Abstract
Purpose: The goal of this work is to reduce the effect of dynamic loads on the mine timbering through the use of the elastic devices contained in the monorail suspension and to justify their parameters. Methods and materials: The article considers the developed mathematical model of vertical oscillations of the monorail track, which allows setting the interconnection between the rolling stock parameters and dynamic loads in the suspension. At vertical oscillations of the monorail and under the effect of harmonic disturbing force caused by the movement of the suspension, the system of the monorail suspension can be represented in the form of a dual-mass system. Results: As a result, the equations for oscillation amplitudes of the monorail elements were obtained and damping coefficient of suspension was defined. The obtained results suggest setting reasonable parameters of the monorail fastening, which offers the possibility to decrease dynamic loads occurring during the operation of the mine suspended monorail tracks. The proposed monorail suspension makes it possible to reduce the dynamic loads formed during the movement of the rolling stock by 30–40% and can be used to modernize existing mine suspended monorails. Discussion: Analysis of the obtained results shows that in order to reduce the vibration amplitudes of a suspended monorail mine, it is appropriate to use suspension systems for rolling stock and a monorail track, consisting of elastic elements. The parameters required for this can be determined using the proposed method, and required rigidity of the monorail track is provided by embedding elastic supports into its suspension system. Conclusions: The obtained results allow setting reasonable parameters of the monorail fastening of the mine suspended monorail tracks. The proposed monorail suspension makes it possible to minimize the dynamic loads formed during the movement of rolling stock and can be used to modernize existing mine suspension monorails.
Keywords:
monorail track; rolling stock; mathematical model; oscillations; dynamic loads; amplitude; frequency 1. Introduction
Suspended monorails are increasingly being used in mining operations around the world. Currently, they are used for the prompt delivery of various goods weighing up to 32 tons, as well as transportation of people as close as possible to their workplaces. The main advantage of suspended monorails is their efficient operation on tracks with slopes of up to 25°, while the speed can reach up to 3.5 m/s. They include monorail track and rolling stock. For underground conditions, there is a single-term path, consisting of segments of an I-profile, a fixed direction of transport route to support of a mine working on chain suspensions (Figure 1). At the same time, the installation step of the suspensions is not higher than 3 m.
Figure 1.
General view of the mine suspended monorail road: 1—support of the mine working; 2—monorail track; 3—monorail suspension.
A rolling stock is suspended from the monorail track, transporting auxiliary cargo in pallets, containers or trolleys. As guides for movement, the inclined surfaces of lower shelves of the I-beam are more often used, although in underground conditions it is possible to ride on the top of the monorail. Movement of composition is provided by locomotive traction or a flexible rope traction body.
A number of companies are engaged in development and production of such funds, among which the following should be highlighted: BECKER MINING SYSTEMS AG (Friedrichsthal, Germany), BECORIT GmbH (Recklinghausen, Germany), GTA MASCHINENSYSTEME GmbH (Hamminkeln, Germany), NEUHAUSER GmbH (Lunen, Germany), SMT SCHARF AG (Hamm, Germany), BEVEX-BANSKY VYSKUM spol. s.r.o. (Prievidza, Slovakia), Grupa FAMUR (Katowice, Poland), SIGMA S.A (Barak, Poland), FITE a.s. (Ostrava, Czech Republic), FERRIT s.r.o. (Stare Mesto, Czech Republic), STAVUS (Pribram, Czech Republic). Most of these companies have subsidiaries in Australia, Canada, China, Poland, USA, France, Chile and South Africa.
Since the monorail track is suspended from the roof of excavation, rolling stock and cargo moving along the monorail additionally load support of excavation. The emerging static and dynamic loads [1,2] cause deformation of monorail suspension and vibration. All this leads to displacement of blood rocks and reduces the life of the mine working. Typical for mine suspended monorails is location of rolling stock under monorail, which is suspended from roof of mine working. In addition, the one advantage of the monorail is the possibility to avoid the need for some infrastructure such as the overhead contact line [3] erected along the conventional track. The difference between a mine monorail and a passenger monorail [4] also deserves to be described.
The operation of the mine suspended monorail tracks necessarily involves additional loads affecting the mine timbering. While moving the rolling stock along the suspended monorail, not only static gravity forces of the indicated elements of the tracks but also dynamic forces are applied to the beams of the mine working supports. These forces cause oscillations of the rolling stock, monorail track and mine timbering. The timbering oscillations cause displacement of rocks cutting their stability and leading to reduction in roadway cross-section. This, in its turn, increases accident rates and reduces efficiency and operational safety of the suspended monorail tracks. That is why this problem is of topical importance for mining enterprises.
Problems of development of mine underground transport using suspended monorail roads are described in [5,6]. It has been established that it is necessary to consider possible aspects: geologic conditions of current and future transport workings; parameters of transported loads; safety level required for conducting transport operations; competitiveness of predicted new means of transport; minimization of effects to the environment.
