Risk Assessment of a Coastal Ecosystem from SW Spain Exposed to CO2 Enrichment Conditions
Abstract
1. Introduction
2. Materials and Methods
2.1. Study Area
2.2. Experimental Design
2.3. Chemical Analyses
2.4. Toxicity Tests
2.4.1. Acute-Toxicity Tests
2.4.2. Chronic Toxicity Using Elutriates
2.4.3. Metal Bioaccumulation
2.4.4. Ecological Integrity
2.4.5. Neutral Red Retention Time Assay
2.5. Statistical Analysis (WOE Approach)
3. Results and Discussion
3.1. Tabular Matrix
3.2. Sector Charts
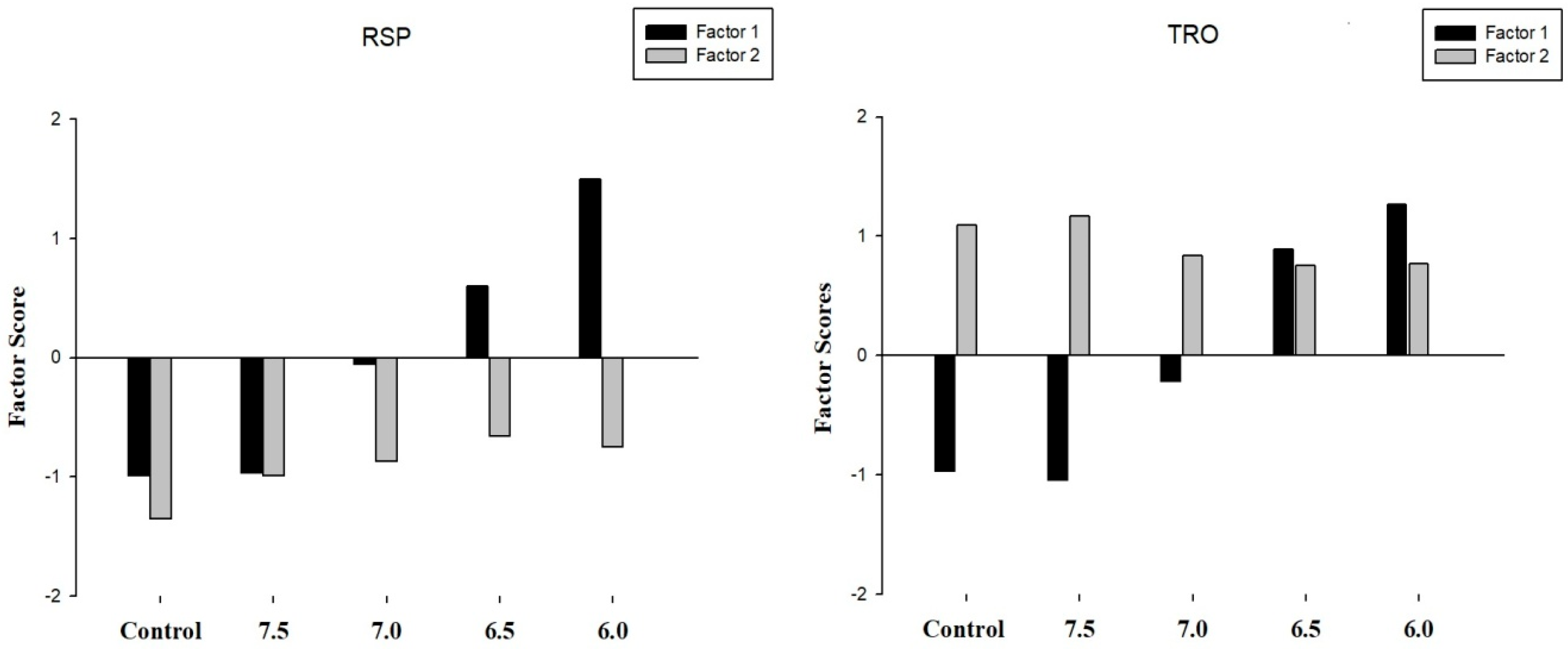
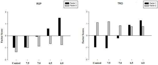
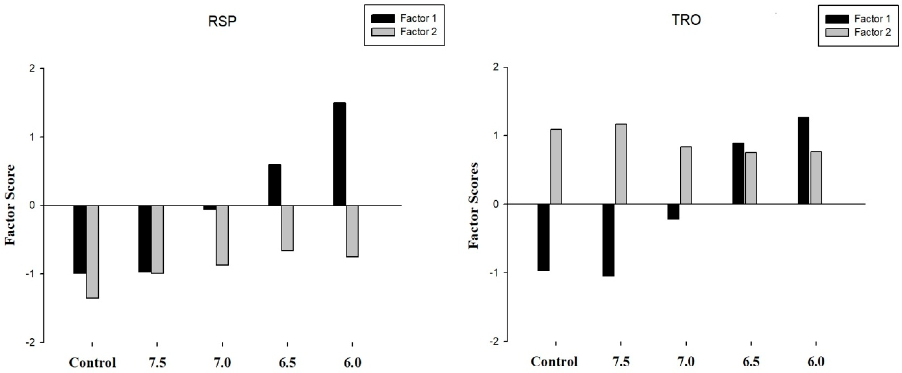
3.3. Multivariate Analysis
4. Conclusions
Author Contributions
Funding
Institutional Review Board Statement
Informed Consent Statement
Acknowledgments
Conflicts of Interest
References
- United Nations Framework Convention on Climate Change (UNFCCC). Adoptions of the Paris Agreement. 2015. Available online: http://unfccc.int/files/essential_background/convention/application/pdf/english_paris_agreement.pdf (accessed on 2 May 2017).
- Intergovernmental Panel on Climate Change (IPCC). Climate Change 2014: Mitigation of Climate Change; Edenhofer, O., Pichs-Madruga, R., Sokona, Y., Minx, J.C., Farahani, E., Kadner, S., Sevboth, K., Minx, J.C., Eds.; Working Group III Technical Support Unit, Cambridge University Press: Cambridge, UK, 2014; p. 1454. [Google Scholar]
- IPCC; Global CCS Institute. The Global Status of CCS 2016: Summary Report. 2016. Available online: https://www.globalccsinstitute.com/publications/global-status-ccs-2016-summary-report (accessed on 2 May 2017).
- IPCC. Summary for Policymakers. In Global Warming of 1.5 °C. An IPCC Special Report on the Impacts of Global Warming of 1.5 °C above Pre-Industrial Levels and Related Global Greenhouse Gas Emission Pathways, in the Context of Strengthening the Global Response to the Threat of Climate Change, Sustainable Development, and Efforts to Eradicate Poverty; Masson-Delmotte, V., Zhai, P., Pörtner, H.-O., Roberts, D., Skea, J., Shukla, P.R., Pirani, A., Moufouma-Okia, W., Péan, C., Pidcock, R., et al., Eds.; World Meteorological Organization: Geneva, Switzerland, 2018; 32p. [Google Scholar]
