Synthesis and Physicochemical Properties of Cefepime Derivatives Suitable for Labeling with Gallium-68
Abstract
1. Introduction
2. Materials and Methods
2.1. Syntheses
2.1.1. Preparation of Linker-CFM Derivatives
2.1.2. Preparation of [68Ga]Ga-NODAGA-Glu-CFM Radioconjugate
2.1.3. Preparation of Ga-NODAGA-Glu-CFM-‘Cold’ Reference Compound
2.2. Physicochemical Properties Studies of [68Ga]Ga-NODAGA-Glu-CFM
2.2.1. Lipophilicity Studies
2.2.2. Paper Electrophoresis Studies
2.2.3. Radioconjugate Stability Study in Human Serum
3. Results and Discussion
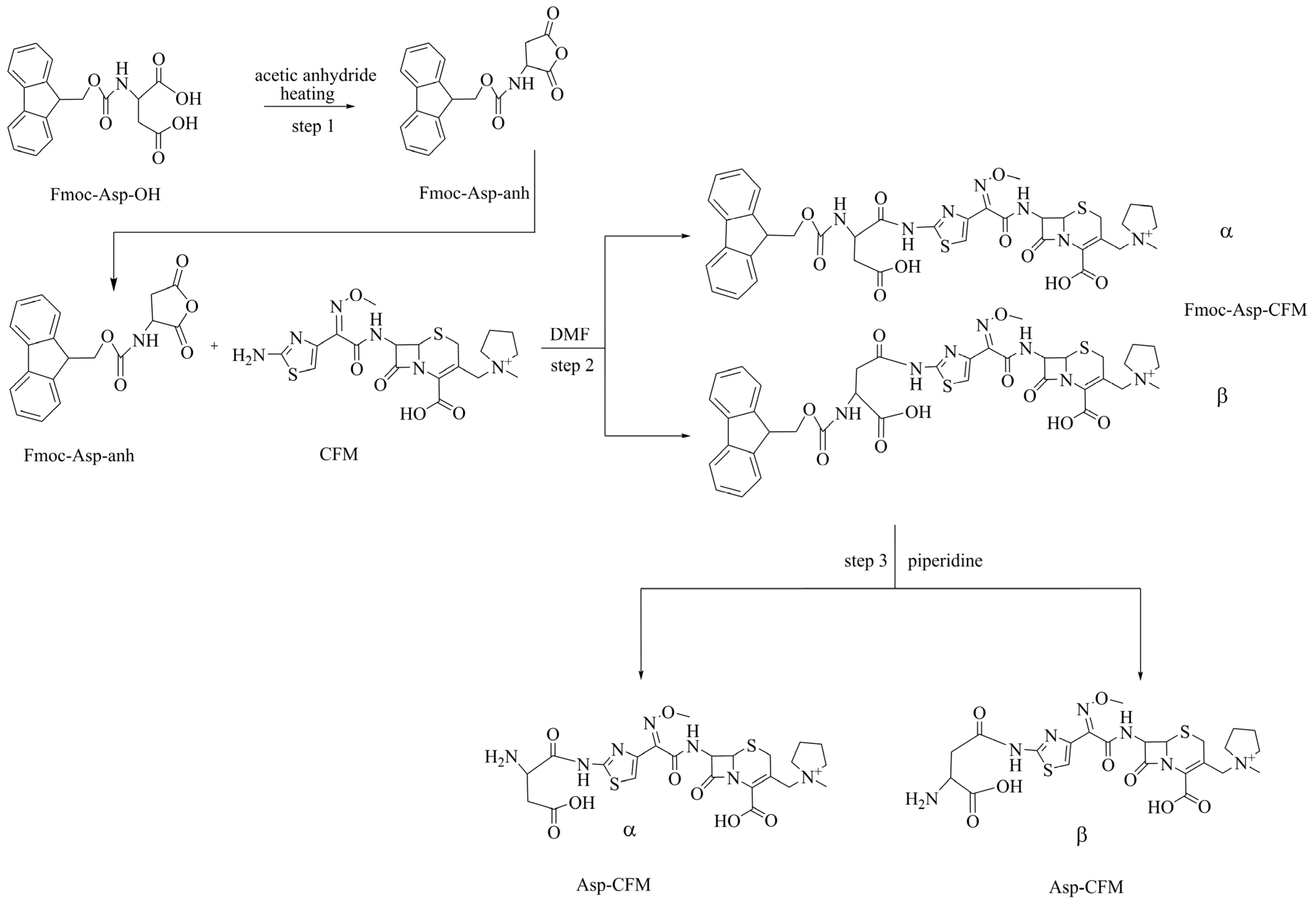
3.1. Synthesis of Asp-CFM Molecule
3.2. Synthesis of NODAGA-Asp-CFM Conjugate
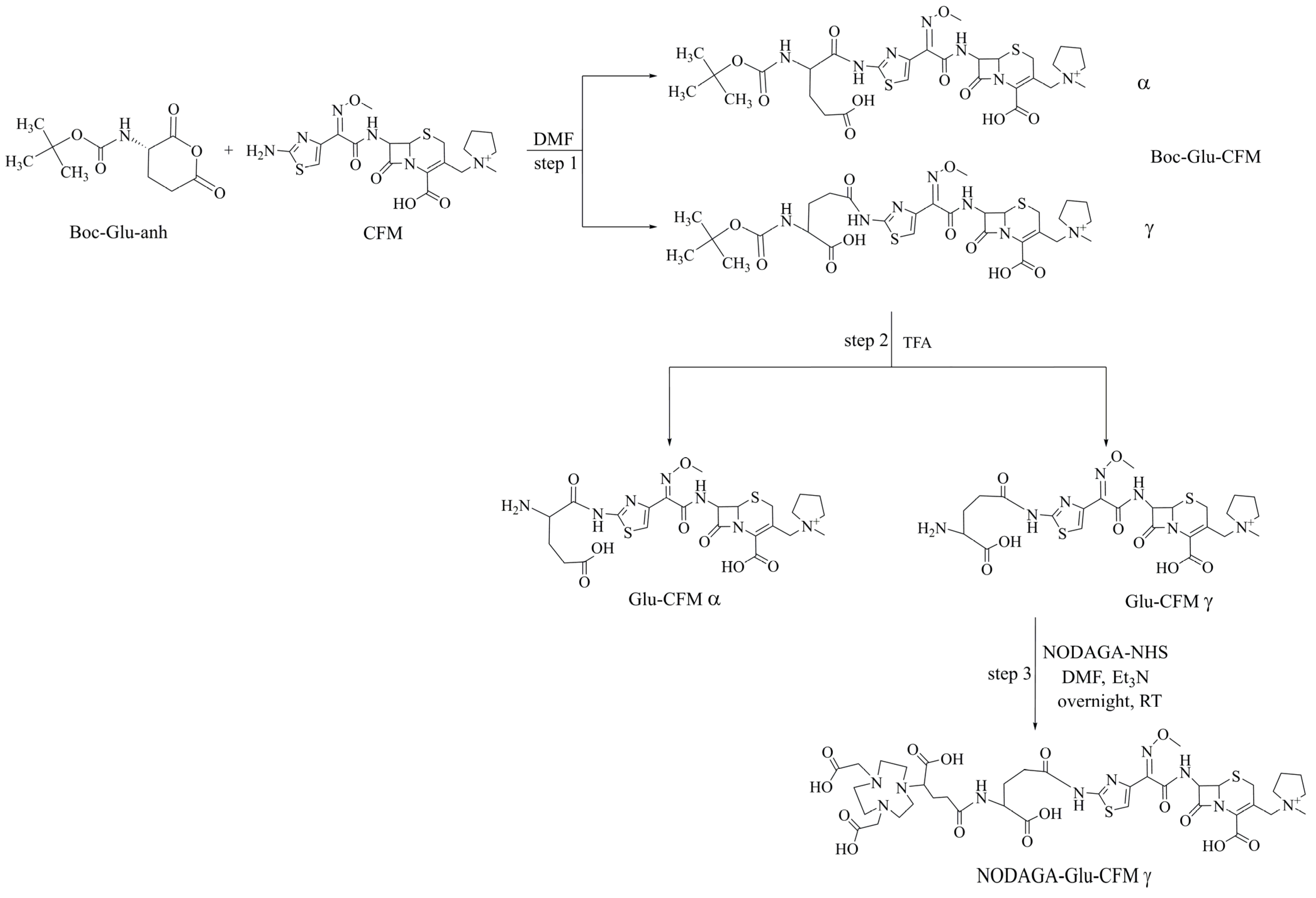
3.3. Synthesis of NODAGA-Glu-CFM Conjugate
3.4. Synthesis of [68Ga]Ga-NODAGA-Glu-CFM Radioconjugate and Ga-NODAGA-Glu-CFM ‘Cold’ Reference Compound
3.5. Characterization of [68Ga]Ga-NODAGA-Glu-CFM Radioconjugate
4. Conclusions
Author Contributions
Funding
Institutional Review Board Statement
Informed Consent Statement
Data Availability Statement
Acknowledgments
Conflicts of Interest
References
- Velikyan, I. Prospective of 68Ga-Radiopharmaceutical Development. Theranostics 2014, 4, 47–80. [Google Scholar] [CrossRef]
- Ranachowska, C.; Lass, P.; Korzon-Burakowska, A.; Dobosz, M. Diagnostic Imaging of the Diabetic Foot. Nucl. Med. Rev. 2010, 13, 18–22. [Google Scholar]
- Velikyan, I. 68Ga-Based Radiopharmaceuticals: Production and Application Relationship. Molecules 2015, 20, 12913–12943. [Google Scholar] [CrossRef] [PubMed]
- Signore, A.; Glaudemans, A.W.J.M. The Molecular Imaging Approach to Image Infections and Inflammation by Nuclear Medicine Techniques. Ann. Nucl. Med. 2011, 25, 681–700. [Google Scholar] [CrossRef]
- Welling, M.M.; Hensbergen, A.W.; Bunschoten, A.; Velders, A.H.; Roestenberg, M.; van Leeuwen, F.W.B. An update on radiotracer development for molecular imaging of bacterial infections. Clin. Transl. Imaging 2019, 7, 105–124. [Google Scholar] [CrossRef]
- Gouws, A.C.; Kruger, H.G.; Gheysens, O.; Zeevaart, J.R.; Govender, T.; Naicker, T.; Ebenhan, T. Antibiotic-Derived Radiotracers for Positron Emission Tomography: Nuclear or “Unclear” Infection Imaging? Angew. Chem. Int. Ed. 2022, 61, e202204955. [Google Scholar] [CrossRef]