The authors in [7,8] studied the effect of rolling stock speed on dynamic loads in suspension of a mine suspended monorail road. We have developed a mathematical model for movement of rolling stock on a suspended monorail and experimentally tested its adequacy. Tests were carried out on a special stand using special force registration sensors. As a result, actual values of dynamic loads on monorail were determined, which must be reduced to improve the efficiency of monorail transport. To eliminate this problem, additional research and the development of special monorail suspension devices are required.
In works [9,10], a comparison of results of numerical calculations with measurements at the test stand is presented, and results of numerical simulations in relation to the criterial states that could not be checked at the test stand as well as the analysis of overloads that affect the crew during the emergency braking are discussed. In addition, results of investigations are also described—tests of steel arch and rock bolt support resistance to static and dynamic loading induced by suspended monorail.
Investigations [11,12] are dedicated to substantiation of performance indicators of mine suspended monorail locomotives. Moreover, the authors consider dynamics of the traction device of a mine suspended monorail.
The problems of creating mine suspended monorail roads with electric locomotives are studied in articles [13,14]. The use of battery-powered suspended monorails in underground hard coal mines is indicated to improve working conditions. Despite the significant progress in development, batteries of mine suspended locomotives have a significant mass, and therefore increase the load on the monorail. This is especially true for batteries for coal mines, which have an explosion-proof shell.
Results of dynamic analysis of the motion process of the driven monorail cart are provided in the article [15]. Based on the method of rigid–flexible connection, a design scheme for the interaction of rolling stock with a monorail is proposed. As a result, equations are obtained that describe patterns of movement of a monorail vehicle along a monorail.
Calculation and analysis of suspended monorail vehicle are conducted in the work [16]. In this paper, the calculation of the suspension-type vehicle gauge under different running conditions was carried out in detail with the help of the standards.
The article [17,18] proposes a new method for dynamic simulation of the movement of a suspended monorail road, taking into account the action of traction. The established refined monorail–track coupling dynamic analysis model comprehensively considers the influence of nonlinear characteristics such as shear and torsional deformation of the track beam and noise problem. The calculation accuracy of the model in this paper is high, which greatly improves the application range of the calculation model.
Studies [19,20] are devoted to determining the resonance of a transport monorail system based on modal analysis and the dynamics of rigid–elastic links. The authors have established the oscillation frequencies that are formed during the movement of overhead monorail.
Numerical solution of equations of oscillations of the mounted overhead monorail is obtained in the article [21]. The authors studied the effect of vehicle speed, pier height, caterpillar irregularity and vehicle load on ride comfort.
The oscillation frequencies of the rolling stock of hinged monorail are determined in [20]. This work recommends the value of the lateral fundamental frequency limit for different spans of the straddle-type monorail tour transit system.
In [22,23,24], dynamic characteristics of monorail vehicle with a single-axle bogie under conditions of movement along curved track were studied. The influence of the radius of the curve, the speed of movement and the rigidity of the driving wheels on the dynamic response to the monorail are determined.
Despite the large amount of work carried out, the aforementioned studies do not fully solve the issues related to the formation of dynamic loads during the operation of suspended monorail roads. At present, it is not possible to offer recommendations to reduce these loads. In addition, there is no method for calculating parameters of the monorail suspension and means for reducing dynamic loads, which can increase life of the mine working and improve the efficiency of the suspension monorails in the mine.
The goal of this work is to reduce the effect of dynamic loads on the mine timbering through the use of the elastic devices contained in the monorail suspension and to justify their parameters.
In order to achieve this goal, the following tasks must be completed: to draw up a calculation scheme of absorption of shock applied to the suspension; to develop the mathematical model of the vertical oscillations of the monorail suspension; to conduct theoretical research of the arising vertical oscillations of the monorail and the suspension part of the rolling stock; to offer recommendations for reducing dynamic loads on the support of mining and to develop a device for their implementation.
2. Materials and Methods
To solve the issues which were set, the modeling of the process of movement of a suspended monorail was carried out using the Lagrange method, a methodology was developed and necessary parameters of the monorail suspension were determined. Based on this, a device was proposed that allows implementation of these parameters.
The source of oscillations of suspension monorail components is the rolling stock moving along the monorail, which is fixed in the upper part of the mine excavation. On the one hand, dynamic influences—forces arising in the places of interaction of bogies with a monorail, are transferred to suspension of the rolling stock body. On the other hand, dynamic effects appear in attachment points of the monorail and are transmitted to the support of mine excavation. Such fluctuations do not contribute to the performance of useful work, and therefore increase energy costs, lead to additional wear of the monorail and reduce traffic safety.
The decrease in the intensity of oscillations in attachment points of the monorail and the body can be achieved by reducing these dynamic effects, by changing the design of the suspension components and with the help of additional devices.