- De Orte, M.R.; Lombardi, A.T.; Sarmiento, A.M.; Basallote, M.; Rodriguez-Romero, A.; Riba, I.; Del Valls, A. Metal mobility and toxicity to microalgae associated with acidification of sediments: CO2 and acid comparison. Mar. Environ. Res. 2014, 96, 136–144. [Google Scholar] [CrossRef] [PubMed]
- Wang, G.; Cao, R.; Ning, X.; You, L. Effects of ocean acidification on immune responses of the Pacific oyster Crassostrea gigas. Fish Shellfish Immunol. 2016, 49, 24–33. [Google Scholar] [CrossRef] [PubMed]
- Conradi, M.; Sánchez-Moyano, J.E.; Galotti, A.; Jiménez-Gómez, F.; Jiménez-Melero, R.; Guerrero, F.; Parra, G.; Bonnail, E.; DelValls, T. CO2 leakage simulation: Effects of the decreasing pH to the survival and reproduction of two crustacean species. Mar. Pollut. Bull. 2019, 143, 33–41. [Google Scholar] [CrossRef] [PubMed]
- Borrero-Santiago, A.R.; Ribicic, D.; Bonnail, E.; Netzer, R.; Koseto, D.; Ardelan, M. Response of bacterial communities in Barents Sea sediments in case of a potential CO2 leakage from carbon reservoirs. Mar. Environ. Res. 2020, 160, 105050. [Google Scholar] [CrossRef] [PubMed]
- Passarelli, M.; Bonnail, E.; Cesar, A.; DelValls, T.A.; Riba, I. Integrative assessment of sediments affected by CO2 enrichment: A case study in the Bay of Santos—SP, Brazil. Appl. Sci. 2021, 11, 11603. [Google Scholar] [CrossRef]
- DelValls, T.A.; Souza, L.S.; Seabra, A.A.; Pereira, C.D.S.; Bonnail, E.; Riba, I. Integrative assessment of sediment quality in acidification scenarios associated with carbon capture and storage operations. Environ. Rev. 2019, 27, 333–345. [Google Scholar] [CrossRef]
- DelValls, T.Á.; Forja, J.M.; Gómez-Parra, A. Integrative assessment of sediment quality in two littoral ecosystems from the Gulf of Cadiz, Spain. Environ. Toxicol. Chem. 1998, 17, 1073–1084. [Google Scholar] [CrossRef]
- Abessa, D.M.S.; Carr, R.S.; Sousa, E.C.P.M.; Rachid, B.R.; Zaroni, L.P.; Pinto, Y.A.; Gasparro, M.R.; Bícego, M.C.; Hortellani, M.A.; Sarkis, J.E.S.; et al. Integrative Ecotoxicological Assessment of a Complex Tropical Estuarine System; Hoffer, T.N., Ed.; Nova Science Publishers: New York, NY, USA, 2008; pp. 125–159. [Google Scholar]