- Velikyan, I. Prospective of 68Ga Radionuclide Contribution to the Development of Imaging Agents for Infection and Inflammation. Contrast Media Mol. Imaging 2018, 2018, 9713691. [Google Scholar] [CrossRef]
- Petrik, M.; Umlaufova, E.; Raclavsky, V.; Palyzova, A.; Havlicek, V.; Pfister, J.; Mair, C.; Novy, Z.; Popper, M.; Hajduch, M.; et al. 68Ga-labelled desferrioxamine-B for bacterial infection imaging. Eur. J. Nucl. Med. Mol. Imaging 2021, 48, 372–382. [Google Scholar] [CrossRef]
- Chopra, S.; Singh, B.; Koul, A.; Mishra, A.K.; Robu, S.; Kaur, A.; Ghai, A.; Caplash, N.; Wester, H.J. Radiosynthesis and pre-clinical evaluation of [68Ga] labeled antimicrobial peptide fragment GF-17 as a potential infection imaging PET radiotracer. Appl. Radiat. Isot. 2019, 149, 9–21. [Google Scholar] [CrossRef]
- Kumar, V.; Boddeti, D.K. 68Ga-radiopharmaceuticals for PET imaging of infection and inflammation. Recent Results Cancer Res. 2013, 194, 189–219. [Google Scholar] [CrossRef]
- OECD/NEA. The Supply of Medical Isotopes: An Economic Diagnosis and Possible Solutions; OECD Publishing: Paris, France, 2019. [Google Scholar] [CrossRef]
- Signore, A.; Glaudemans, A.W.J.M.; Galli, F.; Rouzet, F. Imaging Infection and Inflammation. BioMed Res. Int. 2015, 2015, 615150. [Google Scholar] [CrossRef] [PubMed]
- Koźmiński, P.; Gawęda, W.; Rzewuska, M.; Kopatys, A.; Kujda, S.; Dudek, M.K.; Halik, P.K.; Królicki, L.; Gniazdowska, E. Physicochemical and Biological Study of 99mTc and 68Ga Radiolabelled Ciprofloxacin and Evaluation of [99mTc]Tc-CIP as Potential Diagnostic Radiopharmaceutical for Diabetic Foot Syndrome Imaging. Tomography 2021, 7, 829–842. [Google Scholar] [CrossRef] [PubMed]
- Lipsky, B.A. Osteomyelitis of the Foot in Diabetic Patients. Clin. Infect. Dis. 1997, 25, 1318–1326. [Google Scholar] [CrossRef] [PubMed]
- Singh, N.; Armstrong, D.G.; Lipsky, B.A. Preventing Foot Ulcers in Patients with Diabetes. JAMA 2005, 293, 217–228. [Google Scholar] [CrossRef]
- Boulton, A.J.M.; Vileikyte, L.; Ragnarson-Tennvall, G.; Apelqvist, J. The Global Burden of Diabetic Foot Disease. Lancet 2005, 366, 1719–1724. [Google Scholar] [CrossRef]
