.; Li, Y.M.; Zhang, X.; Hu, Z.; Yin, Z. Experimental study on desorption characteristics of coalbed methane under variable loading and temperature in deep and high geothermal mine. Adv. Civil. Eng. 2020, 2020, 8878125. [Google Scholar] [CrossRef]
- Fan, Y.; Deng, C.; Zhang, X.; Li, F.; Wang, X.; Qiao, L. Numerical study of CO2-enhanced coalbed methane recovery. Int. J. Greenh. Gas. Control 2018, 76, 12–23. [Google Scholar] [CrossRef]
- Mukherjee, M.; Misra, S. A review of experimental research on Enhanced Coal Bed Methane (ECBM) recovery via CO2 sequestration. Earth-Sci. Rev. 2018, 179, 392–410. [Google Scholar] [CrossRef]
- Sun, L.; Wang, H.; Zhang, C.; Zhang, S.; Liu, N.; He, Z. Evolution of methane ad-/desorption and diffusion in coal under in the presence of oxygen and nitrogen after heat treatment. J. Nat. Gas. Sci. Eng. 2021, 95, 104196. [Google Scholar] [CrossRef]
- Kalogiannis, A.; Vasiliadou, I.A.; Spyridonidis, A.; Diamantis, V.; Stamatelatou, K. Biogas production from chicken manure wastes using an LBR-CSTR two-stage system: Process efficiency, economic feasibility, and carbon dioxide footprint. J. Chem. Technol. Biotechnol. 2022, 97, 2952–2961. [Google Scholar] [CrossRef]
- Ripepi, N.; Louk, K.; Amante, J.; Schlosser, C.; Tang, X.; Gilliland, E. Determining coalbed methane production and composition from individual stacked coal seams in a multi-zone completed gas well. Energies 2017, 10, 1533. [Google Scholar] [CrossRef]
- Vasiliadou, I.A.; Kalogiannis, A.; Spyridonidis, A.; Katsaounis, A.; Stamatelatou, K. Effect of applied potential on the performance of an electroactive methanogenic biocathode used for bioelectrochemical CO2 reduction to CH4. J. Chem. Technol. Biotechnol. 2022, 97, 643–652. [Google Scholar] [CrossRef]
- Brodny, J.; Tutak, M. Challenges of the polish coal mining industry on its way to innovative and sustainable development. J. Clean. Prod. 2022, 375, 134061. [Google Scholar] [CrossRef]
- Brodny, J.; Tutak, M. The Use of the Open Innovation Concept to Develop a Method to Improve Safety during the Mining Production Process: A Case Study of the Integration of University and Industry. J. Open Innov. Technol. Mark. Complex. 2022, 8, 75. [Google Scholar] [CrossRef]







| Stated for 2021 | Primary Energy Consumption (EJ) | Oil Consumption (EJ) | Coal Consumption (EJ) | Natural Gas Consumption (EJ) | Renewable Energy Consumption (EJ) | CO2 Emissions ** (GtCO2e) |
|---|---|---|---|---|---|---|
| North America | 113.7 | 42.1 | 11.3 | 37.2 | 8.4 | 6.2 |
| S. and Cent. America | 28.5 | 11.3 | 1.46 | 5.88 | 3.4 | 1.5 |
| Europe | 82.4 | 27.6 | 10.0 | 20.6 | 10.1 | 4.0 |
| Middle East | 37.8 | 16.3 | 0.34 | 20.7 | 0.18 | 2.7 |
| Africa | 20.0 | 7.86 | 4.21 | 5.9 | 0.47 | 1.7 |
| Asia–Pacific | 272.5 | 70.65 | 127.6 | 33.1 | 17.2 | 20.0 |
| CIS * | 40.3 | 16.3 | 0.34 | 20.7 | 0.18 | 2.7 |
| Total World | 595.2 | 184.2 | 160.1 | 145.4 | 39.9 | 39.0 |
| Sample | South 53 | South T5 | South Submerged |
|---|---|---|---|
| Total moisture (% by weight) | 55.5 | 55.7 | 46.7 |
| Dry ash (% by weight) | 23.2 | 23.5 | 23 |
| Net Calorific Value (Kcal/kg) | 1350 | 1352 | 1351 |
STRENGTHS
| WEAKNESSES
|
OPPORTUNITIES
| THREATS
|
Disclaimer/Publisher’s Note: The statements, opinions and data contained in all publications are solely those of the individual author(s) and contributor(s) and not of MDPI and/or the editor(s). MDPI and/or the editor(s) disclaim responsibility for any injury to people or property resulting from any ideas, methods, instructions or products referred to in the content. |
© 2023 by the authors. Licensee MDPI, Basel, Switzerland. This article is an open access article distributed under the terms and conditions of the Creative Commons Attribution (CC BY) license (https://creativecommons.org/licenses/by/4.0/).
Share and Cite
Vasiliadou, I.A.; Semizoglou, Z.A.; Karayannis, V.G.; Tsanaktsidis, C.G. Extraction Study of Lignite Coalbed Methane as a Potential Supplement to Natural Gas for Enhancing Energy Security of Western Macedonia Region in Greece. Appl. Sci. 2024, 14, 174. https://doi.org/10.3390/app14010174
Vasiliadou IA, Semizoglou ZA, Karayannis VG, Tsanaktsidis CG. Extraction Study of Lignite Coalbed Methane as a Potential Supplement to Natural Gas for Enhancing Energy Security of Western Macedonia Region in Greece. Applied Sciences. 2024; 14(1):174. https://doi.org/10.3390/app14010174
Chicago/Turabian StyleVasiliadou, Ioanna A., Zacharoula A. Semizoglou, Vayos G. Karayannis, and Constantinos G. Tsanaktsidis. 2024. "Extraction Study of Lignite Coalbed Methane as a Potential Supplement to Natural Gas for Enhancing Energy Security of Western Macedonia Region in Greece" Applied Sciences 14, no. 1: 174. https://doi.org/10.3390/app14010174
APA StyleVasiliadou, I. A., Semizoglou, Z. A., Karayannis, V. G., & Tsanaktsidis, C. G. (2024). Extraction Study of Lignite Coalbed Methane as a Potential Supplement to Natural Gas for Enhancing Energy Security of Western Macedonia Region in Greece. Applied Sciences, 14(1), 174. https://doi.org/10.3390/app14010174