- Choueri, R.B.; Cesar, D.M.S.; Torres, R.J.; Morais, R.; Riba, I.; Pereira, C.; Nascimento, M.; Mozeto, A.; DelValls, T. Development of site-specific sediment quality guidelines for North and South Atlantic littoral zones: Comparison against national and international sediment quality benchmarks. J. Hazard. Mat. 2009, 170, 320–331. [Google Scholar] [CrossRef]
- Torres, R.J.; Cesar, A.; Pastor, V.A.; Pereira, C.D.S.; Choueri, R.B.; Cortez, F.S.; Morais, R.D.; Abessa, D.M.S.; Nascimento, M.R.L.D.; Morais, C.R.; et al. A critical comparison of different approaches to sediment- Quality Assessments in the Santos Estuarine System in Brazil. Arch. Environ. Contam. Toxicol. 2015, 68, 132–147. [Google Scholar] [CrossRef]
- Bonnail, E.; Riba, I.; Seabra, A.; DelValls, T.A. Sediment quality assessment in the Guadalquivir River (SW, Spain) using caged Asian clams: A biomarker field approach. Sci. Total Environ. 2019, 650, 1996–2003. [Google Scholar] [CrossRef]
- Basallote, M.D.; DelValls, T.Á.; Riba, I. Studying the effect of CO2-Induced acidification on sediment toxicity using acute amphipod toxicity test. Environ. Sci. Technol. 2014, 48, 8864–8872. [Google Scholar] [CrossRef] [PubMed]
- De Orte, M.R.; Bonnail, E.; Sarmiento, A.M.; Bautista-Chamizo, E.; Basallote, M.D.; Riba, I.; DelValls, Á.; Nieto, J.M. Metal fractionation in marine sediments acidified by enrichment of CO2: A risk assessment. Mar. Pollut. Bull. 2018, 131, 611–619. [Google Scholar] [CrossRef] [PubMed]
- Passarelli, M.C.; Riba, I.; Cesar, A.; Serrano-Bernando, F.; DelValls, T.A. Assessing the influence of ocean acidification to marine amphipods: A comparative study. Sci. Total Environ. 2017, 595, 759–768. [Google Scholar] [CrossRef] [PubMed]
- Passarelli, M.C.; Cesar, A.; Riba, I.; DelValls, T.A. Comparative evaluation of sea-urchin larval stage sensitivity to ocean acidification. Chemosphere 2017, 184, 224–234. [Google Scholar] [CrossRef]
- CEDEX. Directrices Para la Caracterización del Material Dragado y su Reubicación en Aguas del Dominio Público Marítimo-Terrestre. Comisión Interministerial de Estrategias Marina. 2015. Available online: http://www.mapama.gob.es/es/costas/temas/proteccion-medio-marino/directrices2015_tcm7-325119.pdf (accessed on 2 May 2017).