A generalized model of overhead monorail can be represented as a set of interconnected systems (subsystems) consisting of many parts, which in certain tasks can be considered as independent objects of study.
At vertical oscillations of the monorail and under the effect of harmonic disturbing force caused by the movement of the suspension, the system of the monorail suspension can be represented in the form of a dual-mass system shown in Figure 2.
Figure 2.
Calculation scheme of absorption of shock applied to the suspension.
The notations of the calculation scheme: m1—mass of suspension; m2—mass of a part of the monorail track and rolling stock affecting the suspension; C1—stiffness factor of the monorail suspension; C2—stiffness factor of a part of the monorail track and rolling stock affecting the suspension; Pv sinωt—vertical disturbing force caused by the movement of the rolling stock carriages along the monorail; ω—frequency of impact on rolling stock of forced force Pv, t—the time of movement of rolling stock on monorail.
The differential equations of forced vertical oscillations of the monorail suspension are as follows:
where z1, z2—vertical shifts of gravity centers of masses m1 and m2, respectively.
The solution to the set of equations is in the following form:
where A1, A2—amplitudes of forced oscillations of the gravity centers of the respective masses m1 and m2.
Therefore, set (1) can be formulated as follows:
The solution to the set of equations is the following:
Taking into consideration that the amplitude of disturbing forces is proportional to squared frequency, we consider
where mere—static moment of the reduced unbalanced mass me that is equivalent in action with the radius of reduction re.
Then, after the transformations, we obtain the following solution:
where ; ; ; .
The ratio of the decrease in the vertical amplitudes of oscillations affecting the mine working support is characterized by the damping coefficient which is equal to Wkv = A0/A1, where A0—oscillation amplitude of the suspension which has no elastic elements, when Ce = ∞.
The amplitude A0 is as follows:
Therefore,
These are the input parameters by which |Wkv| > 1 must be selected in Equation (8) in order to decrease the oscillation amplitude of the suspension. The increase in the damping coefficient module Wkv causes the decrease in the oscillation amplitude of the point where the suspension is fastened to the mine working support and thus results in the decrease in dynamic loads on the support.
3. Results
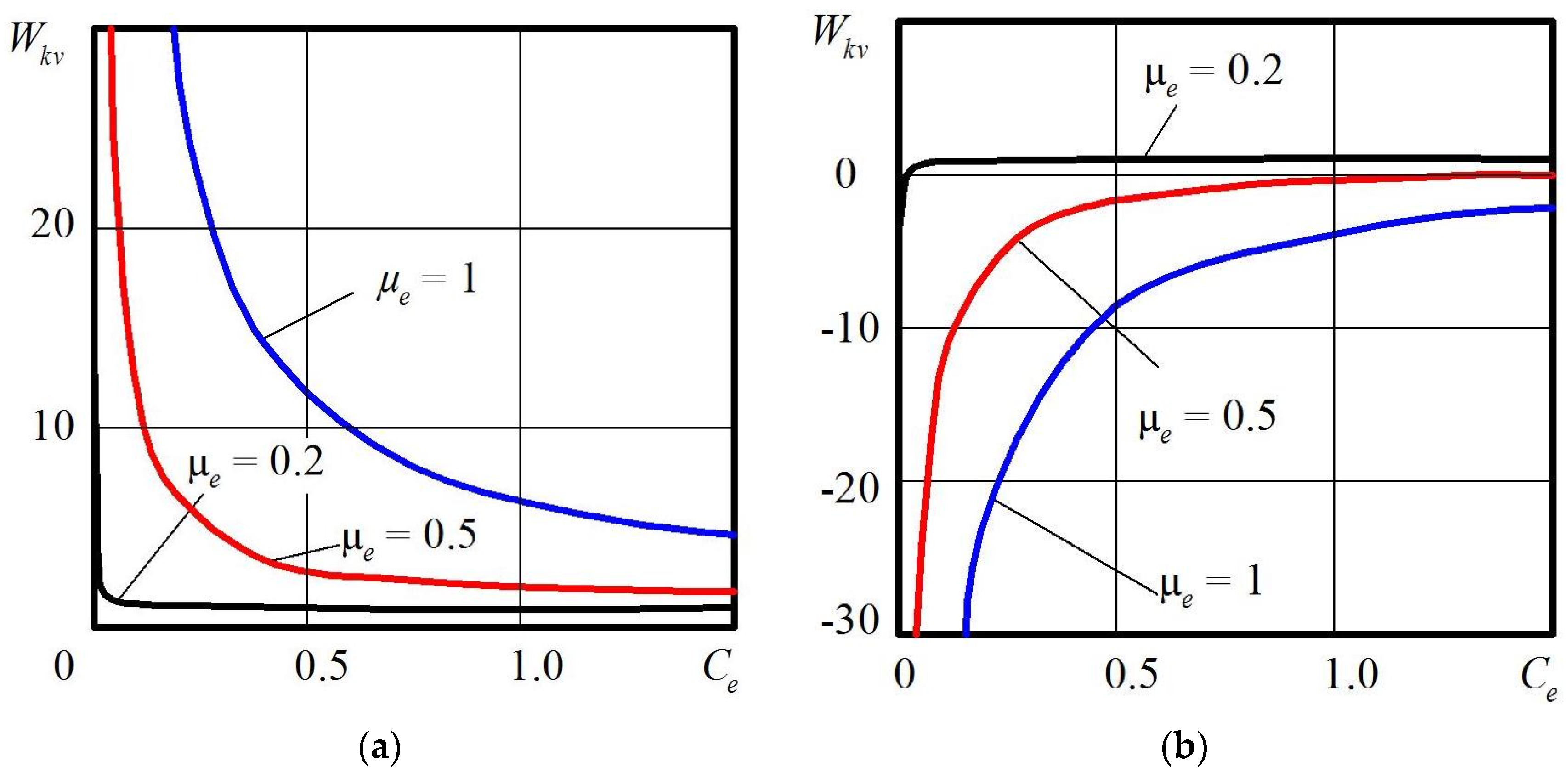
Using the dependencies provided in the previous section, graphical dependencies are built Wkv = Wkv f(Ce) for different combinations of dynamic parameters of the monorail. The dependence of the damping coefficient Wkv on the relation of the stiffness factors Ce = C2/C1 is shown in Figure 3. As it is shown in this figure by ξe < 1, with the increase in Ce, the damp coefficient multiply decreases and tends to take the value equal to 1, and by ξe > 1, it increases, taking the values less than 1 almost within the full range.
Figure 3.
