Development of Infrared Reflective Textiles and Simulation of Their Effect in Cold-Protection Garments
Abstract
1. Introduction
2. Experimental of the Metallization of Textiles
- Sensitization in (8 g/L, the value is adjusted to 1 by (37 wt%) drop by drop into the solution): the textile sample is dipped in the solution for 10 minutes at room temperature (RT) one after another,
- Rinsing in deionized water two times,
- Activation in ( g/L): (20 g/L) (the value is adjusted to 2 by by adding (37 wt%) drop by drop into the solution): the sensitized textile is dipped into the activation solution for 10 min at RT,
- Rinsing thoroughly with deionized water,
- The electroless plating bath consists of 10 g/L of , 50 g/L of 4 , 10 g/L of , prior to the plating, 15 mL/L of is added as a reducing agent,
- The activated textile is dipped into 100 mL of the prepared plating bath, and the process takes place at RT for 30 min. During the process, the textile is flipped several times so that the evolved gas can be released and a homogeneous coating can be realized.
- Sensitization in (8 g/L, the value is adjusted to 1 by (37 wt%) drop by drop into the solution). The textile sample is dipped in the solution for 10 min at RT one after another,
- Rinsing in deionized water two times,
- Activation in (0.2 g/L): (20 g/L) ( the value is adjusted to 2 by ), dipped for 10 min ,
- Rinsing thoroughly with deionized water,
- The electroless nickel plating bath containing 8 g/L of , 5 g/L of , 18 g/L of , 15 g/L of , The of the solution is adjusted to 10 by adding (10 wt%) prior to the electroless Ni plating.
- For each sample, 100 mL of the solution is used and the sample is plated separately. The process takes place at RT for 30 min. During the process, the textile is flipped several times so that the evolved gas can be released, and a homogeneous coating can be realized.
3. Results of the Metallization of Textiles
4. Mathematical Model
4.1. Heat and Moisture Transport in Multi-Layer Garment
4.2. Consideration of the Infrared Reflective Lining
4.3. Numerical Implementation
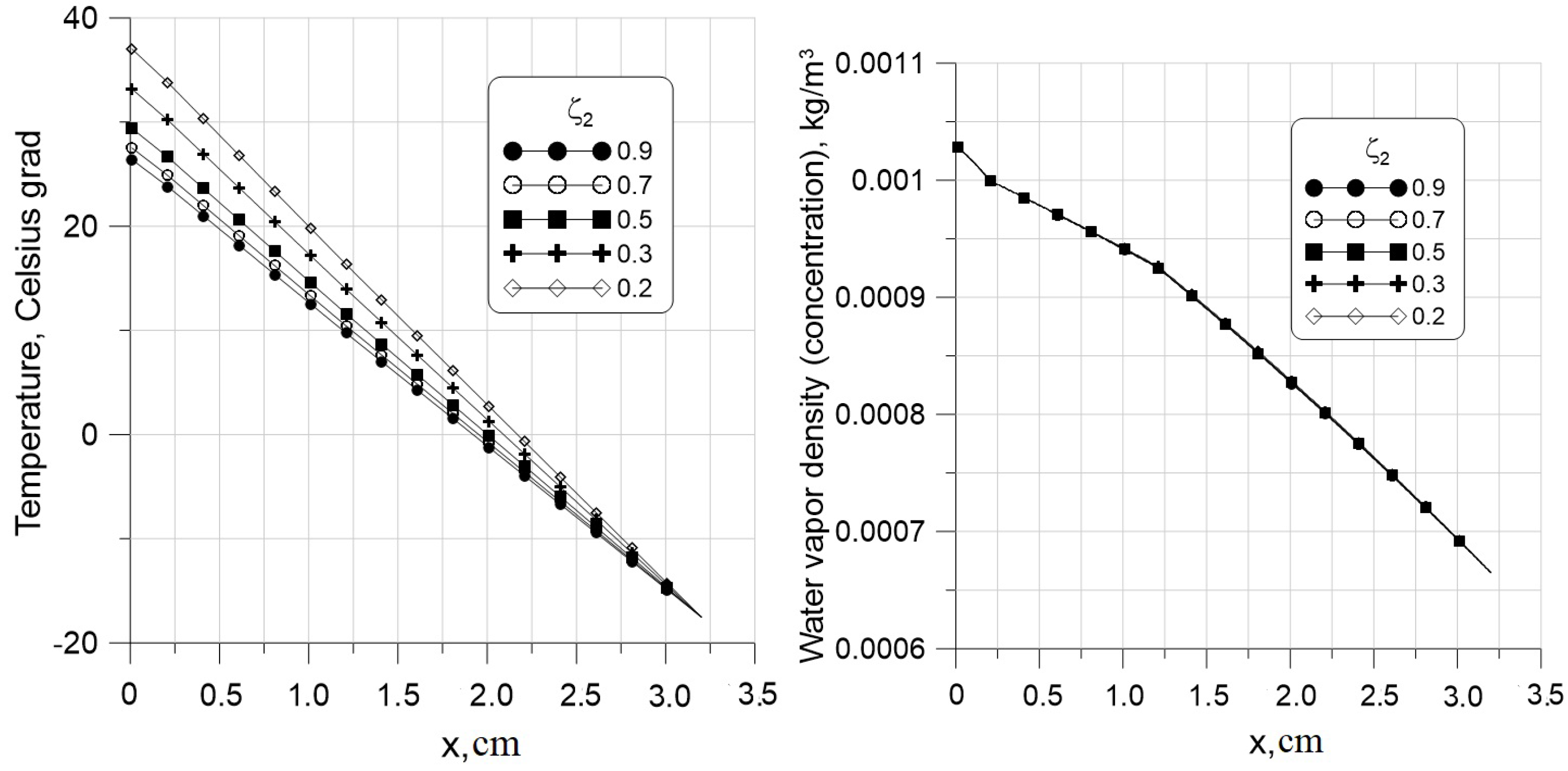
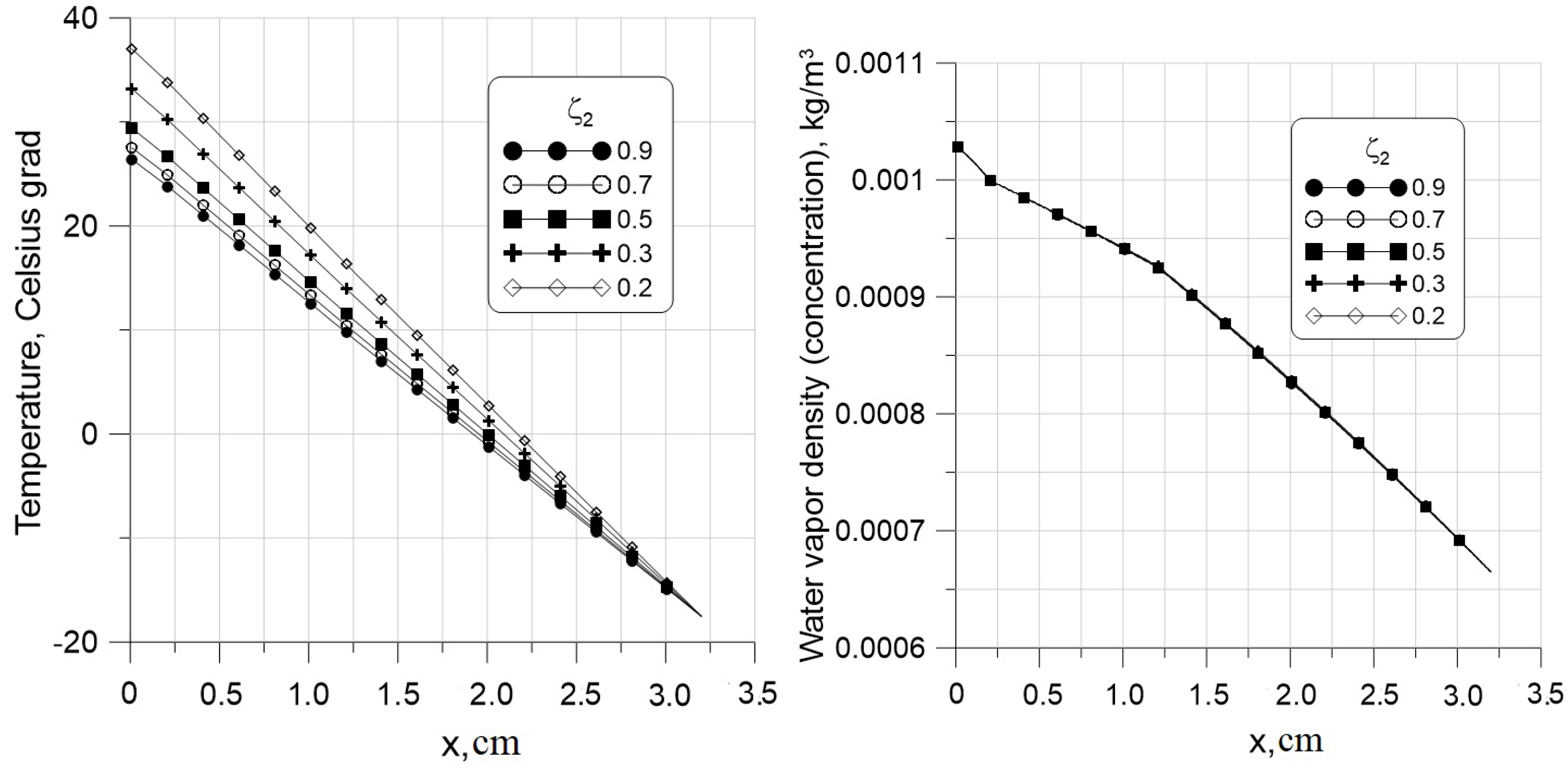
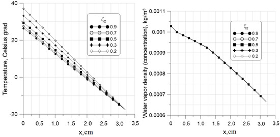
5. Validation


| Source | [20] | [21] |
| Material | wool | wool |
| [J/(kg K)] | 1360 | 1360 |
| [] | 1300 | 1300 |
| [W/(m K)] | 0.2 | 0.2 |
| [-] | 0.069 | 0.381 |
| 0.15 | 0.15 | |
| [-] | 1.18 | 2.35 |
| [] | 20 | 80 |
