An Experimentally Validated CFD Code to Design Coandă Effect Screen Structures
Abstract
1. Introduction
2. Materials and Methods
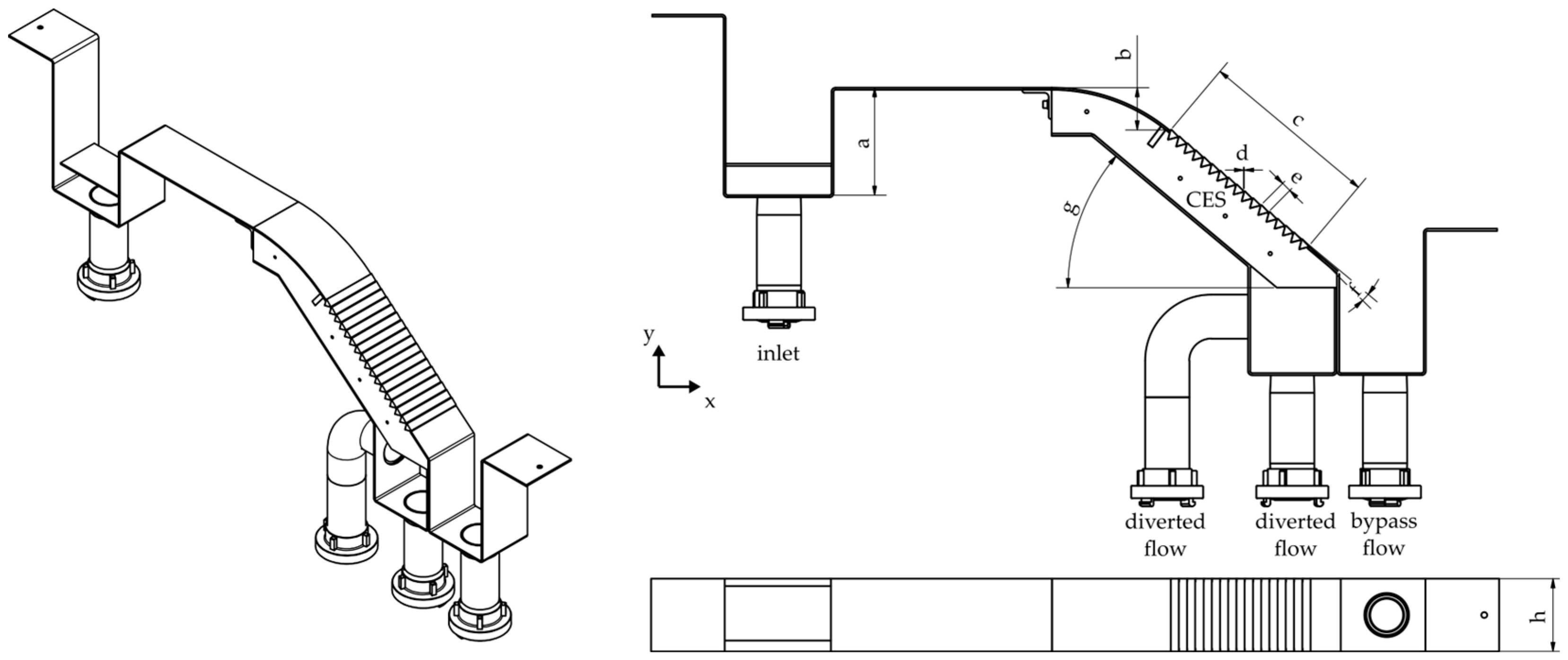
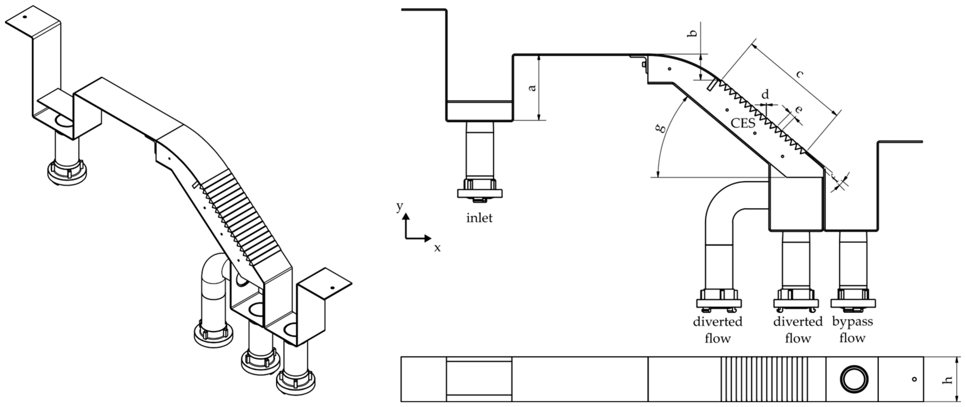
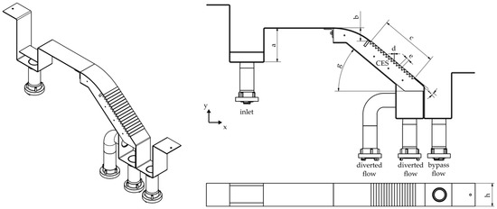
2.1. Experimental Setup
2.2. Numerical Setup
2.3. Postprocessing of the CFD Results
2.4. Postprocessing of the Experimental Results
2.5. Statistical Evaluation
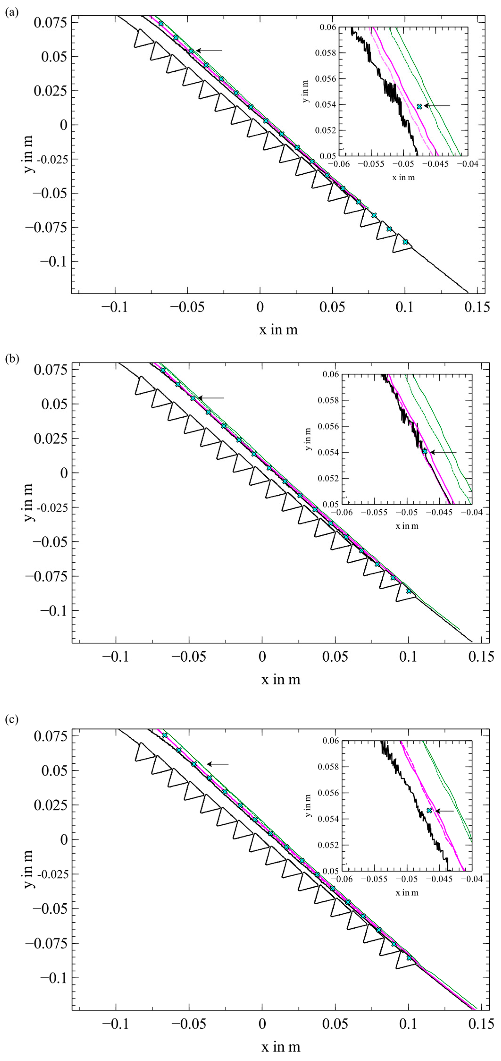
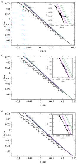
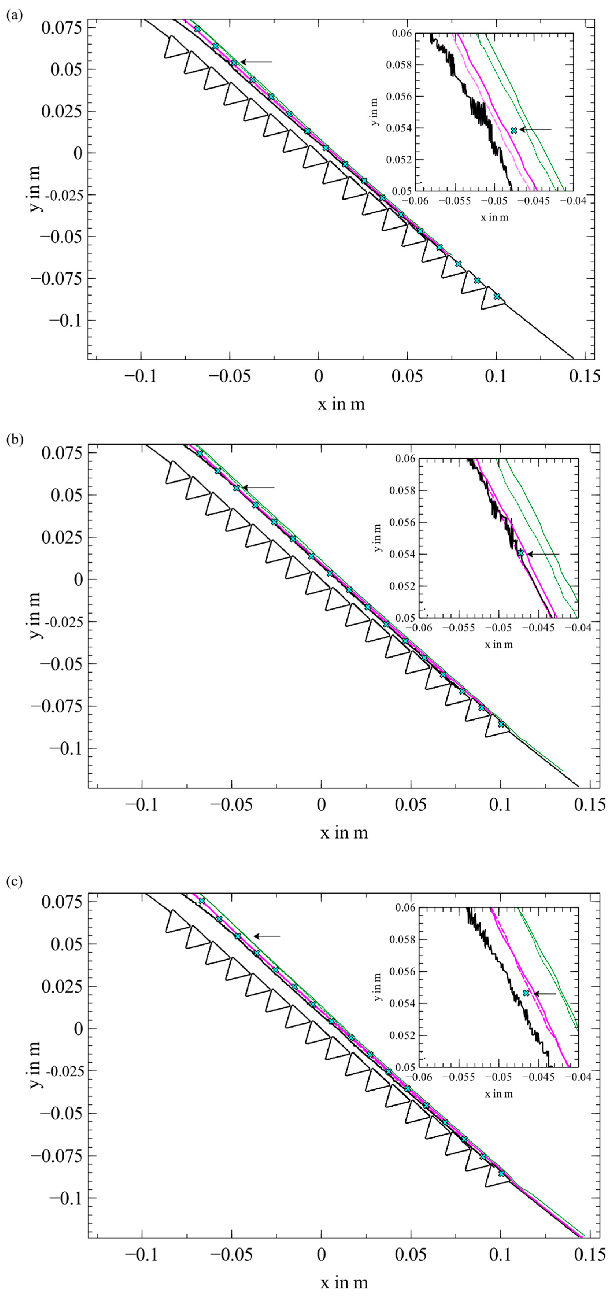
3. Results
4. Discussion
5. Conclusions
Author Contributions
Funding
Institutional Review Board Statement
Informed Consent Statement
Data Availability Statement
Acknowledgments
Conflicts of Interest
References
- Zhang, Z. Pelton Turbines; Springer International Publishing: Berlin/Heidelberg, Germany, 2016. [Google Scholar]
- Aigner, J.; Kreisler, A.; Rindler, R.; Hauer, C.; Habersack, H. Bedload pulses in a hydropower affected alpine gravel bed river. Geomorphology 2017, 291, 116–127. [Google Scholar] [CrossRef]
- Rai, A.K.; Kumar, A.; Staubli, T. Hydro-abrasive erosion in Pelton buckets: Classification and field study. Wear 2017, 392–393, 8–20. [Google Scholar] [CrossRef]
- Bajracharya, T.R.; Acharya, B.; Joshi, C.B.; Saini, R.P.; Dahlhaug, O.G. Sand erosion of Pelton turbine nozzles and buckets: A case study of Chilime Hydropower Plant. Wear 2008, 264, 177–184. [Google Scholar] [CrossRef]
- Morales, A.M.; Pachón, I.F.; Loboguerrero, J.; Medina, J.A.; Escobar, J.A. Development of a test rig to evaluate abrasive wear on Pelton turbine nozzles. A case study of Chivor Hydropower. Wear 2017, 372–373, 208–215. [Google Scholar] [CrossRef]