- Basallote, M.; Rodríguez-Romero, A.; Blasco, J.; DelValls, A.; Riba, I. Lethal effects on different marine organisms, associated with sediment–seawater acidification deriving from CO2 leakage. Environ. Sci. Pollut. Res. 2012, 19, 2550–2560. [Google Scholar] [CrossRef]
- Basallote, M.; Rodríguez-Romero, A.; De Orte, M.R.; DelValls, A.; Riba, I. Evaluation of the threat of marine CO2 leakage-associated acidification on the toxicity of sediment metals to juvenile bivalves. Aquat. Toxicol. 2015, 166, 63–71. [Google Scholar] [CrossRef]
- American Society of Testing and Materials (ASTM). Standard Guide for Conducting Static Toxicity Tests Starting with Embryos of Four Species of Saltwater Bivalve Mollusks. In Annual Book of ASTM Standards: Water and Environmental Technology; ASTM: Philadelphia, PA, USA, 1992; Volume 11, pp. 377–394. [Google Scholar]
- Cortez, F.S.; Pereira, C.D.S.; Santos, A.R.; Cesar, A.; Choueri, R.; Martini, G.D.A.; Bohrer-Morel, M.B. Biological effects of environmentally relevant concentrations of the pharmaceutical Triclosan in the marine mussel Perna perna (Linnaeus, 1758). Environ. Pollut. 2012, 168, 145–150. [Google Scholar] [CrossRef]
- Riba, I.; Kalman, J.; Vale, C.; Blasco, J. Influence of sediment acidification on the bioaccumulation of metals in Ruditapes philippinarum. Environ. Sci. Pollut. Res. 2010, 17, 1519–1528. [Google Scholar] [CrossRef]
- Moore, M.N.; Lowe, D.; Allen, I.; McVeigh, A.; Somerfield, P. Predicting health of environment—Lysosomal biomarker responses in mussels. In Proceedings of the Workshop on the Med Pol Biological Effects Programme: Acheivements and Future Orientations, Alessandria, Italy, 20–21 December 2006; p. 245. [Google Scholar]
- Dailianis, S.; Domouhtsidou, G.P.; Raftopoulou, E.; Kaloyianni, M.; Dimitriadis, V. Evaluation of neutral red retention assay, micronucleus test, acetylcho-linesterase activity and a signal transduction molecule (cAMP) in tissues of Mytilus galloprovincialis (L.), in pollution monitoring. Mar. Environ. Res. 2003, 56, 443–470. [Google Scholar] [CrossRef]
- Lowe, D.M.; Fossato, V.U.; Depledge, M.H. Contaminant-induced lysosomal membrane damage in blood cells of mussels Mytilus galloprovincialis from the Venice Lagoon: An in vitro study. Mar. Ecol. Prog. Ser. 1995, 129, 189–196. [Google Scholar] [CrossRef]
- Morales-Caselles, C.; Riba, I.; Sarasquete, C.; DelValls, T.A. Using a classical weight of evidence approach for 4 years monitoring of the impact of an accidental oil spill on sediment quality. Environ. Int. 2008, 34, 514–523. [Google Scholar] [CrossRef] [PubMed]