| [m/s] | 0.01 | 0.021 |
| [] | ||
| Thickness [m] | ||
| Initial condition | ||
| Temperature [C] | 33.85 | |
| Humidity | ||
| [] | from computations | |
| Environment | ||
| [C] | 35 | 20 |
| [-] | ||
| Cell number | 300 | 300 |
| [s] | ||
| Figures | Figure 6 | Figure 7 |
6. Results of Numerical Simulations
6.1. Improvement of the Protecting Garment Insulation Using the Infrared Reflective Textile
6.2. Improvement of the Protecting Garment Insulation Using the Aerogel Materials
6.3. ArTiShirt Design
7. Conclusions
- The use of aerogel has been proven to be a possible way to improve the protective properties of clothing. However, it has the serious disadvantage of increasing the weight of the garment by displacing light air with the heavier aerogel material.
- The use of the infrared reflective textile is the most effective of the two methods studied. Due to the reflection of the radiant heat flow coming from the human body, the skin temperature rises and the thermal insulation of clothing is significantly improved. It allows a substantial reduction of the thickness and weight of the garment, keeping the human skin temperature constant.
Author Contributions
Funding
Institutional Review Board Statement
Informed Consent Statement
Data Availability Statement
Acknowledgments
Conflicts of Interest
Nomenclature
| specific heat capacity [J/(K kg)] | |
| D | diffusion coefficient [m2/s] |
| M | molar mass [kg/mol] |
| R | universal gas constant |
| T | temperature [K] |
| moisture exchange coefficient [W/(m2 Pa)] | |
| heat exchange coefficient [W/(m2 K)] | |
| k | thermal conductivity [Wm/K] |
| m | mass [kg] |
| desorption rate [kg/(m3s)] | |
| p | pressure [N/m] |
| t | time [s] |
| x | normal coordinate [m] |
| Greek symbols | |
| specific evaporation heat [m2/s2] | |
| specific desorption heat [m2/s2] | |
| time step [s] | |
| ε | volume fraction [-] |
| ρ | density [kgm] |
| τ | tortuosity [-] |
| φ | relative humidity [-] |
| ζ | emissivity coefficient [-] |
| Subscripts | |
| a | air |
| amb | ambient |
| bw | bounded water |
| ds | dry solid |
| ef | effective |
| eq | equilibrium |
| f | fiber |
| g | gas |
| in | initial |
| sat | saturation |
| sorp | sorption |
| v | vapour |
References
- Dolez, P.I.; Marsha, S.; McQueen, R.H. Fibers and Textiles for Personal Protective Equipment: Review of Recent Progress and Perspectives on Future Developments. Textiles 2022, 2, 349–381. [Google Scholar] [CrossRef]