- Comiti, F.; Mao, L.; Penna, D.; Dell’Agnese, A.; Engel, M.; Rathburn, S.; Cavalli, M. Glacier melt runoff controls bedload transport in Alpine catchments. Earth Planet. Sci. Lett. 2019, 520, 77–86. [Google Scholar] [CrossRef]
- Felix, D.; Albayrak, I.; Boes, R.M. Schwebstoffmonitoring und Verschleiss an Peltonturbinen am Fallbeispiel Fieschertal: Vorbereitende Laborversuche zu Partikelmessmethoden, Wasser-Energie Glob. denken-lokal Handel. In Proceedings of the Wasserbausympo-sium 2012, Graz, Austria, 12–15 September 2012; pp. 117–124. [Google Scholar]
- Reba, I. Applications of the Coanda effect. Sci. Am. 1966, 214, 84–93. [Google Scholar] [CrossRef]
- Lasiecka, I.; Triggiane, R. Exact controllability of the Euler-Bernoulli equation with boundary controls for displacement and moment. J. Math. Anal. Appl. 1990, 146, 1–33. [Google Scholar] [CrossRef]
- Witek, M.; Lifa, I. Optimierung der Coanda-Rechen für Schweizer Gewässer, Wasserbau-Symposium 2021. In Wasserbau in Zeiten von Energiewende, Gewässerschutz und Klimawandel. Band 1; Eigenverlag der Versuchsanstalt für Wasserbau, Hydrologie und Glaziologie (VAW), ETH Zürich: Zurich, Switzerland, 2021; pp. 119–126. [Google Scholar]
- Strong, J.J.; Ott, R.F. Intake screens for small hydro plants. Hydro Rev. 1988, 7, 66–69. [Google Scholar]
- Wahl, T.L. Design Guidance for Coanda-Effect Screens; US Department of the Interior, Bureau of Reclamation: Washington, DC, USA, 2003.
- Wahl, T.L. Improving Coanda-Effect Screen Technology; United States Bureau of Reclamation: Denver, CO, USA, 2017.
