Abstract
The development of solid oxide fuel cells operating at medium temperatures (500–700 °C and even lower) requires the search for proton conductors based on complex oxides that would have a wide range of required properties. This task stimulates the search for new promising phases with proton conductivity. The new hexagonal perovskite-related compound Ba7In6Al2O19 was synthesized by the solid-state method. The phase was characterized by powder X-ray diffraction, thermogravimetric analysis, FT-IR spectroscopy, and impedance spectroscopy (in a wide range of temperatures, and partial pressures of oxygen at various atmospheric humidities). The investigated phase had a hexagonal structure with a space group of P63/mmc; the lattice parameters for Ba7In6Al2O19 are a = 5.921(2) Å, c = 37.717(4) Å. The phase is capable of reversible hydration and incorporates up to 0.15 mol H2O. IR-data confirmed that protons in the hydrated compound are presented in the form of OH–-groups. Electrical conductivity data showed that the sample exhibited dominant oxygen-ion conductivity below 500 °C in dry air and dominant proton conductivity below 600 °C in wet air.
1. Introduction
For the last few decades, perovskite oxides have drawn great attention from researchers and have been studied intensively due to their wide application [1,2,3,4,5,6,7,8,9]. The suitable modification of the composition of oxide perovskites makes it possible to use them as electrolytes. Under appropriate conditions, they can exhibit both oxygen-ion [10,11,12] (under dry conditions) and proton transport [13,14,15] (under wet conditions and low temperatures). In the latter case, such materials have received great attention from researchers, since they can exhibit high proton conductivities at temperatures below 500 °C [16] compared with oxygen-ion transport reaching high values at temperatures >800 °C. Accordingly, intermediate temperature electrochemical devices (400–700 °C) for power generation technologies based on such materials will be more cost-effective compared to high-temperature ones. For example, proton conductors based on perovskites have found applications as electrolytes of solid oxide fuel cells (SOFCs). Such fuel cells, called protonic ceramic fuel cells (PCFCs or PC-SOFCs), are fundamentally different from classical SOFCs (with oxygen-ion conducting electrolyte), not only because of their lower operating temperatures, but also because they use hydrogen as fuel, and the water is generated at the cathode and does not dilute the fuel at the anode, which increases the efficiency of the device [16,17,18,19,20].
All of this stimulates the intensive search and investigation of new materials based on complex oxides, which are capable of exhibiting proton conductivity. The efforts of scientists are directed to the development of highly dense ceramic materials with the highest proton conductivity and increased chemical stability. At present, perovskites and perovskite-related structures are the most studied systems as protonic electrolytes [21,22], although various classes of protonics are also being developed: scheelites [23,24,25,26,27,28,29], pyrochlores [30,31,32,33,34,35], Ruddlesden–Popper structures [36,37,38], apatites [39,40,41], La28−xW4+xO54+δ-family [42,43,44,45,46,47,48].
Usually, proton transport occurs via a Grotthuss mechanism, which involves the fast rotation of the proton around an oxygen atom and it hopping toward a neighboring oxygen atom [49]. This mechanism is typical for structures with corner-sharing octahedral frameworks. At the same time, some features of the proton transport are described for structures with a tetrahedral environment [50,51,52,53]. All this suggests the need to study and understand the regularities of proton transport for a purposeful search for new promising systems with fast proton transport.
Recently, proton transport has been discovered in complex structures, for example, in the cation-deficient hexagonal perovskite-related compounds with disordered combinations of palmierite and perovskite layers [54], and later in anion-deficient hexagonal perovskite-related oxides, characterized by the intergrowth of blocks of different structures [55]. Quite recently, we have described the novel proton conductor with a hexagonal perovskite-like structure Ba5In2Al2ZrO13 [56,57]. Various dopants were used (Nb5+, In3+) to determine the effect of the defect structure on proton transport. Although the structure of this compound was described long ago [58], the electrical properties were not studied until 2022. Therefore, it can be said that a new class of promising proton conductors can be developed based on this phase. This is demonstrated by the high proton conductivity exhibited by the doped hexagonal perovskite Ba5In2Al2ZrO13.
The crystal structure of Ba5In2Al2ZrO13 can be considered as an intergrowth structure with the alternation of a perovskite BaZrO3 block and two Ba2InAlO5-blocks [58,59]. The structure consists of tetrahedral [Al2O7]-dimers, corner-sharing with [InO6]-octahedra and separated by a layer of [ZrO6]-octahedra. The feature of this structure is the existence of the vacancies in the BaO□2 layers (□ is vacant regular position of oxygen), so, some of the barium atoms form a polyhedron with a coordination number of 9. Accordingly, during hydration, barium polyhedra can easily increase the coordination number due to participation of hydroxyl-groups in coordination.
Other structures of coherent intergrowth based on oxygen-deficient Ba2M3+AlO5-blocks are also described in the literature. For example, the structure Ba7Sc6Al2O19 can be represented as an alternation of the structural blocks of Ba2ScAlO5 and Ba3Sc4O9 stacked along the c-axis [60,61]. The structure of Ba3Sc4O9 can be represented as a derivative of the usual hexagonal perovskites ABO3, consequently, the formula can be written as Ba3□Sc4O9□3 (□ are vacant regular positions of barium and oxygen, respectively). The structure of Ba2ScAlO5 is close to Ba2InAlO5 and contains oxygen ordered vacancies, Al atoms are tetrahedral coordinated, while the indium atoms are octahedral coordinated. So, the structure Ba7Sc6Al2O19 contains the anion and cation vacancies. Of interest is the possibility of the existence of a phase with a composition of Ba7In6Al2O19, although it has not been described in the literature. Since indium easily adapts various coordinations and structural fragments of Ba2InAlO5 exhibit the property of intergrowth with other related structures (e.g., the compound Ba5In2Al2ZrO13), one can also assume the possibility of the existence of the compound Ba7In6Al2O19.
In the present work, a new perovskite-related compound (Ba7In6Al2O19) with a hexagonal structure was synthesized. It is found that it is isostructural to the phase Ba7Sc6Al2O19. The discovery of a significant proton and oxide ion conductivity in the oxide with intergrowth structure Ba7In6Al2O19 was made. The ion (oxygen-ion and proton) conduction was compared with the conductivity of other another conductor (Ba5In2Al2ZrO13) constituted by the same structural fragments of Ba2InAlO5.
2. Materials and Methods
The hexagonal perovskites Ba5In2Al2ZrO13 and Ba7In6Al2O19 were synthesized via the solid-state route. The compound Ba5In2Al2ZrO13 was obtained for comparison with the new phase Ba7In6Al2O19 by the method described in [56]. The preliminary dried BaCO3 (99.9999% purity, Vekton, RF), In2O3 (99.99% purity, Reachim, RF), Al2O3 (99.99% purity, Reachim, RF), and ZrO2 (99.99% purity, Reachim, RF) were used as the starting materials; all reactants were mixed in the stoichiometric ratio and ground in an agate mortar for 1 h. The obtained mixture of powders was calcined at the temperature range of 800–1200 °C with several intermediate grindings; the time for each heat treatment was 24 h.
For the ceramic samples, the obtained powder was pressed into pellets and sintered at the temperature 1400 °C for 24 h.
