Stability Analysis of Box Tunnel Working Face under Non-Uniform Support Pressure
Abstract
1. Introduction
2. Materials and Methods
2.1. Pressure Distribution Characteristics in Rectangular Tunnels
2.2. Theoretical Model Construction
3. Results
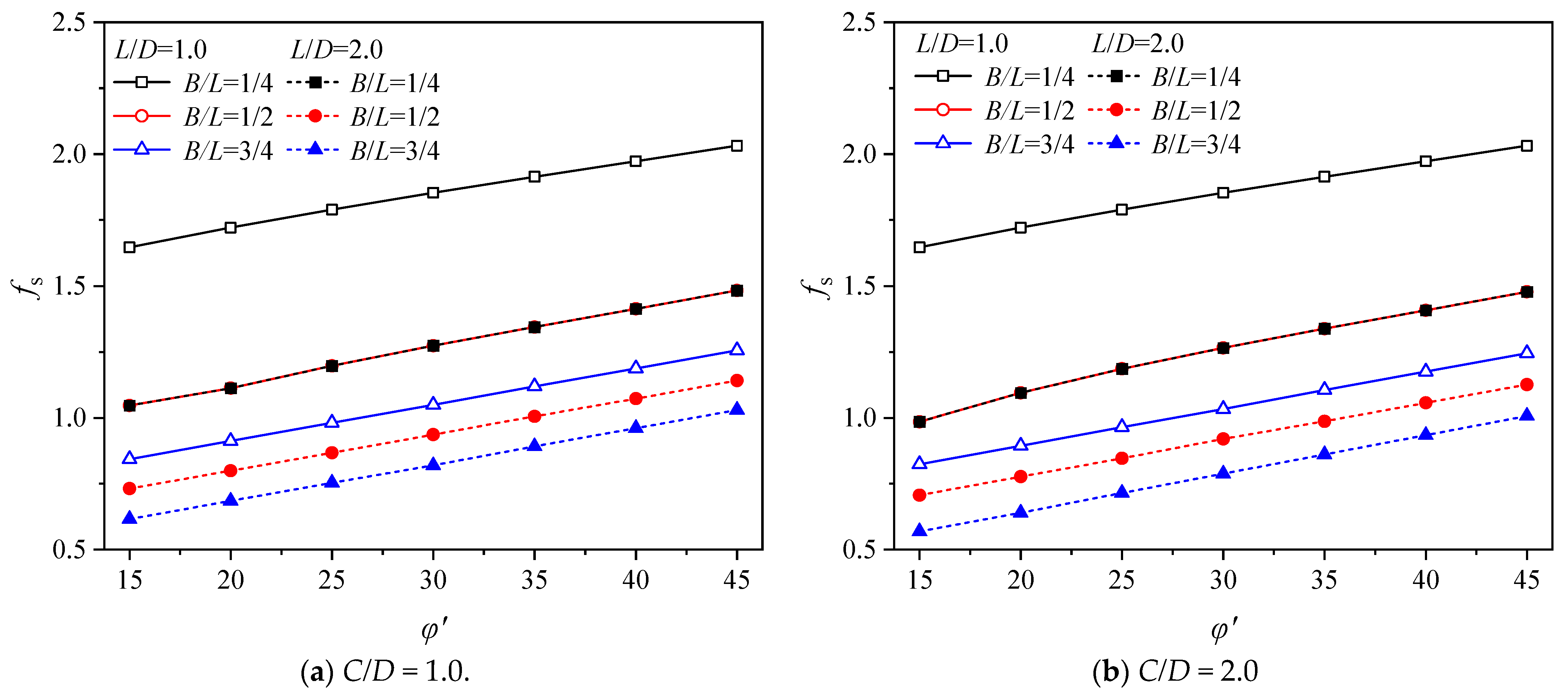
Parametric Analysis
4. Discussion
5. Conclusions
- (1)
- A silo-wedge model is used to analyze the instability zone under low pressure or no support conditions for the problem of uneven pressure fluctuations at the palm face. This is a new method for calculating the safety factor of the excavated face. In the analysis, the unstable wedge is horizontally striped, and the concept of strength reduction is introduced into the limit equilibrium analysis to derive the safety factor for the unstable zone. The implicit expression of the safety factor is then solved using the mathematical software MATHEMATICA.
- (2)
- A parametric analysis of the soil strength parameters and tunnel geometry parameters was performed using the solutions of this paper, showing that decreases as the open area increases because the larger that the open area is, the more soil that loses support, and the more likely that it is to slide out of stability. It is important to note that, when the opening ratio is greater than 0.75 and the friction angle within the soil is less than 20°, the safety factor is less than 1, and the risk is greater. increases as increases because the shear strength of the tunnel envelope increases, and the more self-stabilizing that it is, the better that it is for maintaining stability. decreases slightly with increasing depth of burial because the greater that the depth of burial is, the greater that the overburden pressure is, and therefore, the greater that the susceptibility to instability and slumping is. Such a variation law is also consistent with Liu’s solution and Vermeer’s formula.