- Das, A.K.; Shashank, R.J. Put Feet First: Prevent Amputations–Diabetes and Feet. J. Assoc. Physicians India 2005, 53, 929–930. [Google Scholar]
- Howarth, D. Putting feet first: Preventing avoidable amputations. J. Diabetes Nurs. 2017, 21, 235. [Google Scholar]
- Palestro, C.J.; Love, C. Nuclear Medicine and Diabetic Foot Infections. Semin. Nucl. Med. 2009, 39, 52–65. [Google Scholar] [CrossRef]
- Auletta, S.; Riolo, D.; Varani, M.; Lauri, C.; Galli, F.; Signore, A. Labelling and Clinical Performance of Human Leukocytes Labelled with 99mTc-HMPAO Using Leukokit® with Gelofusine versus Leukokit® with HES as Sedimentation Agent. Contrast Media Mol. Imaging 2019, 2019, 4368342. [Google Scholar] [CrossRef]
- Wagner, T.; Payoux, P.; Simon, J.; Anne, J.; Tafani, M.; Esquerré, J.P.; Bonnet, E. Discordance between labelled white blood cell scintigraphy and bone scan following suspicion of bone infection: What should be done about it? Nucl. Med. Cent. East. Eur. 2010, 13, 5–7. [Google Scholar]
- Familiari, D.; Glaudemans, A.W.J.M.; Vitale, V.; Prosperi, D.; Bagni, O.; Lenza, A.; Cavallini, M.; Scopinaro, F.; Signore, A. Can Sequential 18F-FDG PET/CT Replace WBC Imaging in the Diabetic Foot? J. Nucl. Med. 2011, 52, 1012–1019. [Google Scholar] [CrossRef]
- Treglia, G.; Sadeghi, R.; Annunziata, S.; Zakavi, S.R.; Caldarella, C.; Muoio, B.; Bertagna, F.; Ceriani, L.; Giovanella, L. Diagnostic Performance of Fluorine-18-Fluorodeoxyglucose Positron Emission Tomography for the Diagnosis of Osteomyelitis Related to Diabetic Foot: A Systematic Review and a Meta-Analysis. Foot 2013, 23, 140–148. [Google Scholar] [CrossRef] [PubMed]
- Sachin, K.; Kim, E.M.; Cheong, S.J.; Jeong, H.J.; Lim, S.T.; Sohn, M.H.; Kim, D.W. Synthesis of N 4′-[18F]Fluoroalkylated Ciprofloxacin as a Potential Bacterial Infection Imaging Agent for PET Study. Bioconjug. Chem. 2010, 21, 2282–2288. [Google Scholar] [CrossRef]
- Langer, O.; Brunner, M.; Zeitlinger, M.; Ziegler, S.; Müller, U.; Dobrozemsky, G.; Lackner, E.; Joukhadar, C.; Mitterhauser, M.; Wadsak, W.; et al. In Vitro and in Vivo Evaluation of [18F]Ciprofloxacin for the Imaging of Bacterial Infections with PET. Eur. J. Nucl. Med. Mol. Imaging 2005, 32, 143–150. [Google Scholar] [CrossRef] [PubMed]