For the hydration process investigations, the hydrated samples of the Ba5In2Al2ZrO13 and Ba7In6Al2O19 were obtained. Hydrated samples preparation was performed according to the sequent method: the investigated compound powder was annealed at 1100 °C under a flow of dry argon to remove possible adsorbed water and surface carbonates, and then cooled to 200 °C at the rate of 1 °C/min in wet argon. This lower temperature was chosen to avoid adsorption of water in the sample. The wet atmosphere for the hydrated samples preparation and further experiments was obtained by bubbling the gas (argon or air) through the potassium bromide (KBr) saturated solution (pH2O = 1.92 × 10–2 atm).
Phase purity was controlled by X-ray powder diffraction analysis; the measurements were performed on an ARL EQUINOX 3000 (Thermo Fisher Scientific, Waltham, MA, USA) diffractometer at room temperature with CuKα radiation at the angle range 10–90° with steps of 0.024°. Cell parameter calculations were performed using FullProf software.
Infrared (IR) spectroscopy analysis was used to identify hydrogen-oxygen groups in the hydrated samples. Investigations were performed using the diffuse reflection technique on a Nicolet 6700 (Thermo Fisher Scientific, USA) FT-IR spectrometer at room temperature.
Thermogravimetric analysis (TG) was used to determine the proton concentration in the hydrated samples; the measurements were performed on a Pyris 1 (PerkinElmer, Waltham, MA, USA) TG analyzer. At the first step, the powder sample was heated at 1000 °C under a flow of dry argon with heating rate of 1 °C/min, after that the sample was cooled to 25 °C with a cooling rate of 1 °C/min in the wet argon atmosphere. Data collection was performed during sample cooling in order to detect the increase of mass during hydration and the temperature range at which it takes place.
Transport properties were investigated using Ba5In2Al2ZrO13 and Ba7In6Al2O19 ceramic samples. The polished surfaces of the sintered pellets were coated with palladium-silver paste, and then fired by electrodes at 900 °C for 3 h. The ac conductivity of the samples was measured by the 2-probe impedance spectroscopy technique using a Z-3000X (Elins, Chernogolovka, Russian Federation) frequency response analyzer over the frequency range of 100 Hz–3 MHz. The measurements were carried out at the temperature range of 300–900 °C with a cooling rate of 1 °C/min in atmospheres of dry and wet air. The data were collected during cooling at temperature intervals of 20 °C with the time of equilibrium of 30 min. The dry atmosphere was obtained by circulating gas through a drying column containing phosphorous pentoxide powder P2O5 (pH2O = 3.5 × 10−5 atm). Humidification of gas was carried out as described above. Gas humidity was measured by a HIH-3610 (Honeywell, Freeport, TX, USA) water-sensor. Primary data were processed using the Zview software (ver. 3.1, Scribner Associates, Inc., Southern Pines, NC, USA).
Electric properties were also measured as a function of pO2. The measurements were carried out in dry and wet atmospheres with the oxygen partial pressure range of 10−19–0.21 atm at the temperature range of 500–800 °C. The values of oxygen partial pressure were monitored and controlled by an yttria-stabilized zirconia electrochemical pump and sensor.
3. Results and Discussion
3.1. Phase Analysis
Figure 1 shows the Rietveld profile fitting of Ba5In2Al2ZrO13 (a) and Ba7In6Al2O19 (b). Both compounds possess a hexagonal structure and can be described in the space group P63/mmc. The comparison of the lattice parameters is presented in Table 1. Data for phase Ba5In2Al2ZrO13 are in good agreement with previously obtained data [56]. Significantly higher values of lattice parameter c in Ba7In6Al2O19 can be explained by the larger size of the Ba3In4O9 block that forms the Ba7In6Al2O19 structure in comparison with the BaZrO3 block that forms the structure of Ba5In2Al2ZrO13. Crystal structures of synthesized phases are shown in Figure 2.
Figure 1.
Rietveld profile fitting of powder X-ray diffraction pattern for Ba5In2Al2ZrO13 (a) and Ba7In6Al2O19 (b). Observed (dots), calculated (line), and difference (bottom) data, and angular positions of reflections (bars) are shown.
Table 1.
The lattice parameters for Ba5In2Al2ZrO13 and Ba7In6Al2O19.
Figure 2.
Crystal structures of Ba5In2Al2ZrO13 (a) and Ba7In6Al2O19 (b).
3.2. Oxygen-Hydrogen Groups State
The IR spectra of Ba5In2Al2ZrO13 and Ba7In6Al2O19 are shown in Figure 3. It can be seen that the spectra for Ba5In2Al2ZrO13 and Ba7In6Al2O19, in general, have a similar shape. A broad band can be seen in the range of 2500–3500 cm−1 for both compounds that confirms the presence of oxygen-hydrogen groups in the hydrated samples of the investigated materials. This range of frequencies is attributed to oxygen-hydrogen stretching vibrations (νOH). Analysis of the bending vibrations (δM–OH) range can be used for identification of the states of the oxygen-hydrogen groups. The region below 1500 cm−1 is attributed to the bending vibrations of the hydroxide group OH−. The presence of the band with the frequency ~1430 cm−1 confirms the presence of M–OH groups in the hydrated samples of Ba5In2Al2ZrO13 and Ba7In6Al2O19. The absence of bands with frequencies of ~1600 cm−1 and ~1700 cm−1 indicates the absence of water molecules and H3O+ ions in the hydrated forms of the investigated compounds. IR spectra also contain a wide band in the range of 1700–2100 cm−1, which is more intense in the case of Ba7In6Al2O19. This band is attributed to the mixed vibrations and it cannot be used for oxygen-hydrogen group identification. Therefore, the main form of oxygen-hydrogen groups existing in the hydrated forms of Ba5In2Al2ZrO13 and Ba7In6Al2O19 is the hydroxide group OH−; thus, the changing in structural blocks from BaZrO3 to Ba3In4O9 does not lead to any changes in the forms of the oxygen-hydrogen groups.
Figure 3.
IR spectra for the hydrated samples of Ba5In2Al2ZrO13 [56] and Ba7In6Al2O19.
The broad band of stretching vibrations in the range of 2500–3500 cm−1 had a complex structure as a result of the superposition of several contributions, and consequently, this indicates the presence of different energetically nonequivalent OH−-groups in the hydrated compounds. The main maximum of this band is located at the frequency ~3350 cm−1 for both compounds. The second maximum is located at the frequency ~2830 cm−1 for Ba5In2Al2ZrO13 and for Ba7In6Al2O19, indicating OH−-groups are involved in forming stronger hydrogen bonds. So, the shape and position of the IR bands for both compounds are identical.
Thus, according to the IR-data analysis, it can be concluded that the protons in the hydrated compounds Ba5In2Al2ZrO13 and Ba7In6Al2O19 are presented in the form of OH−-groups.