- May, D. Sediment Exclusion From Water Systems Using a Coanda Effect Device. Int. J. Hydraul. Eng. 2015, 4, 23–30. [Google Scholar]
- Nøvik, H.; Lia, L.; Opaker, H. Performance of Coanda-Effect Screens in a Cold Climate. J. Cold Reg. Eng. 2014, 28, 04014006. [Google Scholar] [CrossRef]
- Wahl, T.L. Hydraulic Performance of Coanda-Effect Screens. J. Hydraul. Eng. 2001, 127, 480–488. [Google Scholar] [CrossRef]
- Dzafo, H.; Dzaferovic, E. Numerical Simulation of Air-Water Two Phase Flow Over Coanda-Effect Screen Structure. In Advanced Technologies, Systems, and Applications; Springer International Publishing: Berlin/Heidelberg, Germany, 2017; pp. 249–255. [Google Scholar]
- Hosseini, S.M.; Coonrod, J. Coupling numerical and physical modeling for analysis of flow in a diversion structure with Coanda-effect screens. Water 2011, 3, 764–786. [Google Scholar] [CrossRef]
- Carrión-Coronel, E.; Ortiz, P.; Nanía, L. Physical Experimentation and 2D-CFD Parametric Study of Flow through Trans-verse Bottom Racks. Water 2022, 14, 955. [Google Scholar] [CrossRef]
- Hazar, O.; Tayfur, G.; Elçi, S.; Sigh, V.P. Developing Predictive Equations for Water Capturing Performance and Sediment Release Efficiency for Coanda Intakes Using Artificial Intelligence Methods. Water 2022, 14, 972. [Google Scholar] [CrossRef]
- Ogata, K. Modern Control Engineering; Prentice Hall: Hoboken, NJ, USA, 2010. [Google Scholar]
- Ferziger, J.H.; Peric, M. Computational Methods for Fluid Dynamics; Springer Science & Business Media: Berlin/Heidelberg, Germany, 2012. [Google Scholar]
- Landau, L.D.; Lifshitz, J.M. Fluid Mechanics—Third Revised English Edition; Academic Press: Pergamon, Turkey, 1959. [Google Scholar]