Function graphs Wkv = Wkv f(Ce) by: (a)—ξe = 0.9; (b)—ξe = 1.1.
In the first instance (Figure 3a), when ξe < 1 and Ce = 1, with the increase in the relation µe = m2/(m1 + m2) from 0.2 to 1.0, the value Wkv increases by a factor of 6, and in the second instance (Figure 3b), when ξe > 1, it decreases by a factor of 5. At that, the damping coefficient |Wkv| > 4 allows reducing the oscillation amplitude of the point where the suspension is fastened to the mine working support in the same proportion.
At the same value of Ce, the damping coefficient in the first instance is always greater than in the second one. At that, in the second instance (Figure 3b), the decrease in the amplitude does not occur in the full range of Ce variation, but only for the values:
As it follows from this figure, a low efficiency of absorption is observed by µe ≤ 0.2. Such value µe occurs when the mass of the monorail suspension exceeds the mass of the rolling stock, which is quite uncommon in practice.
The range of µe variation from 0.50 to 0.99 is typical of the existing mine suspended monorail tracks. The higher values of this coefficient refer to the loaded stock and the lowest ones refer to the empty stock.
Let us consider the influence of µe and ξe on the damping coefficient Wkv. The dependences Wkv = f(µe) and Wkv = f(ξe), obtained by Ce = 0.5, are shown in Figure 4.
Figure 4.
Function graphs: (a,b)—Wkv = (µe); (c,d)—Wkv = (ξe).
The indicated value of Ce is characteristic of the relation when the stiffness factor of spring washers (elastic elements) is two times smaller than the stiffness factor of the monorail suspension, which can be implemented quite easily by means of the devices mentioned above in this chapter.
The graph dependences of the functions shown in Figure 4a,c refer to the cases when natural frequency ke is lower than the disturbing force frequency ω; therefore, ξe < 1, and in Figure 4c,d, ke > ω and ξe > 1.
If natural frequency ke is lower than the disturbing force frequency ω, then, with the increase of µe from 0 to 1 (Figure 4a), the damping coefficient at first decreases and then, after it reaches its lowest value, increases. At that, the damping coefficient reaches its lowest values by µe < 0.5. That is why, in this case, the efficiency of absorption is ensured when µe ≥ 0.5.
If ke > ω, then with the increase of µe from 0 to 1 (Figure 4b) the damping coefficient decreases within the full range. In this case, the efficiency of absorption is different for different values of ξe. By ξe ≤ 1.2, the module of damping coefficient reaches 3.5 and more, and by ξe ≥ 2.5 it does not exceed 1 and the coefficient of µe does not essentially affect the absorption efficiency.
With the increase of ξe from 0 to 1 (Figure 4c), the damping coefficient increases with different intensity. Within the range of variation of ξe from 0.3 to 0.8, its influence on the absorption efficiency is insignificant. With the further increase, when ξe > 1 (Figure 4d), the module of damping coefficient decreases over a wide range, and by ξe ≥ 1.2, it tends to be the value of less than 1.