3.3. Hydration Behaviour
The comparison of the TG-curves for Ba5In2Al2ZrO13 and Ba7In6Al2O19 is presented in Figure 4. The experimental data are shown as the temperature dependence of degrees of hydration x(H2O), where degrees of hydration is a number of water moles per formula unit. The weight gain occurred over a wide temperature range for both compounds: 150–950 °C for Ba5In2Al2ZrO13, and 200–900 °C for Ba7In6Al2O19. For Ba5In2Al2ZrO13, the main weight decrease occurs in the temperature range of 150–400 °C, and less significant weight change takes place at the temperature range of 400–950 °C. For Ba7In6Al2O19, the main mass change occurs in the temperature range of 200–500 °C, with less significant weight changes taking place at the temperature range of 500–900 °C. At temperatures higher than 950 °C and 900 °C, mass stabilization is observed. It should be emphasized that the presence of OH−-groups in the crystal lattice up to fairly high temperatures (900 °C) is a common feature for hexagonal perovskites [55].
Figure 4.
TG curves of the hydrated Ba5In2Al2ZrO13 [56] and Ba7In6Al2O19.
The presence of different stages on the TG-curves correlates with the existence of the energetically nonequivalent OH−-groups in the hydrated samples that was shown in the IR analysis. This nonequivalence is caused by different crystallographic locations of OH−-groups.
As can be seen from Figure 4, the sample Ba5In2Al2ZrO13 exhibits higher water uptake values than Ba7In6Al2O19. Mass stabilization for Ba7In6Al2O19 starts at lower temperatures in than for Ba5In2Al2ZrO13, however, the dehydration process starts at higher temperatures. This difference can be explained the by structural differences. Both intergrowth structures contain two Ba2InAlO5-blocks, but differ in other intergrowth blocks—the perovskite BaZrO3 block for Ba5In2Al2ZrO13 and the Ba3In4O9 block for Ba7In6Al2O19. It is assumed that the presence of the perovskite block (BaZrO3) in Ba5In2Al2ZrO13 creates an additional opportunity for hydration.
3.4. Transport Properties
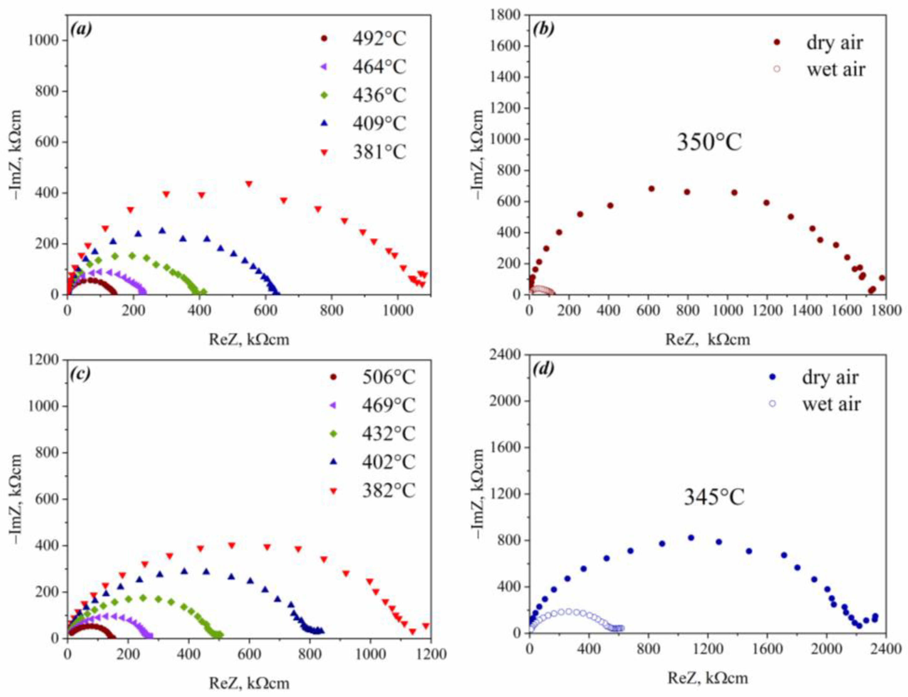
The impedance spectra of Ba5In2Al2ZrO13 and Ba7In6Al2O19 are shown in Figure 5. The evolution of the hodographs with changes in temperature is shown is Figure 5a,c for Ba5In2Al2ZrO13 and Ba7In6Al2O19, respectively. The evolution of the hodographs in wet air is presented in Figure 5b,d for Ba5In2Al2ZrO13 and Ba7In6Al2O19, respectively. It can be seen that the shape of the impedance spectra for both samples is quite similar and does not undergo any changes during temperature and water partial pressure variation.
Figure 5.
Impedance spectra for Ba5In2Al2ZrO13 at different temperatures in dry air (a), and in dry (pH2O = 3.5 × 10−5 atm) [56] and wet air (pH2O = 1.92 × 10−2 atm) [56] at 350 °C (b). Impedance spectra for Ba7In6Al2O19 at different temperatures in dry air (c), and in dry (pH2O = 3.5 × 10−5 atm) and wet air (pH2O = 1.92 × 10−2 atm) at 345 ° (d).
For both samples, the impedance data analysis showed the presence of at least two relaxation processes in the range of the investigated frequencies. Two overlapping semicircles can be seen in the impedance spectra, and it should be noted that the second semicircle was small. Beyond that, a small contribution of the third relaxation process was observed in the low frequencies, however, its contribution to this process is also negligible. The relaxation processes in polycrystalline materials can be represented by three contributions: bulk resistance, resistance of the grain boundaries, and the electrode processes; frequencies attributed to these processes decrease in the series: bulk−grain boundaries−electrode processes [62]. The determination of the nature of the relaxation processes can be executed by analysis of the electrical capacitance values attributed to these contributions [62]. Calculated capacitance values attributed to the third relaxation process were about 10−6 F; these values are typical for the electrode processes. The capacitance values attributed to the first and second relaxation processes (first and second semicircles) were about 10−11 and 10−10 F, respectively. It can, therefore, be concluded that first semicircle is corresponded to the contribution of bulk resistance and the second semicircle to the contribution of grain boundaries.
The bulk conductivity was calculated using the following equation:
where l represents the sample thickness, S represents the sample sectional area, and Rb represents the value of bulk resistance.
Figure 6 shows the temperature dependencies of the conductivity for Ba5In2Al2ZrO13 and Ba7In6Al2O19 in dry and wet air. It can be seen that for both compounds over the whole investigated temperature range, the values of conductivity in wet air were higher than in dry air. The increase in conductivity in wet atmospheres is a consequence of hydration and the appearance of proton current carriers. The difference between conductivity values obtained in dry and wet air becomes insignificant at temperatures above 850 °C—this is a consequence of dehydration at high temperatures. Therefore, Ba5In2Al2ZrO13 and Ba7In6Al2O19 are able to exhibit proton transport in atmospheres with high water partial pressures.
Figure 6.
Temperature dependencies of total conductivity in dry (pH2O = 3.5 × 10−5 atm) and wet (pH2O = 1.92 × 10−2 atm) air for Ba5In2Al2ZrO13 (a) [56] and Ba7In6Al2O19 (b).
It can be seen that the temperature dependencies of conductivity for Ba5In2Al2ZrO13 and Ba7In6Al2O19 exhibit different slopes. Conductivity dependence for Ba7In6Al2O19 has a steeper slope in than Ba5In2Al2ZrO13. Therefore, at high temperatures, the conductivity of Ba7In6Al2O19 is higher in than of Ba5In2Al2ZrO13, while at low temperatures (below 500 °C), the conductivity of Ba5In2Al2ZrO13 is higher. Thus, the activation energies of the conductivity of both samples are different. The activation energies will be discussed below in the analysis of partial conductivities.