- Fluent, A.N.S.Y.S. Fluent 14.0 User’s Guide; Ansys Fluent Inc.: Canonsburg, PA, USA, 2020. [Google Scholar]
- Baker, N.; Kelly, G.; O’Sullivan, P.D. A grid convergence index study of mesh style effect on the accuracy of the numerical results for an indoor airflow profile. Int. J. Vent. 2020, 19, 300–314. [Google Scholar] [CrossRef]
- Canny, J. A Computational Approach to Edge Detection. IEEE Trans. Pattern Anal. Mach. Intell. 1986, PAMI-8, 679–698. [Google Scholar] [CrossRef]
- Menter, F.R. Two-equation eddy-viscosity turbulence models for engineering applications. AIAA J. 1994, 32, 1598–1605. [Google Scholar] [CrossRef]
- Wahl, T.L.; Shupe, C.C.; Dzafo, H.; Dzaferovic, E. Surface Tension Effects on 360 Discharge Capacity of Coanda-Effect Screens. J. Hydraul. Eng. 2021, 147, 04021026. [Google Scholar] [CrossRef]








| Variable | Adjustment |
|---|---|
| Turbulence model | k-ω SST |
| Pressure velocity coupling | Coupled |
| Gradient | Least Squares Cell Based |
| Pressure | Presto! |
| Momentum | Second-order upwind |
| Volume fraction | Compressive |
| Turbulence Kinetic Energy | Second-order upwind |
| Turbulence Dissipation rate | Second-order upwind |
| Initialization | Standard |
| Flow Rate in m3/h | Π Simulations in % | Π Simulations Simplified Boundary Condition in % | Π Experiment in % |
|---|---|---|---|
| 7 | 3.6 | 0 | 10.14 |
| 8 | 5.0 | 0.3 | 13.15 |
| 9 | 10.7 | 1.8 | 16.17 |
| Fill Level, mm (for 7 m3h−1) | Fill Level, mm (for 8 m3h−1) | Fill Level, mm (for 9 m3h−1) | |
|---|---|---|---|
| RMSE (CFDLower, experiment) | 2.19 | 1.52 | 2.62 |
| RMSE (CFDUpper, experiment) | 4.37 | 3.81 | 4.96 |