- DelValls, T.A.; Chapman, P.M. The use of multivariate analysis to link the sediment quality triad components defining site-specific sediment quality values in the Gulf of Cádiz and in San Francísco Bay. In Proceedings of the Second Symposium on the Atlantic Iberian Continental Margin, Cádiz, Spain, 17–20 September 1997. [Google Scholar]
- Tabachinic, B.G.; Fidell, L.S. Using Multivariate Statistics; Harper Collins, College Publishers: New York, NY, USA, 1996. [Google Scholar]
- Passarelli, M.C.; Ray, S.; Cesar, A.; DelValls, T.A.; Riba, I. Effects of CO2 enrichment on metal bioavailability and bioaccumulation using Mytilus galloprovincialis. Mar. Pollut. Bull. 2018, 133, 124–136. [Google Scholar] [CrossRef] [PubMed]
- Riba, I.; Passarelli, M.C.; Cesar, A. Chapter 3: Risk assessment of CO2 acidification in aquatic ecosystems: A weight-of evidence approach. In CO2 Acidification in Aquatic Ecosystems; Riba, D.V., Ed.; Elsevier: Amsterdam, The Netherlands, 2022; ISBN 978-0-12-823552-2. [Google Scholar]
- Szalaj, D.; De Orte, M.R.; Goulding, T.A.; Medeiros, I.D.; DelValls, T.A.; Cesar, A. The effects of ocean acidification and a carbon dioxide capture and storage leak on the early life stages of the marine mussel Perna perna (Linneaus, 1758) and metal bioavailability. Environ. Sci. Pollut. Res. 2016, 24, 765–781. [Google Scholar] [CrossRef]
- Goulding, T.; De Orte, M.R.; Szalaj, D.; Basallote, M.D.; DelValls, T.A.; Cesar, A. Assessment of the environmental impacts of Ocean acidification (OA) and Carbon Capture and Storage (CCS) leaks using the amphipod Hayle young. Ecotoxicology 2017, 26, 521–533. [Google Scholar] [CrossRef]
- Riba, I.; Casado-Martínez, C.; Forja, J.M.; DelValls, T.Á. Sediment quality in littoral regions of the Gulf of Cádiz: A triad approach to address the influence of mining activities. Environ. Pollut. 2004, 132, 341–353. [Google Scholar] [CrossRef]
- Christen, N.; Calosi, P.; McNeill, C.L. Structural and functional vulnerability to elevated pCO2 in marine benthic communities. Mar. Biol. 2013, 160, 2113–2128. [Google Scholar] [CrossRef]
- Almagro-Pastor, V.; Conradi, M.; DelValls, T.A.; Riba, I. Alterations in the macrobenthic fauna from Guadarranque River (Southern Spain) associated with sediment–seawater acidification deriving from CO2 leakage. Mar. Pollut. Bull. 2015, 96, 65–75. [Google Scholar] [CrossRef]
- Chapman, P.M.; Wang, F.; Janssen, C.R.; Goulet, R.R.; Kamunde, C.N. Conducting ecological risk assessments of inorganic metals and metalloids: Current status. Hum. Ecol. Risk Assess. 2003, 9, 641–697. [Google Scholar] [CrossRef]
- Eggleton, J.; Thomas, K.V. A review of factors affecting the release and bioavailability of contaminants during sediment disturbance events. Environ. Int. 2004, 30, 973–980. [Google Scholar] [CrossRef]