- (3)
- The solution of this paper is applied to the actual project, and the safety coefficient of the stability of the working face is calculated under the specific project-opening situation, verifying the reliability of this paper’s solution. The paper proves that the solution can serve as a theoretical reference for additional projects of a similar type.
Author Contributions
Funding
Institutional Review Board Statement
Informed Consent Statement
Data Availability Statement
Conflicts of Interest
Abbreviations
| height of tunnel | |
| width of tunnel | |
| cover depth | |
| width of partially supported area | |
| effective cohesion | |
| effective angle of internal friction | |
| total unit weight | |
| ground surcharge | |
| support force acting on block I | |
| support force acting on block II | |
| wedge angle between slanted failure plane and horizontal | |
| lateral stress coefficient | |
| active earth pressure coefficient | |
| ratio of volume of prism to its side area | |
| load applied by overburden |
References
- Davis, E.H.; Gunn, M.J.; Mair, R.J.; Seneviratne, H.N. The stability of shallow tunnels and underground openings in cohesive material. Géotechnique 1980, 30, 397–416. [Google Scholar] [CrossRef]
- Leca, E.; Dormieux, L. Upper and lower bound solutions for the face stability of shallow circular tunnels in frictional material. Géotechnique 1990, 40, 581–606. [Google Scholar] [CrossRef]
- Mollon, G.; Dias, D.; Soubra, A.H. Rotational failure mechanisms for the face stability analysis of tunnels driven by a pressurized shield. Int. J. Numer. Anal. Methods 2011, 35, 1363–1388. [Google Scholar] [CrossRef]
- Pan, Q.J.; Dias, D. Upper-bound analysis on the face stability of a non-circular tunnel. Tunn. Undergr. Space Technol. 2017, 62, 96–102. [Google Scholar] [CrossRef]
- Liu, W.; Shi, P.X.; Chen, L.J.; Tang, Q. Analytical analysis of working face passive stability during shield tunneling in frictional soils. Acta Geotech. 2020, 15, 781–794. [Google Scholar] [CrossRef]
- Liu, W.; Wu, B.; Shi, P.X.; Cai, G.Q. Upper bound analysis of working face passive failure in large-diameter shield tunneling based on a composite mechanism. Comput. Geotech. 2021, 138, 104362. [Google Scholar] [CrossRef]
- Soubra, A.H.; Regenass, P. Three-dimensional passive earth pressures by kinematical approach. J. Geotech. Geoenviron. 2000, 126, 969–978. [Google Scholar] [CrossRef]
- Mollon, G.; Dias, D.; Soubra, A.H. Continuous velocity fields for collapse and blow-out of a pressurized tunnel face in purely cohesive soil. Int. J. Numer. Anal. Methods 2013, 37, 2061–2083. [Google Scholar] [CrossRef]
- Senent, S.; Yi, C.K.; Jimenez, R. An upper bound solution for tunnel face stability analysis considering the free span. Tunn. Undergr. Space Technol. 2020, 103, 103515. [Google Scholar] [CrossRef]
- Gao, J.; Zhang, Y.T.; Qiao, J.L. Face stability analysis of tunnels with consideration of seepage force. Chin. J. Geotech. Eng. 2009, 31, 1547–1553. (In Chinese) [Google Scholar]
- Chen, R.P.; Qi, L.Z.; Tang, L.J.; Zhou, B.S. Study of limit supporting force of excavation face’s passive failure of shield tunnels in sand strata. Chin. J. Rock Mech. Eng. 2013, 32, 2877–2882. (In Chinese) [Google Scholar]
- Lv, X.L.; Li, F.D.; Huang, M.S.; Wan, J.L. Three-dimensional numerical and analytical solutions of limit support pressure at shield tunnel face. J. Tongji Univ. (Nat. Sci.) 2012, 40, 1469–1473. (In Chinese) [Google Scholar]
- Perazzelli, P.; Leone, T.; Anagnostou, G. Tunnel face stability under seepage flow conditions. Tunn. Undergr. Space Technol. 2014, 43, 459–469. [Google Scholar] [CrossRef]