The difference in conductivity values in dry and wet temperatures is higher for Ba5In2Al2ZrO13. At 350 °C, the difference in values of electric conductivity in dry and wet air for Ba5In2Al2ZrO13 is more than an order, whereas for Ba7In6Al2O19, the difference is about 0.7 orders. This is connected to the higher values of proton concentration in Ba5In2Al2ZrO13, which was shown by thermogravimetric measurements.
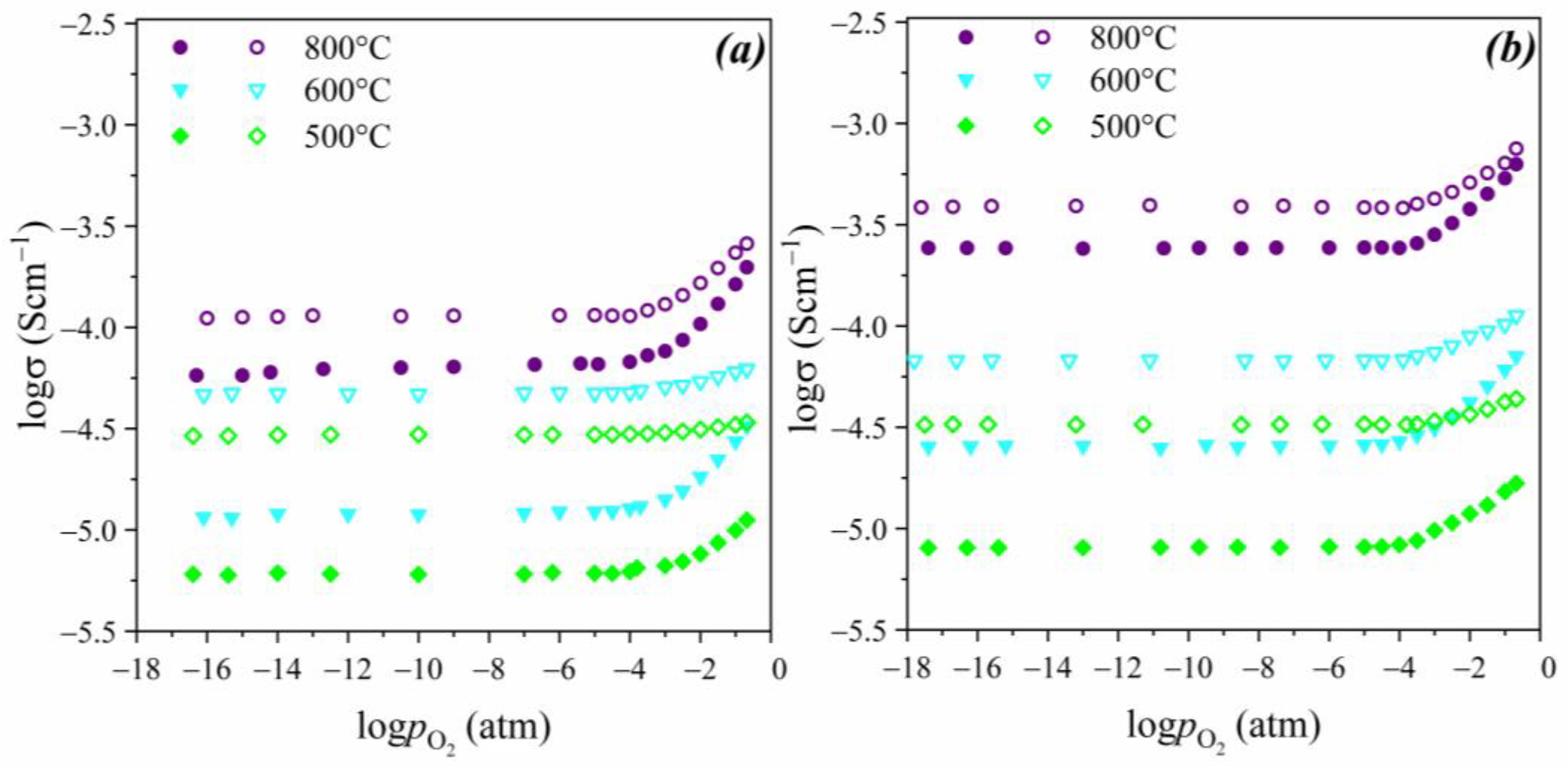
For the determination of the partial conductivities and the type of dominant carriers, the conductivity was measured as a function of oxygen partial pressure. Figure 7 shows the oxygen partial pressure dependencies of electric conductivity in dry and wet atmospheres for Ba5In2Al2ZrO13 (Figure 7a) and Ba7In6Al2O19 (Figure 7b). It is seen that in both cases the conductivity values decrease with decreasing oxygen partial pressure from 0.21 to 10−4.5 atm. This shows the presence of some p-type conductivity contribution (σh). The behavior of the conductivity of the investigated compounds at this oxygen partial pressure range can be expressed as an oxygen incorporation process and the filling of structural vacancies:
where is a structural oxygen vacancy, h• is hole, and is the oxygen atom in the structural oxygen vacancy position. With temperature decrease, the slope of the dependencies reduces, which means that the p-type conductivity contribution decreases.
Figure 7.
Oxygen partial pressure dependence of total conductivity for Ba5In2Al2ZrO13 (a) [56] and Ba7In6Al2O19 (b) in dry (pH2O = 3.5 × 10−5 atm) and wet (pH2O = 1.92 × 10−2 atm) atmospheres; filled symbols are attributed to dry atmosphere, empty symbols are attributed to wet atmosphere.
Therefore, Ba5In2Al2ZrO13 and Ba7In6Al2O19 can be characterized as mixed hole-oxygen-ion conductors in dry air (0.21 atm). For the oxygen partial pressure range of 10−18–10−4.5 atm, a plateau can be seen in the conductivity—pO2 dependencies. Ionic defects dominate in this pO2- range, and the concentration of electron defects is negligible. This plateau is characteristic of oxygen-ionic conductivity attributed with the intrinsic oxygen vacancies in the structure.
The slopes of the logσ–logpO2 dependencies in the wet atmosphere at pO2 > 10−4.5 atm are flatter than in comparison to the dry atmosphere, which indicates a decrease in the contribution of hole conductivity; at 500 °C, the conductivity is independent of pO2, which confirms the dominant ionic nature of the conductivity over the whole investigated range of pO2. It is seen that over the whole of oxygen partial pressure range for all of the investigated temperatures, the values of conductivity in the wet atmosphere are higher than in the dry atmosphere. The higher values of conductivity in the wet atmosphere can be explained by the contribution of proton conductivity. The difference in the conductivity values in dry and wet atmospheres increase with the reducing temperatures caused by the hydration process and the increase in proton concentration. At 800 °C, the difference in the conductivity values is about 0.1 and 0.05 orders in air, and at the plateau region, the difference rises to 0.3 and 0.2 orders of magnitude for Ba5In2Al2ZrO13 and Ba7In6Al2O19, respectively. At 500 °C, the difference in the conductivity values for dry and wet atmospheres is about 0.3 and 0.2 orders, while at the plateau region, the difference is about 0.75 and 0.60 orders of magnitude for Ba5In2Al2ZrO13 and Ba7In6Al2O19, respectively.