- Atkinson, C.A.; Jolley, D.F.; Simpson, S.L. Effect of overlying water pH, dissolved oxygen, salinity and sediment disturbances on metal release and sequestration from metal contaminated marine sediments. Chemosphere 2007, 69, 1428–1437. [Google Scholar] [CrossRef]
- Maar, M.; Larsen, M.M.; Torring, D.; Petersen, J.K. Bioaccumulation of metals (Cd, Cu, Ni, Pb and Zn) in suspended cultures of blue mussels exposed to different environmental conditions. Estuar. Coast. Shelf Sci. 2018, 201, 185–197. [Google Scholar] [CrossRef]
- Rodríguez-Romero, A.; Basallote, M.D.; Manoela, R.; DelValls, T.Á.; Riba, I.; Blasco, J. Simulation of CO2 leakages during injection and storage in sub-seabed geological formations: Metal mobilization and biota effects. Environ. Int. 2014, 68, 105–117. [Google Scholar] [CrossRef] [PubMed]
- Benítez, S.; Duarte, C.; López, J.; Manríquez, P.H.; Navarro, J.M.; Bonta, C.C.; Torres, R.; Quijón, P.A. Ontogenetic variability in the feeding behaviour of a marine amphipod in response to ocean acidification. Mar. Pollut. Bull. 2016, 112, 375–379. [Google Scholar] [CrossRef] [PubMed]
- Luoma, S.N.; Rainbow, P.S. Why is metal bioaccumulation so variable? Biodynamics as a unifying concept. Environ. Sci. Technol. 2005, 39, 1921–1931. [Google Scholar] [CrossRef] [PubMed]





| Test Organism | pH Range | T (°C) | DO (%) | Duration | Endpoint | Type |
|---|---|---|---|---|---|---|
| A. brevicornis | 8.0–6.0 | 19 ± 1 | >80 | 10 d | Mortality | Acute |
| P. lividus | 8.0–6.0 | 18 ± 1 | >80 | 48 h | Plateaus stage | Chronic |
| M. galloprovincialis | 8.0–6.0 | 19 ± 1 | >80 | 48 h | D-phase | Chronic |
| M. galloprovincialis | 8.0–6.0 | 19 ± 1 | >80 | 10 d | Mortality | Acute |
| M. galloprovincialis | 8.0–6.0 | 19 ± 1 | >80 | 14 d | Metal concentration | Bioaccumulation |
| M. galloprovincialis | 8.0–6.0 | 19 ± 1 | >80 | 24/96 h, 10 d | LMS | Acute |
| Macrobenthic | 8.0–6.0 | 19 ± 1 | >80 | 21 d | Biological indices | Macro-benthic community Alteration |
| Variable | pH Treatments | |||||||||
|---|---|---|---|---|---|---|---|---|---|---|
| RSP | TRO | |||||||||
| Control | pH 7.5 | pH 7.0 | pH 6.5 | pH 6.0 | Control | pH 7.5 | pH 7.0 | pH 6.5 | pH 6.0 | |
| Contamination | ||||||||||
| Cr sed | 1.60 | 1.80 | 2.00 | 2.30 | 2.00 | 5.00 | 5.00 | 5.20 | 5.20 | 5.30 |
| Cr sw | bdl | bdl | bdl | bdl | bdl | bdl | bdl | bdl | bdl | bdl |
| Cr elu | bdl | bdl | bdl | bdl | bdl | bdl | bdl | bdl | bdl | bdl |
| As sed | bdl | bdl | bdl | bdl | bdl | bdl | bdl | bdl | bdl | bdl |
| As sw | 0.16 | 0.16 | 0.20 | 0.20 | 0.18 | 0.18 | 0.18 | 0.18 | 0.18 | 0.18 |
| As elu | bdl | bdl | bdl | bdl | bdl | bdl | bdl | bdl | 0.078 | 0.084 |
| Cu sed | 5.40 | 5.40 | 5.50 | 5.60 | 5.30 | 6.50 | 6.40 | 6.40 | 6.20 | 6.10 |
| Cu sw | 0.04 | 0.02 | 0.03 | 0.03 | 0.02 | 0.02 | 0.03 | 0.03 | 0.03 | 0.03 |