To determine the suspension parameters of a monorail track, the following methods can be recommended.
- (1).
- According to the design of the suspended monorail road, we select the masses m1, and m2 calculate the coefficient µe.
- (2).
- We calculate the vibration amplitude of the monorail suspension without additional elastic elements.
- (3).
- We determine the natural frequency of oscillation of the suspension ke.
- (4).
- We determine the ratio ξe between the natural vibration frequency of the suspension ke and the frequency of the perturbing influences ω acting on the suspension.
- (5).
- We assign the allowable oscillation amplitude of the monorail track, which should not be more than 15 mm.
- (6).
- Taking into account clauses 1 and 5, we set the depreciation factor.
- (7).
- If ξe < 1 and kv > 1, then, based on Expression (7), we calculate the coefficient using the formula
If ξe > 1, then
- (8).
- Based on the obtained value Ce and the suspension stiffness factor C1 determined by the design of the monorail suspension, we determine the stiffness factor C2 related to the elastic elements (poppet washers) as C2 = C1 × Ce.
- (9).
- According to the obtained value C2 and the maximum allowable load on the monorail track, we select poppet washers, set their parameters, specify the stiffness coefficient and the total compression stroke. We select the material of the shock-absorbing insert and determine its dimensions.
- (10).
- For the values of the stiffness coefficient and the total compression stroke of the disc springs, taken into account in Clause 9, we repeat the calculation and specify Ce, A1, A2 and Wkv.
It should be noted that during the movement of heterogeneous rolling stock along a monorail track, the frequency of disturbing forces can vary within certain limits from ω1 to ω2, and therefore the method proposed above, which considers the action of disturbing forces of constant frequency ω, has limitations.
Let us set these restrictions and consider the general case when ω1 ≤ ω ≤ ω2. In this case, the natural frequencies and in relation to the natural frequency of the suspension without poppet washers k0 should be equal to k2 < k0 < k1, and the calculated amplitude of the suspension oscillations A1ω should not exceed the permissible oscillation amplitudes A1d.
If ω1 ≤ k1 ≤ ω2 and ω1 ≤ k2 ≤ ω2, then the use of poppet washers is inappropriate, since resonance is possible if the natural frequencies k1 or k2 with the frequencies ω1 of ω2 disturb or coincide. Effective damping requires k1 > ω2 or k2 < ω1.
Imagine the natural frequency
Then, . Considering that , we obtain
Based on (6), (12) and transformations, we obtain
where ξ2 = k2/ωi; ξv = ke/ωi; ξω = ω/ωi; ωi—effective disturbance frequency from the range from ω1 to ω2.
Similarly to (7), in the absence of poppet washers, the suspension oscillation amplitude is
4. Discussion
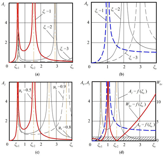
Let us study the obtained dependences of the oscillation amplitudes A1 and A0 on the parameters of the suspension. In Figure 5a,b, graphs of the absolute values of the functions A1 = f(ξω) and A0 = f(ξω) are plotted for the following values of the coefficients: µe = 0.5; ξ2 = 0.6.
Figure 5.
Function graphs: (a)—A1 = f(ξω) for different ξv; (b)—A0 = f(ξω) for different ξv; (c)—A1 = f(ξω) for different µe; (d)—Wkv = f(ξω).
From Figure 5a, it can be seen that the curves A1 = f(ξω) have two discontinuities and three branches. With an increase from ξω to ξω1, there is a significant increase in the amplitude A1, which, approaching the first discontinuity point of the function in the asymptote ξω1, tends to take on an infinitely large value. With a further increase from ξω to the asymptote ξω2, there is a decrease of A1 to a minimum, and then a repeated increase. At the same time, A1 again strives to take an infinitely large value, approaching the asymptote at the second discontinuity point of the function. After the second break of the function, the amplitudes decrease and tend to take on a zero value.
A similar change in amplitude A1 occurs when the coefficient takes a value µe from 0.5 to 0.9 (Figure 5c). If µe ≤ 0.8, then at ξω ≥ 3.5 the amplitudes A1 are practically equal to zero. Calculations show that if µe > 0.8, then the minimum amplitude values A1 are achieved at ξω ≥ 6.
The nature of the change in amplitudes A0 from the ratio of frequencies ξω is shown in Figure 5b. It follows from this figure that the curve A0 = f(ξω) has one discontinuity and two branches. If ξv = 1, then an increase ξω from 0 to 1 leads to a sharp increase in the amplitude A0, and when ξω = 1, then A0 tends to take on an infinitely large value. With a further increase ξω, this amplitude decreases, approaching unity. For other values ξv, there is a similar increase and decrease in amplitudes A0, but they tend to reach their maximum when ξv = ξω.