- Schacher, L.; Adolphe, D.C.; Drean, J. Comparison between thermal insulation and thermal properties of classical and microfibres polyester fabrics, Int. J. Cloth. Sci. Technol. 2000, 12, 84–95. [Google Scholar] [CrossRef]
- Gao, J.; Yu, W.; Pan, N. Structures and Properties of the Goose Down as a Material for Thermal Insulation. Tex. Res. J. 2007, 77, 617–626. [Google Scholar]
- Cherunova, I.; Stenkina, M.; Kornev, N. Verification of thermal models in the design of personal protective equipment against cold. IOP Conf. Ser. Mater. Sci. Eng. 2021, 1029, 012035. [Google Scholar] [CrossRef]
- Yan, Q.; Xin, B.; Liu, Y. Development and Application of Infrared Radiation Materials in the Field of Textile and Clothing. J. Phys. Conf. Ser. 2021, 1790, 012054. [Google Scholar] [CrossRef]
- Cherunova, I.; Dhone, M.; Kornev, N. Coupled thermo-aerodynamical problems in design of protection cloth. In COUPLED VI: Proceedings of the VI International Conference on Computational Methods for Coupled Problems in Science and Engineering, Venice, Italy, 18–20 May 2015; Schrefler, B., Oñate, E., Papadrakakis, M., Eds.; International Center for Numerical Methods in Engineering (CIMNE): Barcelona, Spain, 2015; pp. 1303–1311. [Google Scholar]
- Militky, J.; Kremenakova, D.; Venkataraman, M.; Vecernik, J.; Martinkova, L.; Marek, J. Sandwich Structures Reflecting Thermal Radiation Produced by the Human Body. Polymers 2021, 13, 3309. [Google Scholar] [CrossRef]
- Breckenridge, J.R. Insulating Effectiveness of Metallized Reflective Layers in Cold Weather Clothing Systems; Technical Report; US Army Medical Research and Development Command: Natick, MA, USA, 1978; Available online: https://www.readcube.com/articles/10.21236%2Fada070463 (accessed on 21 March 2023).
- Arrieta, G.; Echaniz, T.; Olmos, J.M.; Fuente, R.; Urcelay-Olabarria, I.; Igartua, J.M.; Tello, M.J.; Lopeza, G.A. Evolution of the infrared emissivity of Ni during thermal oxidation until oxide layer opacity. Infrared Phys. Technol. 2019, 97, 270–276. [Google Scholar] [CrossRef]
- Khalili, A.; Mottaghitalab, A.; Hasanzadeh, M.; Mottaghitalab, V. Rejection of far infrared radiation from the human body using Cu-Ni-P-Ni nanocomposite electroless plated PET fabric. Int. J. Ind. Chem. 2017, 8, 109–120. [Google Scholar] [CrossRef]