| Cu elu | 0.03 | 0.03 | 0.03 | 0.06 | 0.06 | 0.07 | 0.07 | 0.07 | 0.09 | 0.07 |
| Fe sed | 592 | 587 | 535 | 706 | 657 | 1456 | 1433 | 1413 | 1471 | 1566 |
| Fe sw | 0.02 | 0.02 | 0.07 | 0.03 | 0.02 | 0.01 | 0.01 | 0.01 | 0.02 | 0.02 |
| Fe elu | 0.01 | 0.04 | 0.04 | 0.04 | 0.07 | 0.05 | 0.06 | 0.14 | 0.19 | 1.07 |
| Ni sed | bdl | bdl | bdl | bdl | bdl | bdl | bdl | bdl | bdl | bdl |
| Ni sw | 13.3 | 22.9 | 48.6 | 55.7 | 54.0 | 52.6 | 55.9 | 60.7 | 72.3 | 71.2 |
| Ni elu | bdl | bdl | bdl | bdl | bdl | bdl | bdl | bdl | bdl | bdl |
| Zn sed | 2.40 | 2.50 | 2.70 | 2.60 | 2.50 | 6.20 | 6.20 | 6.20 | 6.70 | 7.50 |
| Zn sw | 0.02 | 0.02 | 0.03 | 0.05 | 0.11 | 0.02 | 0.03 | 0.04 | 0.06 | 0.07 |
| Zn elu | 0.01 | 0.02 | 0.01 | 0.01 | 0.01 | 0.02 | 0.02 | 0.02 | 0.02 | 0.02 |
| Al sed | 1139 | 1205 | 1259 | 1329 | 1279 | 2992 | 2987 | 2930 | 2929 | 3178 |
| Al sw | 0.04 | 0.02 | 0.03 | 0.02 | 0.02 | 0.03 | 0.06 | 0.04 | 0.04 | 0.05 |
| Al elu | 0.04 | 0.06 | 0.06 | 0.09 | 0.09 | 0.10 | 0.10 | 0.08 | 0.08 | 0.10 |
| Concentrations in organisms | ||||||||||
| Al bio | 4.60 | 6.50 | 8.70 | 115 | n.a. | 6.20 | 7.60 | 6.00 | n.a. | n.a. |
| As bio | 972 | 776 | 1094 | 943 | n.a. | 1200 | 945 | 1072 | n.a. | n.a. |
| Fe bio | 12.3 | 18.8 | 21.1 | 127 | n.a. | 17.2 | 16.5 | 25.9 | n.a. | n.a. |
| Ni bio | 242 | 254 | 273 | 455 | n.a. | 390 | 266 | 256 | n.a. | n.a. |
| Cu bio | 993 | 895 | 987 | 966 | n.a. | 587 | 627 | 814 | n.a. | n.a. |
| Cr bio | 630 | 299 | 663 | 373 | n.a. | 400 | 84 | 480 | n.a. | n.a. |
| Zn bio | 11,200 | 13,700 | 18,600 | 14,600 | n.a. | 20,000 | 22,500 | 19,200 | n.a. | n.a. |
| Toxicity | ||||||||||
| % Mort_A | 14 | 20 | 57 | 100 | 100 | 20 | 30.3 | 64 | 100 | 100 |
| % Mort_M | 16.6 | 17 | 36.6 | 33.3 | 100 | 35 | 35 | 73.3 | 83.3 | 100 |
| % Inh_M | 8.3 | 9.5 | 14.6 | 75 | 100 | 20 | 67 | 87.3 | 98.3 | 100 |
| % Inh_SU | 9.0 | 24 | 91 | 100 | 100 | 11.3 | 19 | 94 | 100 | 100 |
| NRRT 24 h | 70 | 72 | 36 | 20 | 7.50 | 54 | 50 | 38 | 28 | 6.0 |
| NRRT 96 h | 68 | 60 | 30 | 1.5 | 0.0 | 40.5 | 38 | 40.7 | 20 | 0.0 |
| NRRT 10 d | 68.3 | 72 | 50 | 0.0 | 0.0 | 35 | 38 | 18 | 0.0 | 0.0 |
| Ecological Integrity | ||||||||||
| Abundance | 196 | 190 | 172 | 170 | 101 | 24 | 22 | 20 | 21 | 16 |
| Richness | 0.96 | 1.1 | 1.16 | 1.16 | 0.21 | 1.22 | 1.21 | 1.3 | 0.67 | 0.73 |
| Diversity | 4.01 | 3.90 | 2.45 | 3.93 | 1.75 | 1.12 | 0.98 | 0.6 | 0.73 | 0.73 |
| Cases Site, pH Treatment | Metals | Toxicity | Bioaccumulation | Benthic | ||
|---|---|---|---|---|---|---|
| Sediment | Mobility | Acute | Chronic | |||
| RSP, pH 8.0 | − | − | − | − | − | − |
| RSP, pH 7.5 | − | − | − | +/− | − | − |
| RSP, pH 7.0 | − | − | + | + | +/− | +/− |
| RSP, pH 6.5 | − | + | + | + | + | +/− |
| RSP, pH 6.0 | − | + | + | + | + | + |