Figure 5d shows the dependence of the absolute values of the depreciation coefficient Wkv on the frequency ratio ξω. As mentioned earlier, the coefficient Wkv is the ratio of the amplitudes A0 and A1. It can be seen in this figure that effective depreciation is possible when Wkv > 1; therefore, it is advisable to choose the values of the function Wkv = f(ξω) from the unshaded zone.
It follows from the above that in order to decrease the oscillation amplitude of the suspension, it is reasonable to fix the monorail track by means of elastic and damping device (Figure 6).
Figure 6.
Suspension for monorail track: (a) general view; (b) schematic diagram, where: 1—case; 2—elastic damping device; 3—fastening bolt; 4—damping insert; 5—taper washer; 6—nut.
The conducted studies allowed us to develop the design of the suspension of the monorail track (patent RU2611660C1), the parameters of which were determined according to the method proposed above. The I-155 monorail manufactured by the company SMT SCHARF AG (Hamm, Germany) was adopted as the basic option.
The elastic damping device consists of spring washers and plain washers located in the bushing and fixed by a lock ring. The bushings are connected to the bottom of the suspension, which is attached to the beams of the arch support by means of fastening bolts or clamps. At that, between the case and support profile, there are a damping insert made of elastic material and a metal compression limiter with a height equal to half the thickness of the insert in the undistorted state.
The stiffness factor of spring washers is determined by the following dependence:
where En—elasticity modulus of the elastic material of which the insert is made; F—cross-section area of the insert; δ—compression stroke of spring washers; ts—thickness of the insert, the value of which is ts ≥ 2δ; h—height of compression limiter.
The round-link chain which supports the monorail track is connected to the eyelets of the suspension by means of a split pin. The vertical oscillations of the monorail which occur during the operation of the mine suspended monorail track are taken up by the spring washers and damping inserts which ensure the energy absorbing of shocks and periodic oscillations.
Consider the movement of rolling stock on a monorail track with joints and equipped with the proposed device. We take into account the viscous resistance of the device and introduce the following notation: b1—viscous drag coefficient of a monorail suspension; b2—coefficient of viscous resistance of the rolling stock suspension. In this case, the emerging perturbations affecting the considered mass m2 can be presented as a single irregularity
where s, ls are, respectively, the height and length of the unevenness formed when the undercarriage moves along the junction of the monorail, x = Vn t is the distance traveled function; Vn is the rolling stock speed. Rolling stock speed Vn was adopted permanently.
Under the influence of these perturbations on mass m2, due to deformation of suspension, oscillatory processes and dynamic forces arise, which are transmitted to suspension of monorail and support of excavation. These oscillations are described by the following equations:
Graphics of change in dependencies z1 and z2 in time obtained by solving Equation (17) using Runge–Kutta method are shown in Figure 7. The following values of the input parameters are accepted: m1 = 0.2 t; m2 = 4 t; s = 0.005 m, ls = 0.3 m, Vn = 3 m/s.
Figure 7.
Function graphs: 1—z1 = f(t), 2—z2 = f(t), 3—F1= f(t), 4—F2 = f(t); (a,c)—C1 = C2 = 7000 kN/M, b1 = b2 = 15 kN·s/m; (b,d)—C1 = 2600 kN/m, C2 = 7000 kN/m, b1 = 50 kN·s/m, b2 = 15 kN·s/m.
This figure also shows the dependencies of the forces in suspension of monorail track in time—F1, and in suspension of rolling stock—F2. These efforts were determined according to the formulas:
Figure 7a shows that for different values of suspension parameters, oscillations occur with different amplitudes, frequencies, and damping rates. Moreover, if C1 = C2 = 7000 kN/m and b1 = b2 = 15 kN·s/m, then, in absolute terms, z1 reaches up to 6.1 mm, and z2 reaches up to 12.0 mm. As follows from Figure 7c, the greatest force in suspension F1 = 80.2 kN, and between rolling stock and monorail it is F2 = 77.3 kN.
As shown in Figure 7b,d, a significant reduction in suspension forces can be obtained by C1 = 2600 kN/m and b1 = 50 kN·s/m, leaving values of other parameters the same. In these figures, it can be seen that z1 = 11 mm, z2 = 15 mm, F1= 59.6 kN and F2 = 57.0 kN. If we compare the highest loads F1 arising in the first and last case, the difference is more than 1.35-fold. Therefore, by changing the values C1, C2 and b1, b2, it is possible to control dynamic loads acting on the suspension of the monorail track.
As analysis of calculations for the I-155 monorail shows, the use of the suspension makes it possible to reduce the amplitude of the maximum suspension oscillations by 2–3 times and reduce the dynamic loads on the rolling stock and support by 30–40%. At the same time, the proposed suspension design can be used to create new mine suspended monorail roads, as well as to modernize existing ones.