It can be said that in wet air (pO2 = 0.21 atm), the investigated compounds demonstrate mixed proton-hole conductivity; with decreasing temperature, the contribution of proton conductivity rises, and at the temperatures below 500 °C, Ba5In2Al2ZrO13 and Ba7In6Al2O19 exhibit dominant proton conductivity.
The comparison of the dependencies of conductivity as a function of pO2 for Ba5In2Al2ZrO13 and Ba7In6Al2O19 in dry and wet atmospheres is shown in Figure 8. In general, the view of the dependencies for these compounds is similar. As mentioned above, Ba7In6Al2O19 at high temperatures exhibits higher values of conductivity than Ba5In2Al2ZrO13. Thus at 500 °C, the conductivity values of Ba7In6Al2O19 are higher for the whole investigated oxygen partial pressure range. In wet air, the difference in conductivity values for Ba5In2Al2ZrO13 and Ba7In6Al2O19 are insignificant due to the lower proton concentration in hydrated Ba7In6Al2O19, and, therefore, the lower contribution of proton conductivity. In addition, Ba7In6Al2O19 exhibits a higher positive slope of conductivity dependence in both dry and wet atmospheres at the oxygen partial pressure range of 10−4.5–0.21 atm than Ba5In2Al2ZrO13, which indicates the higher contribution of hole conductivity to the total conductivity value.
Figure 8.
The comparison of oxygen partial pressure dependencies of total conductivity for Ba5In2Al2ZrO13 [56] and Ba7In6Al2O19 in dry (pH2O = 3.5 × 10−5 atm) and wet (pH2O = 1.92 × 10−2 atm) atmospheres at 500 °C.
According to the data on oxygen partial pressure conductivity dependence, the partial conductivities σi were calculated in air (pO2 = 0.21 atm). Oxygen-ion conductivity was determined as conductivity at the plateau of the dry atmosphere (); the hole conductivity σh values were obtained by subtracting the oxygen-ion conductivity from the total conductivity in air (). The values of proton conductivity were defined by the subtraction of ion conductivity in dry atmosphere (plateau region) from ion conductivity in wet atmosphere (plateau region) () with the assumption that the oxygen-ion conductivity is independent of the concentration of protons. The hole conductivity values σh in the wet atmosphere were defined as the difference of the total conductivity value at oxygen pressure 0.21 atm and of the value of oxygen-ion and proton conductivities (). The temperature dependencies of partial conductivities for Ba5In2Al2ZrO13 and Ba7In6Al2O19 are presented in Figure 9.
Figure 9.
Temperature dependencies of oxygen-ion (a) and proton (b) conductivities for Ba5In2Al2ZrO13 [56] and Ba7In6Al2O19.
It can be seen in Figure 9 that in dry atmospheres, the oxygen-ion conductivity for Ba5In2Al2ZrO13 is higher than the hole conductivity at temperatures below ~550 °C. For Ba7In6Al2O19, the hole conductivity is higher for the whole investigated temperature range, and only at ~500 °C are the oxygen-ion conductivity values approximately equal to hole conductivity. At ~500 °C, the values of oxygen-ion and hole conductivity for Ba5In2Al2ZrO13 and Ba7In6Al2O19 are roughly equivalent; however, at higher temperatures, the oxygen-ion and hole conductivity of Ba7In6Al2O19 are higher. It should be noted that the oxygen-ion conductivity of Ba7In6Al2O19 is 0.5 orders of magnitude higher than for Ba5In2Al2ZrO13. The activation energy of oxygen-ion conductivity of Ba7In6Al2O19 was higher (0.85 eV) than of Ba5In2Al2ZrO13 (0.64 eV). We believe that the higher oxygen-ion conductivities of this phase are due to the presence of a block with cationic vacancies. As described in the literature [63,64], the presence of cationic vacancies in the A-sublattice of perovskites promotes facilitated oxygen-ion transport as a result of an increase in the free volume of migration.
In wet atmospheres, Ba5In2Al2ZrO13 demonstrates predominant proton conductivity at temperatures below 600 °C. Ba7In6Al2O19 exhibits a lower contribution of proton conductivity in wet atmospheres; only at temperatures below 500 °C does proton conductivity become higher than hole conductivity, and at 600 °C, proton and hole conductivity are approximately equal. At temperatures above 600 °C, proton conductivity values for Ba7In6Al2O19 are higher in comparison than for Ba5In2Al2ZrO13, while at temperatures 600 °C, they are equivalent, and at 500 °C, Ba5In2Al2ZrO13 shows higher proton conductivity than Ba7In6Al2O19. These changes in the behavior of proton conductivity with temperature are explained by the difference in their activation energies. The activation energy of the proton conduction of phase Ba5In2Al2ZrO13 (0.27 eV) is much smaller compared to phase Ba7In6Al2O19 (0.45 eV).
The ionic transport numbers ti were calculated from the data on the partial conductivities according to the following equation:
where σtot is total conductivity in dry or wet air.
Figure 10 shows the temperature dependencies of the transport numbers for Ba5In2Al2ZrO13 and Ba7In6Al2O19. These data confirm the above-mentioned tendencies. The oxygen-ion and proton transport for the Ba5In2Al2ZrO13 dominates over a wider temperature range in comparison with Ba7In6Al2O19. Nevertheless, both phases are dominant oxygen-ion conductors below 500 °C in dry air and dominant proton conductors below 600 °C in wet air.
Figure 10.
Temperature dependencies of oxygen-ion (a) and proton (b) transport numbers for Ba5In2Al2ZrO13 [56] and Ba7In6Al2O19.
It can be concluded that both hexagonal perovskites (Ba5In2Al2ZrO13 and Ba7In6Al2O19) are promising proton conductors. Further modification of the composition of these compounds will make it possible to achieve more significant values of the oxygen-ion and proton conductivities. It can also be said that the class of hexagonal perovskites characterized by the structure of coherent intergrowthing is a new promising class of proton conductors for which it is necessary to establish their own specific regularities of ion transport.
4. Conclusions
The novel perovskite-related compound Ba7In6Al2O19 was synthesized by the solid-state method. The investigated phase had a hexagonal structure with a space group of P63/mmc; the lattice parameters for Ba7In6Al2O19 are a = 5.921(2) Å, c = 37.717(4) Å.
IR-investigations confirmed the presence of protons in hydrated samples of the investigated compounds in the form of OH−-groups. It was defined that the hydrated form of Ba7In6Al2O19 contains different OH−-groups that participate in different hydrogen bonds.
TG-measurements confirmed that Ba7In6Al2O19 is capable of incorporating water.
The transport properties of Ba7In6Al2O19 were investigated using the impedance spectroscopy technique in wet (pH2O = 1.92 × 10−2 atm) and dry (pH2O = 3.5 × 10−5 atm) atmospheres with different values of oxygen partial pressure. The compound Ba7In6Al2O19 showed dominant oxygen-ion conductivity below 500 °C in dry air and dominant proton conductivity in wet air below 600 °C.