| TRO, pH 8.0 | + | +/− | +/− | +/− | +/− | + |
| TRO, pH 7.5 | + | + | +/− | + | +/− | + |
| TRO, pH 7.0 | + | + | + | + | +/− | + |
| TRO, pH 6.5 | + | + | + | + | + | + |
| TRO, pH 6.0 | + | + | + | + | + | + |
| Variables | Components | |
|---|---|---|
| Factor 1 (48.41%) | Factor 2 (24.93%) | |
| Metals in sediments | ||
| Cr sed | 0.98 | |
| Cu sed | 0.97 | |
| Fe sed | 0.97 | |
| Zn sed | 0.95 | |
| Metals mobility | ||
| As sw | 0.48 | |
| Cr sw | −0.51 | −0.68 |
| Cu sw | −0.44 | |
| Fe sw | −0.49 | |
| Ni sw | 0.63 | 0.72 |
| Zn sw | 0.90 | |
| Cu elu | 0.42 | 0.84 |
| Fe elu | 0.51 | |
| Zn elu | 0.43 | |
| Protons concentration (H+) | 0.89 | |
| Bioaccumulation | ||
| As bio | 0.61 | 0.48 |
| Cr bio | 0.66 | |
| Cu bio | 0.64 | |
| Fe bio | 0.94 | |
| Ni bio | 0.85 | |
| Zn bio | 0.89 | |
| Acute toxicity | ||
| Amphipod mortality | 0.96 | |
| Mussel mortality | 0.84 | 0.38 |
| NRRT at 24 h | −0.94 | |
| NRRT at 96 h | −0.89 | |
| NRRT at 10 d | −0.84 | |
| Chronic toxicity | ||
| Mussels Embryo–larval inhibition | 0.78 | 0.46 |
| Sea urchin Embryo–larval inhibition | 0.88 | |
| Ecological integrity | ||
| Total abundance | −0.96 | |
| Diversity (H’) | −0.87 | |
| Richness (d’) | −0.74 | |
Disclaimer/Publisher’s Note: The statements, opinions and data contained in all publications are solely those of the individual author(s) and contributor(s) and not of MDPI and/or the editor(s). MDPI and/or the editor(s) disclaim responsibility for any injury to people or property resulting from any ideas, methods, instructions or products referred to in the content. |
© 2023 by the authors. Licensee MDPI, Basel, Switzerland. This article is an open access article distributed under the terms and conditions of the Creative Commons Attribution (CC BY) license (https://creativecommons.org/licenses/by/4.0/).
Share and Cite
Passarelli, M.C.; Bonnail, E.; Cesar, A.; Riba, I. Risk Assessment of a Coastal Ecosystem from SW Spain Exposed to CO2 Enrichment Conditions. Appl. Sci. 2023, 13, 5805. https://doi.org/10.3390/app13095805
Passarelli MC, Bonnail E, Cesar A, Riba I. Risk Assessment of a Coastal Ecosystem from SW Spain Exposed to CO2 Enrichment Conditions. Applied Sciences. 2023; 13(9):5805. https://doi.org/10.3390/app13095805
Chicago/Turabian StylePassarelli, Marina Cunha, Estefanía Bonnail, Augusto Cesar, and Inmaculada Riba. 2023. "Risk Assessment of a Coastal Ecosystem from SW Spain Exposed to CO2 Enrichment Conditions" Applied Sciences 13, no. 9: 5805. https://doi.org/10.3390/app13095805
APA StylePassarelli, M. C., Bonnail, E., Cesar, A., & Riba, I. (2023). Risk Assessment of a Coastal Ecosystem from SW Spain Exposed to CO2 Enrichment Conditions. Applied Sciences, 13(9), 5805. https://doi.org/10.3390/app13095805