It follows that in order to reduce the amplitude of considered vertical oscillations, it is necessary to coordinate the rigidity of the suspension of the rolling stock and the span of the monorail track. The required rigidity of the monorail track can be achieved by embedding elastic supports in the suspension system of the monorail track.
The elastic support makes it possible to reduce the direct dynamic load, provide a more uniform transfer of the load to the two-span (three-bearing) suspension of the monorail section, and reduce the movement of the top support and the settlement of the roof of the mine working. This results in a reduction in operating costs and longer service life of the monorail, as well as an increase in the stability of the mine working in which the suspended monorail is operated.
5. Conclusions
The developed mathematical model of vertical oscillations of the monorail track allows setting the interconnection between the rolling stock parameters and dynamic loads in the suspension. As a result, the equations for oscillation amplitudes of the monorail elements were obtained and damping coefficient of the suspension was defined.
Analysis of the obtained results shows that in order to reduce the vibration amplitudes of a suspended monorail mine, it is appropriate to use suspension systems for rolling stock and a monorail track, consisting of elastic elements. On the rolling stock, elastic elements can be installed between the undercarriage and the body, in the undercarriage—between its frame and wheels, as well as between the wheel axle and the wheel rim. The elastic elements of the monorail track can be located in the places where the suspension is fixed to the monorail beam or to the upper supports of the mine working.
The change in the ratio between the natural frequencies of components of the mine suspended monorail and the frequencies of the disturbing forces is appropriate to produce by varying the rigidity of the elements of the monorail. The parameters required for this can be determined using the proposed method, and required rigidity of the monorail track is provided by embedding elastic supports into its suspension system.
The obtained results allow setting reasonable parameters of the monorail fastening of the mine suspended monorail tracks. The proposed monorail suspension makes it possible to reduce the amplitude of the maximum suspension oscillations by 2–3-fold, and the dynamic loads formed during the movement of the rolling stock by 30–40%. It can also be used to modernize existing mine suspended monorails.
Author Contributions
Conceptualization and methodology, V.O.G. and N.V.M.; validation and formal analysis, R.V.K., V.A.K. and V.V.K.; investigation, V.A.K. and V.V.K.; resources, R.V.K.; data curation, L.V.I. and L.N.K.; writing—original draft preparation, V.O.G. and N.V.M.; writing—review and editing, R.V.K., V.A.K. and V.V.K.; visualization, L.V.I. and L.N.K.; supervision, V.O.G.; project administration, N.V.M. All authors have read and agreed to the published version of the manuscript.
Funding
This research received no external funding.
Institutional Review Board Statement
Not applicable.
Informed Consent Statement
Not applicable.
Data Availability Statement
The data presented in this study are available from the corresponding authors upon reasonable request.
Conflicts of Interest
The authors declare no conflict of interest.
References
- Bao, Y.; Yue, X.; Li, Y. A dynamic analysis scheme for the suspended monorail vehicle-curved bridge coupling system. Adv. Struct. Eng. 2020, 23, 1728–1738. [Google Scholar] [CrossRef]
- Yue, X.; Tang, P.; Zhang, Y.; Li, Y. Random dynamic analysis of vertical train–bridge systems under small probability by surrogate model and subset simulation with splitting. Railw. Eng. Sci. 2020, 28, 305–315. [Google Scholar] [CrossRef]
- Song, Y.; Wang, Z.; Liu, Z.; Wang, R. A spatial coupling model to study dynamic performance of pantograph-catenary with vehicle-track excitation. Mech. Syst. Signal Process. 2021, 151, 107336. [Google Scholar] [CrossRef]
- Lee, C.H.; Kim, C.W.; Kawatani, M.; Nishimura, N.; Kamizono, T. Dynamic response analysis of monorail bridges under moving trains and riding comfort of trains. Eng. Struct. 2005, 27, 1999–2013. [Google Scholar] [CrossRef]
- Pieczora, E.; Tokarczyk, J. Development of mine underground transportation with use of suspended monorails. Min. Inform. Autom. Electr. Eng. 2017, 4, 96. [Google Scholar] [CrossRef]