| RMSE (CFDLower SBC, experiment) | 1.54 | 0.71 | 2.19 |
| RMSE (CFDUpper SBC, experiment) | 3.44 | 2.58 | 4.36 |
Disclaimer/Publisher’s Note: The statements, opinions and data contained in all publications are solely those of the individual author(s) and contributor(s) and not of MDPI and/or the editor(s). MDPI and/or the editor(s) disclaim responsibility for any injury to people or property resulting from any ideas, methods, instructions or products referred to in the content. |
© 2023 by the authors. Licensee MDPI, Basel, Switzerland. This article is an open access article distributed under the terms and conditions of the Creative Commons Attribution (CC BY) license (https://creativecommons.org/licenses/by/4.0/).
Share and Cite
Senfter, T.; Berger, M.; Schweiberer, M.; Knitel, S.; Pillei, M. An Experimentally Validated CFD Code to Design Coandă Effect Screen Structures. Appl. Sci. 2023, 13, 5762. https://doi.org/10.3390/app13095762
Senfter T, Berger M, Schweiberer M, Knitel S, Pillei M. An Experimentally Validated CFD Code to Design Coandă Effect Screen Structures. Applied Sciences. 2023; 13(9):5762. https://doi.org/10.3390/app13095762
Chicago/Turabian StyleSenfter, Thomas, Manuel Berger, Markus Schweiberer, Serafin Knitel, and Martin Pillei. 2023. "An Experimentally Validated CFD Code to Design Coandă Effect Screen Structures" Applied Sciences 13, no. 9: 5762. https://doi.org/10.3390/app13095762
APA StyleSenfter, T., Berger, M., Schweiberer, M., Knitel, S., & Pillei, M. (2023). An Experimentally Validated CFD Code to Design Coandă Effect Screen Structures. Applied Sciences, 13(9), 5762. https://doi.org/10.3390/app13095762