- Jia, G.; Plentz, J.; Dellith, A.; Schmidt, C.; Dellith, J.; Schmidl, G.; Andrä, G. Biomimic vein-like transparent conducting electrodes with low sheet resistance and metal consumption. Nano-Micro Lett. 2020, 12, 19. [Google Scholar] [CrossRef]
- Schmidl, G.; Jia, G.; Gawlik, A.; Andrä, G.; Richter, K.; Plentz, J. Aluminum-doped zinc oxide-coated 3D spacer fabrics with electroless plated copper contacts for textile thermoelectric generators. Mater. Today Energy 2021, 21, 100811. [Google Scholar] [CrossRef]
- Schmidl, G.; Gawlik, A.; Jia, G.; Andrä, G.; Richter, K.; Plentz, J. 3d spacer fabrics for thermoelectric textile cooling and energy generation based on aluminum doped zinc oxide. Smart Mater. Struct. 2020, 29, 125003. [Google Scholar] [CrossRef]
- Schmidl, G.; Jia, G.; Gawlik, A.; Lorentz, P.; Ziegler, G.; Dellith, M.; Diegel, M.; Plentz, J. Copper iodide on spacer fabrics as textile thermoelectric device for energy generation. Materials 2023, 16, 13. [Google Scholar] [CrossRef]
- Geng, Y.; Lu, C.; Liang, M.; Zhang, W. Characterization and Properties of Electroless Nickel Plated Poly (ethylene terephthalate) Nonwoven Fabric Enhanced by Dielectric Barrier Discharge Plasma Pretreatment. Plasma Sci. Technol. 2010, 12, 6. [Google Scholar] [CrossRef]
- Gibson, P. Modeling Heat and Mass Transfer from Fabric-Covered Cylinders. J. Eng. Fibers Fabr. 2009, 4, 1–8. [Google Scholar] [CrossRef]
- Chitrphiromsri, P.; Kuznetsov, A.V.; Song, G.; Barker, R.L. Investigation of Feasibility of Developing Intelligent Firefighter-Protective Garments Based on the Utilization of a Water-Injection System. Numer. Heat Transf. Part Appl. Int. J. Comput. Methodol. 2006, 49, 27–450. [Google Scholar] [CrossRef]
- Chorny, A.; Cherunova, I.; Kornev, N. Thermophysical interaction in the shoe-foot system during sport activity. Int. J. Heat Mass Transf. 2021, 176, 121386. [Google Scholar] [CrossRef]
- Gibson, P. Multiphase flow through porous media. In Thermal and Moisture Transport in Fibrous Materials; Pan, N., Gibson, P., Eds.; CRC Press: Cambridge, UK, 2008; pp. 308–357. [Google Scholar]
- Neves, S.; Campos, J.; Mayor, T.S. On the determination of parameters required for numerical studies of heat and mass transfer through textiles. Methodologies and experimental procedures. Int. J. Heat Mass Transf. 2015, 81, 272–282. [Google Scholar] [CrossRef]
- Gibson, P.; Charmchi, M. The Use of Volume-Averaging Techniques to Predict Temperature Transients Due to Water Vapor Sorption in Hygroscopic Porous Polymer Materials. J. Appl. Polym. Sci. 1997, 64, 493–505. [Google Scholar] [CrossRef]