- So, W.; Kuti, J.L.; Shepard, A.; Nugent, J.; Nicolau, D.P. Tissue Penetration and Exposure of Cefepime in Patients with Diabetic Foot Infections. Int. J. Antimicrob. Agents 2016, 47, 247–248. [Google Scholar] [CrossRef] [PubMed]
- Motaleb, M.A.; El-Kolaly, M.T.; Ibrahim, A.B.; El-Bary, A.A. Study on the preparation and biological evaluation of 99mTc–gatifloxacin and 99mTc–cefepime complexes. J. Radioanal. Nucl. Chem. 2011, 289, 57–65. [Google Scholar] [CrossRef]
- Harrison, C.J.; Bratcher, D. Cephalosporins: A Review. Pediatr. Rev. 2008, 29, 264–273. [Google Scholar] [CrossRef]
- Koźmiński, P.; Rzewuska, M.; Piądłowska, A.; Halik, P.; Gniazdowska, E. Synthesis, physicochemical and in vitro biological evaluation of 99mTc-cefepime radioconjugates, and development of DTPA-cefepime single vial kit formulation for labelling with technetium-99m. J. Radioanal. Nucl. Chem. 2022, 331, 2883–2894. [Google Scholar] [CrossRef]
- Peters, B.K.; Reddy, N.; Shungube, M.; Girdhari, L.; Baijnath, S.; Mdanda, S.; Chetty, L.; Ntombela, T.; Arumugam, T.; Bester, L.A.; et al. In Vitro and In Vivo Development of a β-Lactam-Metallo-β-Lactamase Inhibitor: Targeting Carbapenem-Resistant Enterobacterales. ACS Infect. Dis. 2023, 9, 486–496. [Google Scholar] [CrossRef]
- Reddy, N.; Girdhari, L.; Shungube, M.; Gouws, A.C.; Peters, B.K.; Rajbongshi, K.K.; Baijnath, S.; Mdanda, S.; Ntombela, T.; Arumugam, T.; et al. Neutralizing Carbapenem Resistance by Co-Administering Meropenem with Novel β-Lactam-Metallo-β-Lactamase Inhibitors. Antibiotics 2023, 12, 633. [Google Scholar] [CrossRef]
- Kapoor, G.; Saigal, S.; Elongavan, A. Action and resistance mechanisms of antibiotics: A guide for clinicians. J. Anaesthesiol. Clin. Pharmacol. 2017, 33, 300–305. [Google Scholar] [CrossRef] [PubMed]
- Wilson, W.W.; Wade, M.M.; Holman, S.C.; Champlin, F.R. Status of methods for assessing bacterial cell surface charge properties based on zeta potential measurements. J. Microbiol. Methods 2001, 43, 153–164. [Google Scholar] [CrossRef] [PubMed]
- Da Costa, D.; Exbrayat-Héritier, C.; Rambaud, B.; Megy, S.; Terreux, R.; Verrier, B.; Primard, C. Surface charge modulation of rifampicin-loaded PLA nanoparticles to improve antibiotic delivery in Staphylococcus aureus biofilms. J. Nanobiotechnol. 2021, 19, 12. [Google Scholar] [CrossRef] [PubMed]