The data obtained was compared with the properties of phase Ba5In2Al2ZrO13. Ba7In6Al2O19 demonstrated higher values of oxygen-ion and proton conductivities at temperatures above 600 °C, while at temperatures below 500 °C, oxygen-ion and proton conductivity were higher for Ba5In2Al2ZrO13. At the same time, Ba5In2Al2ZrO13 exhibited a higher contribution of oxygen-ion and proton transport than Ba7In6Al2O19 for the whole investigated temperature range.
Author Contributions
Conceptualization, I.A.; methodology, R.A. and I.A.; investigation, R.A.; formal analysis, R.A.; writing—original draft preparation, R.A. and I.A.; writing—review and editing, R.A. and I.A. All authors have read and agreed to the published version of the manuscript.
Funding
This research was supported by the Russian Science Foundation and Government of Sverdlovsk region, Joint Grant 22-23-20003 https://rscf.ru/en/project/22-23-20003/ (accessed on 2 March 2022).
Institutional Review Board Statement
Not applicable.
Informed Consent Statement
Not applicable.
Data Availability Statement
The reported data is available from the corresponding authors on a reasonable request.
Conflicts of Interest
The authors declare no conflict of interest.
References
- Kavitha, K.; Anuradha, M.A. Review of proton- and oxide-ion-conducting perovskite materials for SOFC applications. Nanomater. Energy 2019, 8, 51–58. [Google Scholar] [CrossRef]
- Sun, C.; Alonso, J.A.; Bian, J. Recent Advances in Perovskite-Type Oxides for Energy Conversion and Storage Applications. Adv. Energy Mater. 2021, 11, 2000459. [Google Scholar] [CrossRef]
- Maiti, T.; Saxena, M.; Roy, P. Double perovskite (Sr2B′B″O6) oxides for high-temperature thermoelectric power generation—A review. J. Mater. Res. 2019, 34, 107–125. [Google Scholar] [CrossRef]
- Žužić, A.; Filipan, V.; Sutlović, I.; Macan, J. Perovskite Oxides for Energy Applications. Tehnički Vjesnik 2022, 29, 1419–1425. [Google Scholar] [CrossRef]
- Kubicek, M.; Bork, A.H.; Rupp, J.L.M. Perovskite oxides—A review on a versatile material class for solar-to-fuel conversion processes. J. Mater. Chem. A 2017, 5, 11983–12000. [Google Scholar] [CrossRef]
- Danilov, N.; Lyagaeva, J.; Vdovin, G.; Medvedev, D. Multifactor performance analysis of reversible solid oxide cells based on proton-conducting electrolytes. Appl. Energy 2019, 237, 924–934. [Google Scholar] [CrossRef]
- He, H.; Yang, Z.; Xu, Y.; Smith, A.T.; Yang, G.; Sun, L. Perovskite oxides as transparent semiconductors: A review. Perovskite oxides as transparent semiconductors: A review. Nano Converg. 2020, 7, 32. [Google Scholar] [CrossRef]
- Tarutin, A.; Kasyanova, A.; Lyagaeva, J.; Vdovin, G.; Medvedev, D. Towards high-performance tubular-type protonic ceramic electrolysis cells with all-Ni-based functional electrodes. J. Energy Chem. 2020, 40, 65–74. [Google Scholar] [CrossRef]
- Mahmoudi, F.; Saravanakumar, K.; Maheskumar, V.; Njaramba, L.K.; Yoon, Y.; Park, C.M. Application of perovskite oxides and their composites for degrading organic pollutants from wastewater using advanced oxidation processes: Review of the recent progress. J. Hazard. Mater. 2022, 436, 129074. [Google Scholar] [CrossRef]
- Colomban, P. Proton conductors and their applications: A tentative historical overview of the early researches. Solid State Ion. 2019, 334, 125–144. [Google Scholar] [CrossRef]
- Vera, C.Y.R.; Hanping Peterson, D.D.; Gibbons, W.T.; Zhou, M.; Ding, D. A mini-review on proton conduction of BaZrO3-based perovskite electrolytes. J. Phys. Energy 2021, 3, 032019. [Google Scholar] [CrossRef]
- Zhang, M.; Jeerh, G.; Zou, P.; Lan, R.; Wang, M.; Wang, H.; Tao, S. Recent development of perovskite oxide-based electrocatalysts and their applications in low to intermediate temperature electrochemical devices. Mater. Today 2021, 49, 351–377. [Google Scholar] [CrossRef]
- Skinner, S.J.; Kilner, J.A. Oxygen ion conductors. Mater. Today 2003, 6, 30–37. [Google Scholar] [CrossRef]
- Malavasi, L.; Fisher, C.A.; Islam, M.S. Oxide-ion and proton conducting electrolyte materials for clean energy applications: Structural and mechanistic features. Chem. Soc. Rev. 2010, 39, 4370–4387. [Google Scholar] [CrossRef]
- Kharton, V.V. Solid State Electrochemistry I: Fundamentals, Materials and Their Applications; Wiley-VCH: Weinheim, Germany, 2009. [Google Scholar]
- Meng, Y.; Gao, J.; Zhao, Z.; Amoroso, J.; Tong, J.; Brinkman, K.S. Review: Recent progress in low–temperature proton–conducting ceramics. J. Mater. Sci. 2019, 54, 9291–9312. [Google Scholar] [CrossRef]
- Cao, J.; Ji, Y.; Shao, Z. Perovskites for protonic ceramic fuel cells: A review. Energy Environ. Sci. 2022, 15, 2200–2232. [Google Scholar] [CrossRef]
- Coors, W.G. Protonic ceramic fuel cells for high-efficiency operation with methane. J. Power Sources 2003, 118, 150–156. [Google Scholar] [CrossRef]
- Medvedev, D.A.; Lyagaeva, J.G.; Gorbova, E.V.; Demin, A.K.; Tsiakaras, P. Advanced materials for SOFC application: Strategies for the development of highly conductive and stable solid oxide proton electrolytes. Prog. Mater. Sci. 2016, 75, 38–79. [Google Scholar] [CrossRef]
- Medvedev, D.A. Current drawbacks of proton–conducting ceramic materials: How to overcome them for real electrochemical purposes. Curr. Opin. Green Sustain. Chem. 2021, 32, 100549. [Google Scholar] [CrossRef]