- Arpaci, V.S.; Kao, S.H.; Selamet, A. Introduction to Heat Transfer; Prentice-Hall: Hoboken, NJ, USA, 1999; pp. 308–357. [Google Scholar]











| Article | Plating | Description | Material | Emissivity |
|---|---|---|---|---|
| NL-VL-S-016 | Cu | thin | 55% Viskose | |
| NL-VL-S-016 | Ni | fleece | +45% Polyester | |
| NL-WE-S-045 | Cu | Taffeta lining, | Polyamid | |
| NL-WE-S-045 | Ni | calendered, windproof | ||
| NL-WE-S-056 | Cu | black fine fabric | 100% Polyester |
| Material | Thickness | ||||||
|---|---|---|---|---|---|---|---|
| cm | J/ K kg | kg/m | W/m K | [-] | [-] | [-] | |
| undershirt | 0.2 | 1720 | 1300 | ||||
| batting | 1–3 | 1340 | 1142 | 0.004 | |||
| polyester | |||||||
| batting | 1–3 | 700 | 2200 | ||||
| aerogel |
Disclaimer/Publisher’s Note: The statements, opinions and data contained in all publications are solely those of the individual author(s) and contributor(s) and not of MDPI and/or the editor(s). MDPI and/or the editor(s) disclaim responsibility for any injury to people or property resulting from any ideas, methods, instructions or products referred to in the content. |
© 2023 by the authors. Licensee MDPI, Basel, Switzerland. This article is an open access article distributed under the terms and conditions of the Creative Commons Attribution (CC BY) license (https://creativecommons.org/licenses/by/4.0/).
Share and Cite
Cherunova, I.; Kornev, N.; Jia, G.; Richter, K.; Plentz, J. Development of Infrared Reflective Textiles and Simulation of Their Effect in Cold-Protection Garments. Appl. Sci. 2023, 13, 4043. https://doi.org/10.3390/app13064043
Cherunova I, Kornev N, Jia G, Richter K, Plentz J. Development of Infrared Reflective Textiles and Simulation of Their Effect in Cold-Protection Garments. Applied Sciences. 2023; 13(6):4043. https://doi.org/10.3390/app13064043
Chicago/Turabian StyleCherunova, Irina, Nikolai Kornev, Guobin Jia, Klaus Richter, and Jonathan Plentz. 2023. "Development of Infrared Reflective Textiles and Simulation of Their Effect in Cold-Protection Garments" Applied Sciences 13, no. 6: 4043. https://doi.org/10.3390/app13064043
APA StyleCherunova, I., Kornev, N., Jia, G., Richter, K., & Plentz, J. (2023). Development of Infrared Reflective Textiles and Simulation of Their Effect in Cold-Protection Garments. Applied Sciences, 13(6), 4043. https://doi.org/10.3390/app13064043