- Chambon, P.; Corte, J. Shallow Tunnels in Cohesionless Soil: Stability of Tunnel face. Int. J. Geotech. Eng. 1994, 120, 1148–1165. [Google Scholar] [CrossRef]
- Chen, R.P.; Li, J.; Chen, Y.M.; Kong, L.G. Large-scale tests on face stability of shield tunnelling in dry cohesionless soil. Chin. J. Geotech. Eng. 2011, 33, 117–122. (In Chinese) [Google Scholar]
- Chen, R.P.; Li, J.; Kong, L.G.; Tang, L.J. Experimental study on face instability of shield tunnel in sand. Tunn. Undergr. Space Technol. 2013, 33, 12–21. [Google Scholar] [CrossRef]
- Ng, C.W.W.; Wong, K.S. Investigation of passive failure and deformation mechanisms due to tunnelling in clay. Can. Geotech. J. 2013, 50, 359–372. [Google Scholar] [CrossRef]
- Liu, W.; Zhao, Y.; Shi, P.X.; Li, J.Y.; Gan, P.L. Face stability analysis of shield driven tunnels shallowly buried in dry sand using 1 g large-scale model tests. Acta Geotech. 2018, 13, 693–705. [Google Scholar] [CrossRef]
- Horn, N. Horizontal earth pressure on the vertical surfaces of the tunnel tubes. In Proceedings of the National Conference of the Hungarian Civil Engineering Industry, Budapest, Hungary, 18–21 June 1961; pp. 7–16. [Google Scholar]
- Janssen, H.A. Versuche fiber Getreidedruck in Silozellen. Z. Des Ver. Dtsch. Ing. 1895, 39, 1045–1049. [Google Scholar]
- Jancsecz, S.; Steiner, W. Face support for a large mix-shield in heterogeneous ground conditions. In Proceedings of the Tunnelling 1994, London, UK, 5–7 July 1994; Springer: Boston, MA, USA, 1994; pp. 531–550. [Google Scholar]
- Nv, M.N.; Broere, W.; Bosch, J. The impact of shallow cover on stability when tunnelling in soft soils. Tunn. Undergr. Space Technol. 2015, 50, 507–515. [Google Scholar]
- Chen, R.P.; Lin, X.T.; Wu, H.N. An analytical model to predict the limit support pressure on a deep shield tunnel face. Comput. Geotech. 2019, 115, 103174. [Google Scholar] [CrossRef]
- Anagnostou, G.; Kovari, K. The face stability of slurry-shield-driven tunnels. Tunn. Undergr. Space Technol. 1994, 9, 165–174. [Google Scholar] [CrossRef]
- Anagnostou, G.; Kovari, K. Face stability conditions with earth-pressure-balanced shields. Tunn. Undergr. Space Technol. 1996, 11, 165–173. [Google Scholar] [CrossRef]
- Broere, W. Face stability calculation for s slurry shield in heterogeneous soft soils. Tunn. Metrop. 1998, 23, 215–218. [Google Scholar]
- Wei, G. Theoretical Study on Properties of Soil and Structure during Pipe Jacking Construction. Ph.D. Thesis, Zhejiang University, Hangzhou, China, 2005. [Google Scholar]
- Wei, G.; He, F. Calculation of minimal support pressure acting on shield face during pipe jacking in sandy soil. Chin. J. Undergr. Space Eng. 2007, 3, 903–908. (In Chinese) [Google Scholar]
- Lei, M.F.; Peng, L.M.; Shi, C.H.; Zhao, D. Calculation and analysis of limit support force of shield tunnel excavation face under facing-slope conditions. Chin. J. Rock Mech. Eng. 2010, 32, 488–492. (In Chinese) [Google Scholar]
- Xu, Y.J.; Liang, W.Z.; Liu, X.M.; Cui, G.Q.; Bai, X.G. Soil Mass Stability at the Working Face of a Rectangular Pipe-Jacking Tunnel with a Large Section. Mod. Tunn. Technol. 2017, 54, 70–85. (In Chinese) [Google Scholar]
- Cheng, C.; Zhao, W.; Cheng, C.N.; Li, F. Calculation on Active Limit Support Pressure of Shield Tunnel Excavation Face in Dry Cohesionless Soil. J. Northeast. Univ. (Nat. Sci.) 2018, 39, 1348–1352. (In Chinese) [Google Scholar]
- Zhang, X.; Wang, M.N.; Li, J.W.; Tong, J.J.; Liu, D.G. Safety factor analy sis of a tunnel face with an unsupported span in cohesive-frictional soils. Comput. Geotech. 2020, 117, 103221. [Google Scholar] [CrossRef]