- Kochetova, N.; Animitsa, I.; Medvedev, D.; Demin, A.; Tsiakaras, P. Recent activity in the development of proton-conducting oxides for high-temperature applications. RSC Adv. 2016, 6, 73222–73268. [Google Scholar] [CrossRef]
- Kasyanova, A.V.; Radenko, A.O.; Lyagaeva, Y.G.; Medvedev, D.A. Lanthanum-Containing Proton-Conducting Electrolytes with Perovskite Structures. Membr. Membr. Technol. 2021, 3, 73–97. [Google Scholar] [CrossRef]
- Haugsrud, R.; Norby, T. High-temperature proton conductivity in acceptor-substituted rare-earth ortho-tantalates, LnTaO4. J. Am. Ceram. Soc. 2007, 90, 1116–1121. [Google Scholar] [CrossRef]
- Fjeld, H.; Kepaptsoglou, D.M.; Haugsrud, R.; Norby, T. Charge carriers in grain boundaries of 0.5% Sr-doped LaNbO4. Solid State Ion. 2010, 181, 104–109. [Google Scholar] [CrossRef]
- Magraso, A.; Fontaine, M.L.; Larring, Y.; Bredesen, R.; Syvertsen, G.E.; Lein, H.L.; Grande, T.; Huse, M.; Strandbakke, R.; Haugsrud, R. Development of proton conducting SOFCs based on LaNbO4 electrolyte—Status in Norway. Fuel Cells 2011, 11, 17–25. [Google Scholar] [CrossRef]
- Vigen, C.K.; Haugsrud, R. Proton Conductivity in Solid Solution 0.7(CaWO4)–0.3(La0.99Ca0.01NbO4) and Ca(1− x)LaxW(1− y)TayO4. J. Am. Ceram. Soc. 2013, 96, 3812–3820. [Google Scholar] [CrossRef]
- Bi, L.; Fabbri, E.; Traversa, E. Solid oxide fuel cells with proton–conducting La0.99Ca0.01NbO4 electrolyte. Electrochim. Acta 2018, 260, 748–754. [Google Scholar] [CrossRef]
- Hakimova, L.; Kasyanova, A.; Farlenkov, A.; Lyagaeva, J.; Medvedev, D.; Demin, A.; Tsiakaras, P. Effect of isovalent substitution of La3+ in Ca–doped LaNbO4 on the thermal and electrical properties. Ceram. Int. 2019, 45, 209–215. [Google Scholar] [CrossRef]
- Afif, A.; Zaini, J.; Rahman, S.M.H.; Eriksson, S.; Islam, M.A.; Azad, A.K. Scheelite type Sr1−xBaxWO4 (x = 0.1, 0.2, 0.3) for possible application in Solid Oxide Fuel Cell electrolytes. Sci. Rep. 2019, 9, 9173. [Google Scholar] [CrossRef] [PubMed]
- Omata, T.; Ikeda, K.; Tokashiki, R.; Otsuka-Yao-Matsuo, S. Proton solubility for La2Zr2O7 with a pyrochlore structure doped with a series of alkaline–earth ions. Solid State Ion. 2004, 167, 389–397. [Google Scholar] [CrossRef]
- Shlyakhtina, A.V.; Pigalskiy, K.S.; Belov, D.A.; Lyskov, N.V.; Kharitonova, E.P.; Kolbanev, I.V.; Eremeev, N.F. Proton and oxygen ion conductivity in the pyrochlore/fluorite family of Ln2− xCaxScMO7− δ (Ln = La, Sm, Ho, Yb; M = Nb, Ta; x = 0, 0.05, 0.1) niobates and tantalates. Dalton Trans. 2018, 47, 2376–2392. [Google Scholar] [CrossRef] [PubMed]
- Shlyakhtina, A.V.; Lyskov, N.V.; Shchegolikhin, A.N.; Chernyak, S.A.; Knotko, A.V.; Kolbanev, I.V.; Shcherbakova, L.G. Structure evolution, ionic and proton conductivity of solid solutions based on Nd2Hf2O7. Ceram. Intern. 2020, 46, 17383–17391. [Google Scholar] [CrossRef]
- Shlyakhtina, A.V.; Abrantes, J.C.C.; Gomes, E.; Lyskov, N.V.; Konysheva, E.Y.; Chernyak, S.A.; Kharitonova, E.P.; Karyagina, O.K.; Kolbanev, I.V.; Shcherbakova, L.G. Evolution of oxygen–ion and proton conductivity in Ca doped Ln2Zr2O7 (Ln = Sm, Gd), located near pyrochlore-fluorite phase boundary. Materials 2019, 12, 2452. [Google Scholar] [CrossRef] [PubMed]
- Shlyakhtina, A.V.; Lyskov, N.V.; Konysheva, E.Y.; Chernyak, S.A.; Kolbanev, I.V.; Vorobieva, G.A.; Shcherbakova, L.G. Gas–tight proton–conducting Nd2−xCaxZr2O7−δ (x = 0, 0.05) ceramics. J. Solid State Electrochem. 2020, 24, 1475–1486. [Google Scholar] [CrossRef]
- Shlyakhtina, A.V.; Lyskov, N.V.; Nikiforova, G.E.; Kasyanova, A.V.; Vorobieva, G.A.; Kolbanev, I.V.; Stolbov, D.N.; Medvedev, D.A. Proton Conductivity of La2(Hf2−xLax)O7−x/2 “Stuffed” Pyrochlores. Appl. Sci. 2022, 12, 4342. [Google Scholar] [CrossRef]
- Tarasova, N.; Animitsa, I. Materials AIILnInO4 with Ruddlesden–Popper Structure for Electrochemical Applications: Relationship between Ion (Oxygen–Ion, Proton) Conductivity, Water Uptake, and Structural Changes. Materials 2022, 15, 114. [Google Scholar] [CrossRef] [PubMed]
- Nirala, G.; Yadav, D.; Upadhyay, S. Ruddlesden–Popper phase A2BO4 oxides: Recent studies on structure, electrical, dielectric, and optical properties. J. Adv. Ceram. 2020, 9, 29–148. [Google Scholar] [CrossRef]
- Zhou, Y.; Shiraiwa, M.; Nagao, M.; Fujii, K.; Tanaka, I.; Yashima, M.; Baque, L.; Basbus, J.F.; Mogni, L.V.; Skinner, S.J. Protonic Conduction in the BaNdInO4 Structure Achieved by Acceptor Doping. Chem. Mater. 2021, 33, 2139–2146. [Google Scholar] [CrossRef]
- León-Reina, L.; Porras-Vázquez, J.M.; Losilla, E.R.; Aranda, M.A. Phase transition and mixed oxide-proton conductivity in germanium oxy-apatites. J. Solid State Chem. 2007, 180, 1250–1258. [Google Scholar] [CrossRef]
- Panchmatia, P.M.; Orera, A.; Kendrick, E.; Hanna, J.V.; Smith, M.E.; Slater, P.R.; Islam, M.S. Protonic defects and water incorporation in Si and Ge-based apatite ionic conductors. J. Mater. Chem. 2010, 20, 2766–2772. [Google Scholar] [CrossRef]
- Yashima, M.; Kubo, N.; Omoto, K.; Fujimori, H.; Fujii, K.; Ohoyama, K. Diffusion path and conduction mechanism of protons in hydroxyapatite. J. Phys. Chem. 2014, 118, 5180–5187. [Google Scholar] [CrossRef]
- Haugsrud, R.; Kjølseth, C. Effects of protons and acceptor substitution on the electrical conductivity of La6WO12. J. Phys. Chem. Solids 2008, 69, 1758–1765. [Google Scholar] [CrossRef]
- Amsif, M.; Magrasó, A.; Marrero-López, D.; Ruiz-Morales, J.C.; Canales-Vázquez, J.; Núñez, P. Mo-Substituted lanthanum tungstate La28–yW4+yO54+δ: A competitive mixed electron–proton conductor for gas separation membrane applications. Chem. Mater. 2012, 24, 3868–3877. [Google Scholar] [CrossRef]