| Gradient Conditions | Flow [mL/min] | Time [min] | Eluent Content | |
|---|---|---|---|---|
| %A | %B | |||
| Gradient profile 1 used in HPLC with analytical column | 1 | 0 | 5 | 95 |
| 11 | 60 | 40 | ||
| 13 | 60 | 40 | ||
| 16 | 80 | 20 | ||
| 20 | 80 | 20 | ||
| 22 | 5 | 95 | ||
| Gradient profile 2 used in HPLC with semi-preparative column | 3 | 0 | 0 | 100 |
| 22 | 60 | 40 | ||
| 26 | 60 | 40 | ||
| 28 | 80 | 20 | ||
| 30 | 80 | 20 | ||
| 32 | 0 | 100 | ||
Disclaimer/Publisher’s Note: The statements, opinions and data contained in all publications are solely those of the individual author(s) and contributor(s) and not of MDPI and/or the editor(s). MDPI and/or the editor(s) disclaim responsibility for any injury to people or property resulting from any ideas, methods, instructions or products referred to in the content. |
© 2023 by the authors. Licensee MDPI, Basel, Switzerland. This article is an open access article distributed under the terms and conditions of the Creative Commons Attribution (CC BY) license (https://creativecommons.org/licenses/by/4.0/).
Share and Cite
Koźmiński, P.; Żelechowska-Matysiak, K.; Gniazdowska, E. Synthesis and Physicochemical Properties of Cefepime Derivatives Suitable for Labeling with Gallium-68. Appl. Sci. 2023, 13, 5019. https://doi.org/10.3390/app13085019
Koźmiński P, Żelechowska-Matysiak K, Gniazdowska E. Synthesis and Physicochemical Properties of Cefepime Derivatives Suitable for Labeling with Gallium-68. Applied Sciences. 2023; 13(8):5019. https://doi.org/10.3390/app13085019
Chicago/Turabian StyleKoźmiński, Przemysław, Kinga Żelechowska-Matysiak, and Ewa Gniazdowska. 2023. "Synthesis and Physicochemical Properties of Cefepime Derivatives Suitable for Labeling with Gallium-68" Applied Sciences 13, no. 8: 5019. https://doi.org/10.3390/app13085019
APA StyleKoźmiński, P., Żelechowska-Matysiak, K., & Gniazdowska, E. (2023). Synthesis and Physicochemical Properties of Cefepime Derivatives Suitable for Labeling with Gallium-68. Applied Sciences, 13(8), 5019. https://doi.org/10.3390/app13085019