- Anagnostou, G. The contribution of horizontal arching to tunnel face stability. Géotechnique 2012, 35, 34–44. [Google Scholar] [CrossRef]
- Paternesi, A.; Schweiger, H.F.; Scarpelli, G. Numerical analyses of stability and deformation behavior of reinforced and unreinforced tunnel faces. Comput. Geotech. 2017, 88, 256–266. [Google Scholar] [CrossRef]
- Yu, M.; Liu, W.; Wu, B.; Yan, J.; Gan, P. Working Face Stability of Box Shield Tunneling under Non-Uniform Support Pressure. Appl. Sci. 2022, 12, 12360. [Google Scholar] [CrossRef]
- Vermeer, P.A.; Ruse, N.; Marcher, T. Tunnel heading stability in drained ground. Felsbau 2002, 20, 8–18. [Google Scholar]
- Liu, W.; Shi, P.X.; Yu, M.; Jia, P.J. Analysis of working face stability during obstruction removal from a box tunnel machine. Acta Geotech. 2022, 17, 4627–4639. [Google Scholar] [CrossRef]












| 19.8 kN/m | 15°–40° | 0.10–0.20 | 6 m | 1,2 | 1–2 | 0.25–0.75 |
| L/D = 1.5 | ||||||
| = 0.45 | = 0.60 | = 0.75 | ||||
| 20 | 52.9 | 1.401 | 53.2 | 1.181 | 53.4 | 1.057 |
| 25 | 54.6 | 1.497 | 54.8 | 1.277 | 55.0 | 1.151 |
| 30 | 56.0 | 1.586 | 56.3 | 1.366 | 56.5 | 1.240 |
| 35 | 63.3 | 1.700 | 57.6 | 1.453 | 57.8 | 1.325 |
| 40 | 64.4 | 1.769 | 58.8 | 1.539 | 59.1 | 1.411 |
| L/D = 2 | ||||||
| = 0.45 | = 0.60 | = 0.75 | ||||
| 20 | 53.2 | 1.181 | 53.1 | 1.047 | 53.1 | 0.967 |
| 25 | 54.8 | 1.277 | 55.1 | 1.121 | 54.7 | 1.061 |
| 30 | 56.3 | 1.367 | 56.6 | 1.209 | 56.2 | 1.149 |
| 35 | 57.6 | 1.453 | 57.9 | 1.294 | 57.6 | 1.234 |
| 40 | 58.8 | 1.539 | 59.2 | 1.379 | 58.9 | 1.321 |
| Silo Layer | Unit Weight γ/ kN/m³ | Modulus of Compression Es0.1−0.2/MPa | Cohesion c’/kPa | Frictional Angle φ’/° |
|---|---|---|---|---|
| ①1 Miscellaneous fill | 18.0 | 4.19 | -- | 27.0 |
| ③1 clay | 19.0 | 5.44 | 16 | 26.0 |
| ③3 Clay silty soil with silty clay | 18.6 | 6.87 | 8 | 22.5 |
| ④2 silt | 19.1 | 10.40 | 1 | 31.0 |
| Computed Results | Field Monitoring Data | ||||
|---|---|---|---|---|---|
| Security Coefficient | Theoretical Earth Pressure/kPa | Shutdown Clearance Phase s1/kPa | Normal Driving Phase s1, s2/kPa | Maximum Surface Settlement/mm | |
| 2.1 | 68.7 | 58–67 | 65–78 | 21 | |
Disclaimer/Publisher’s Note: The statements, opinions and data contained in all publications are solely those of the individual author(s) and contributor(s) and not of MDPI and/or the editor(s). MDPI and/or the editor(s) disclaim responsibility for any injury to people or property resulting from any ideas, methods, instructions or products referred to in the content. |
© 2023 by the authors. Licensee MDPI, Basel, Switzerland. This article is an open access article distributed under the terms and conditions of the Creative Commons Attribution (CC BY) license (https://creativecommons.org/licenses/by/4.0/).
Share and Cite
Zhang, X.; Yu, M.; Liang, J.; Yang, C.; Liu, W. Stability Analysis of Box Tunnel Working Face under Non-Uniform Support Pressure. Appl. Sci. 2023, 13, 5776. https://doi.org/10.3390/app13095776
Zhang X, Yu M, Liang J, Yang C, Liu W. Stability Analysis of Box Tunnel Working Face under Non-Uniform Support Pressure. Applied Sciences. 2023; 13(9):5776. https://doi.org/10.3390/app13095776
Chicago/Turabian StyleZhang, Xuanyang, Miao Yu, Jiaxin Liang, Chao Yang, and Wei Liu. 2023. "Stability Analysis of Box Tunnel Working Face under Non-Uniform Support Pressure" Applied Sciences 13, no. 9: 5776. https://doi.org/10.3390/app13095776
APA StyleZhang, X., Yu, M., Liang, J., Yang, C., & Liu, W. (2023). Stability Analysis of Box Tunnel Working Face under Non-Uniform Support Pressure. Applied Sciences, 13(9), 5776. https://doi.org/10.3390/app13095776