- Quarez, E.; Kravchyk, K.V.; Joubert, O. Compatibility of proton conducting La6WO12 electrolyte with standard cathode materials. Solid State Ion. 2012, 216, 19–24. [Google Scholar] [CrossRef]
- Seeger, J.; Ivanova, M.E.; Meulenberg, W.A.; Sebold, D.; Stöver, D.; Scherb, T.; Schumacher, G.; Escolástico, S.; Solís, C.; Serra, J.M. Synthesis and characterization of nonsubstituted and substituted proton-conducting La6-xWO12-y. Inorg. Chem. 2013, 52, 10375–10386. [Google Scholar] [CrossRef]
- Korona, D.V.; Partin, G.S.; Animitsa, I.E.; Sharafutdinov, A.R. Chemical CO2–resistivity of proton conductors on base of Ba4Ca2Nb2O11 and La6WO12. Altern. Energy Ecol. 2018, 10–12, 43–59. [Google Scholar] [CrossRef]
- Shlyakhtina, A.V.; Avdeev, M.; Abrantes, J.C.C.; Gomes, E.; Lyskov, N.V.; Kharitonova, E.P.; Kolbaneva, I.V.; Shcherbakova, L.G. Structure and conductivity of Nd6MoO12-based potential electron–proton conductors under dry and wet redox conditions. Inorg. Chem. Front. 2019, 6, 566–575. [Google Scholar] [CrossRef]
- Sadykov, V.A.; Bespalko, Y.N.; Krasnov, A.V.; Skriabin, P.I.; Lukashevich, A.I.; Fedorova, Y.E.; Sadovskaya, E.M.; Eremeev, N.F.; Krieger, T.A.; Ishchenko, A.V.; et al. Novel proton-conducting nanocomposites for hydrogen separation membranes. Solid State Ion. 2018, 322, 69–78. [Google Scholar] [CrossRef]
- Münch, W.; Seifert, G.; Kreuer, K.D.; Maier, J. A quantum molecular dynamics study of proton conduction phenomena in BaCeO3. Solid State Ion. 1996, 86, 647–652. [Google Scholar] [CrossRef]
- Kendrick, E.; Kendrick, J.; Knight, K.S.; Islam, M.S.; Slater, P.R. Cooperative mechanisms of fast-ion conduction in gallium-based oxides with tetrahedral moieties. Nat. Mater. 2007, 6, 871–875. [Google Scholar] [CrossRef] [PubMed]
- Mather, G.C.; Fisher, C.A.J.; Islam, M.S. Defects, dopants, and protons in LaNbO4. Chem. Mater. 2010, 22, 5912–5917. [Google Scholar] [CrossRef]
- Kendrick, E.; Kendrick, J.; Orera, A.; Panchmatia, P.; Islam, M.S.; Slater, P.R. Novel Aspects of the Conduction Mechanisms of Electrolytes Containing Tetrahedral Moieties. Fuel Cells 2011, 11, 38–43. [Google Scholar] [CrossRef]
- Ferrara, C.; Eames, C.; Islam, M.S.; Tealdi, C. Lattice strain effects on doping, hydration and proton transport in scheelite-type electrolytes for solid oxide fuel cells. Phys. Chem. Chem. Phys. 2016, 18, 29330–29336. [Google Scholar] [CrossRef] [PubMed]
- Fop, S.; McCombie, K.S.; Wildman, E.J.; Skakle, J.M.S.; Irvine, J.T.S.; Connor, P.A.; Savaniu, C.; Ritter, C.; Mclaughlin, A.C. High Oxide Ion and Proton Conductivity in a Disordered Hexagonal Perovskite. Nat. Mater. 2020, 19, 752–757. [Google Scholar] [CrossRef]
- Murakami, T.; Hester, J.; Yashima, M. High Proton Conductivity in Ba5Er2Al2ZrO13, a Hexagonal Perovskite-Related Oxide with Intrinsically Oxygen-Deficient Layers. J. Am. Chem. Soc. 2020, 142, 11653–11657. [Google Scholar] [CrossRef] [PubMed]
- Andreev, R.; Korona, D.; Anokhina, I.; Animitsa, I. Proton and Oxygen-Ion Conductivities of Hexagonal Perovskite Ba5In2Al2ZrO13. Materials 2022, 15, 3944. [Google Scholar] [CrossRef]
- Andreev, R.D.; Korona, D.V.; Anokhina, I.A.; Animitsa, I.E. Novel Nb5+–doped hexagonal perovskite Ba5In2Al2ZrO13 (structure, hydration, electrical conductivity). Chim. Techno Acta 2022, 9, 20229414. [Google Scholar] [CrossRef]
- Shpanchenko, R.; Abakumov, A.; Antipov, E.; Kovba, L. Crystal structure of Ba5In2Al2ZrO13. J. Alloys Compd. 1994, 206, 185–188. [Google Scholar] [CrossRef]
- Shpanchenko, R.; Abakumov, A.; Antipov, E.; Nistor, L.; van Tendeloo, G.; Amelinckx, S. Structural study of the new complex oxides Ba5-ySryR2-xAl2Zr1+xO13+x/2 (R = Gd-Lu, Y, Sc). J. Solid State Chem. 1995, 118, 180–192. [Google Scholar] [CrossRef]
- Shpanchenko, R.V.; Antipov, E.V.; Paromova, M.V.; Kovba, L.M. Crystal structure of Ba7Sc6Al2O19. J. Inorg. Chem. 1991, 36, 1402–1407. [Google Scholar]
- Shpanchenko, R.V.; Nistor, L.; van Tendeloo, G.; Amelinckx, S.; Antipov, E.V.; Kovba, L.M. High–resolution electron microscopic study of Ba7Sc6Al2O19 and related phases. J. Solid State Chem. 1994, 113, 193–204. [Google Scholar] [CrossRef]
- Irvine, J.; Sinclair, D.; West, A. Electroceramics: Characterization by Impedance Spectroscopy. Adv. Mater. 1990, 2, 132–138. [Google Scholar] [CrossRef]
- Su, C.; Wang, W.; Shao, Z. Cation-Deficient Perovskites for Clean Energy Conversion. Acc. Mater. Res. 2021, 2, 477–488. [Google Scholar] [CrossRef]
- Kovalevsky, A.V.; Yaremchenko, A.A.; Populoh, S.; Weidenkaff, A.; Frade, J.R. Effect of A Site Cation Deficiency on the Thermoelectric Performance of Donor-Substituted Strontium Titanate. J. Phys. Chem. C 2014, 118, 4596–4606. [Google Scholar] [CrossRef]
Disclaimer/Publisher’s Note: The statements, opinions and data contained in all publications are solely those of the individual author(s) and contributor(s) and not of MDPI and/or the editor(s). MDPI and/or the editor(s) disclaim responsibility for any injury to people or property resulting from any ideas, methods, instructions or products referred to in the content. |
© 2023 by the authors. Licensee MDPI, Basel, Switzerland. This article is an open access article distributed under the terms and conditions of the Creative Commons Attribution (CC BY) license (https://creativecommons.org/licenses/by/4.0/).