- Tokarczyk, J.; Dudek, M. Methods for Computer Aiding the Configuration and Assessment of Auxiliary Mine Transportation Means. Manag. Syst. Prod. Eng. 2020, 28, 268–275. [Google Scholar] [CrossRef]
- Szewerda, K.; Tokarczyk, J.; Wieczorek, A. Impact of Increased Travel Speed of a Transportation Set on the Dynamic Parameters of a Mine Suspended Monorail. Energies 2021, 14, 1528. [Google Scholar] [CrossRef]
- Szewerda, K.; Tokarczyk, J.; Bozek, P.; Michalak, D.; Drwiega, A. Vibrations diagnostics and analysis in operator’s and passenger cabins of a suspended monorail. Acta Mont. Slovaca 2020, 2, 150–158. [Google Scholar]
- Herbuś, K.; Szewerda, K.; Świder, J. Virtual prototyping of the suspended monorail in the aspect of increasing the permissible travel speed in hard coal mines. Eksploat. INiezawodn.—Maint. Reliab. 2020, 22, 610–619. [Google Scholar] [CrossRef]
- Pytlik, A. Tests of steel arch and rock bolt support resistance to static and dynamic loading induced by suspended monorail transportation. Stud. Geotech. Et Mech. 2019, 41, 81–92. [Google Scholar] [CrossRef]
- Ryabko, K.A.; Gutarevich, V.O. Substantiation of performance indicators of mine monorail locomotives. Min. Sci. Technol. 2021, 6, 136–143. [Google Scholar] [CrossRef]
- Gutarevich, V.O.; Kondratenko, M.P. Dynamics of the traction device of a mine suspended monorail. Sustain. Dev. Mt. Territ. 2020, 3, 410–417. [Google Scholar] [CrossRef]
- Budniok, T.; Konsek, R.; Krakowczyk, B.; Tor, A.; Zasadni, W.; Żyrek, L. An innovative CA-190 monorail battery locomotive powered by a VOLTER lithium battery. Min. Inform. Autom. Electr. Eng. 2021, 2, 69–74. [Google Scholar] [CrossRef]
- Szlązak, N.; Korzec, M.; Cheng, J. Using Battery-Powered Suspended Monorails in Underground Hard Coal Mines to Improve Working Conditions in the Roadway. Energies 2022, 15, 7527. [Google Scholar] [CrossRef]
- Bao, Y.; Zhai, W.; Cai, C.; Zhu, S.; Li, Y. Experimental study on the influence of rolling angle on aerodynamic characteristics of suspended monorail trains. J. Wind. Eng. Ind. Aerodyn. 2023, 232, 105289. [Google Scholar] [CrossRef]
- Zhan, S.; Chen, B.; Zou, J. Calculation and Analysis of Gauges for Suspension-type Monorail Vehicle. J. Phys. 2021, 1910, 012043. [Google Scholar] [CrossRef]
- Xu, X.; Lu, H.; Hua, X.; Chen, Q. An Investigation on Dynamic Characteristics of the Straddle-Type Monorail System under Spatial Alignment. Machines 2022, 10, 724. [Google Scholar] [CrossRef]
- He, Q.; Cai, C.; Zhu, S.; Wang, K.; Zhai, W. An improved dynamic model of suspended monorail train bridge system considering a tire model with patch contact. Mech. Syst. Signal Process. 2020, 144, 106865. [Google Scholar] [CrossRef]
- Jiang, Y.; Wu, P.; Zeng, J. Researches on the resonance of a new type of suspended monorail vehicle-bridge coupling system based on modal analysis and rigid-flexible coupling dynamics. Veh. Syst. Dyn. 2019, 59, 135–154. [Google Scholar] [CrossRef]
- Shen, W.; Dai, H.; Zeng, J.; Wei, L.; Luo, R. Calculation and testing approaches of the kinematic envelope for suspended monorail vehicles. Proc. Inst. Mech. Eng. Part F J. Rail Rapid Transit 2023. [Google Scholar] [CrossRef]
- Gao, Q.; Cui, K.; Li, Z.; Li, Y. Numerical Investigation of the Dynamic Performance and Riding Comfort of a Straddle-Type Monorail Subjected to Moving Trains. Appl. Sci. 2020, 10, 5258. [Google Scholar] [CrossRef]
- Guo, F.; Ji, Y.; Liao, Q.; Liu, B.; Li, C.; Wei, S.; Xiang, P. The Limit of the Lateral Fundamental Frequency and Comfort Analysis of a Straddle-Type Monorail Tour Transit System. Appl. Sci. 2022, 12, 10434. [Google Scholar] [CrossRef]
- Xin, L.; Du, Z.; Zhou, J.; Yang, Z.; Xu, Z. Study on Dynamic Response of Straddle-Type Monorail Vehicle with Single-Axle Bogie Under Curve Condition. Mechanics 2021, 27, 122–129. [Google Scholar] [CrossRef]
- Choi, C. Modeling and analysis technique of the hoisting system in the monorail crane. Fusion Eng. Des. 2022, 182, 113240. [Google Scholar] [CrossRef]
Disclaimer/Publisher’s Note: The statements, opinions and data contained in all publications are solely those of the individual author(s) and contributor(s) and not of MDPI and/or the editor(s). MDPI and/or the editor(s) disclaim responsibility for any injury to people or property resulting from any ideas, methods, instructions or products referred to in the content. |
© 2023 by the authors. Licensee MDPI, Basel, Switzerland. This article is an open access article distributed under the terms and conditions of the Creative Commons Attribution (CC BY) license (https://creativecommons.org/licenses/by/4.0/).






