Crude Polysaccharides from Wild-Growing Armillaria mellea—Chemical Composition and Antidiabetic, Anti-Inflammatory, Antioxidant, and Antiproliferative Potential
Abstract
Featured Application
Abstract
1. Introduction
2. Materials and Methods
2.1. Materials
2.2. Chemicals
2.3. Extraction of A. mellea Crude Polysaccharides (AmPS)
2.4. Chemical Composition of AmPS
2.4.1. Sugar Content
2.4.2. Uronic Acid Content
2.4.3. Protein Content
2.4.4. Total Phenolics Content
2.5. Structural Characterization
2.5.1. Monosaccharide Composition of AmPS
2.5.2. NMR Spectroscopy
2.6. Total and α- and β-Glucan Content
2.7. Biological Activity of AmPS
2.7.1. Inhibition of α-Glucosidase
2.7.2. Inhibition of α-Amylase
2.7.3. Oxygen Radical Absorbance Capacity (ORAC) Assay
2.7.4. Antiradical Activity against ABTS•+
2.7.5. Inhibition of Lipoxygenase (LOX)
2.7.6. Inhibition of Cyclooxygenase (COX)
2.7.7. Inhibition of Hyaluronidase (HYAL)
2.7.8. Anticancer Potential
Cell Lines
MTT Assay
NRU Assay
2.8. Statistical Analysis
3. Results and Discussion
3.1. Composition of AmPS
3.2. Biological Activity of AmPS
3.2.1. Antidiabetic Potential
3.2.2. Antioxidant Activity
3.2.3. Anti-Inflammatory Potential
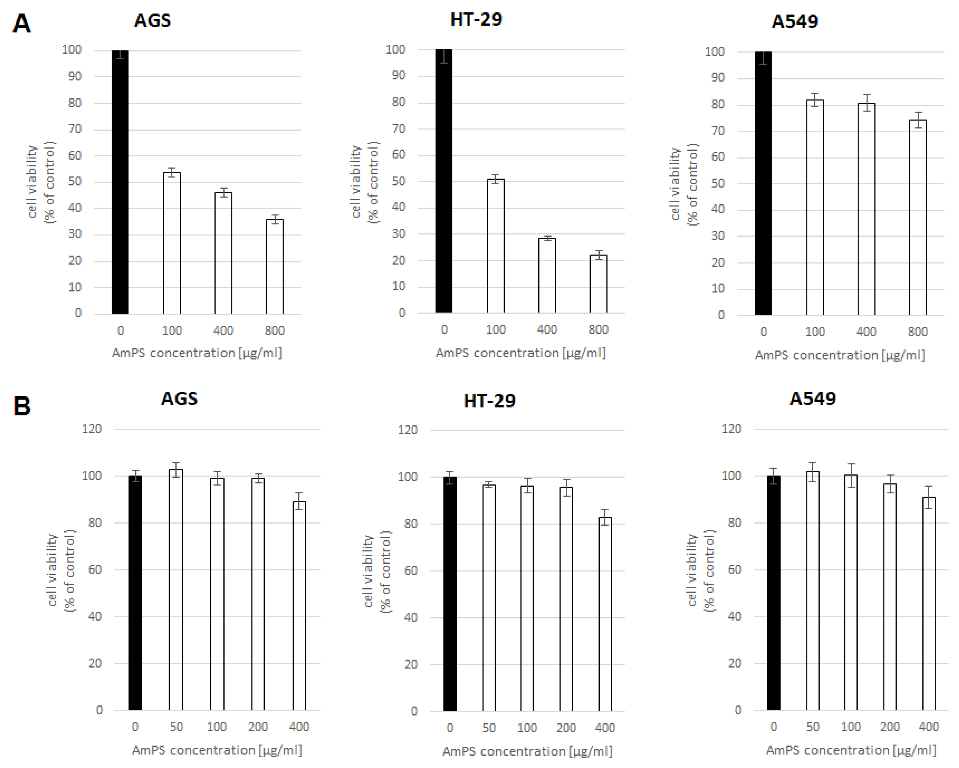
3.2.4. Anti-Cancer Potential
4. Conclusions
Author Contributions
Funding
Institutional Review Board Statement
Informed Consent Statement
Data Availability Statement
Acknowledgments
Conflicts of Interest
References
- Muszyńska, B.; Maślanka, A.; Ekiert, H.; Sułkowska-Ziaja, K. Analysis of indole compounds in Armillaria mellea fruiting bodies. Acta Pol. Pharm. Drug Res. 2011, 68, 93–97. [Google Scholar]
- Stachowiak, B.; Reguła, J. Health-promoting potential of edible macromycetes under special consideration of polysaccharides: A review. Eur. Food Res. Technol. 2012, 234, 369–380. [Google Scholar] [CrossRef]
- Wu, J.; Zhou, J.; Lang, Y.; Yao, L.; Xu, H.; Shi, H.; Xu, S. A polysaccharide from Armillaria mellea exhibits strong in vitro anticancer activity via apoptosis-involved mechanisms. Int. J. Biol. Macromol. 2012, 51, 663–667. [Google Scholar] [CrossRef]
- Gao, L.W.; Li, W.Y.; Zhao, Y.L.; Wang, J.W. The cultivation, bioactive components and pharmacological effects of Armillaria mellea. Afr. J. Biotechnol. 2009, 8, 7383–7390. [Google Scholar]
- Sun, Y.; Liang, H.; Zhang, X.; Tong, H.; Liu, J. Structural elucidation and immunological activity of a polysaccharide from the fruiting body of Armillaria mellea. Bioresour. Technol. 2009, 100, 1860–1863. [Google Scholar]
- Ng, L.T.; Wu, S.J.; Tsai, J.Y.; Lai, M.N. Antioxidant activities of cultured Armillariella mellea. Appl. Biochem. Microbiol. 2007, 43, 444–448. [Google Scholar]
- Gao, L.W.; Wang, J.W. Antioxidant potential and DNA damage protecting activity of aqueous extract from Armillaria Mellea. J. Food Biochem. 2012, 36, 139–148. [Google Scholar] [CrossRef]
- Yang, S.; Yan, J.; Yang, L.; Meng, Y.; Wang, N.; He, C.; Fan, Y.; Zhou, Y. Alkali-soluble polysaccharides from mushroom fruiting bodies improve insulin resistance. Int. J. Biol. Macromol. 2019, 126, 466–474. [Google Scholar] [CrossRef]
- Erbiai, E.H.; da Silva, L.P.; Saidi, R.; Lamrani, Z.; da Silva, J.C.G.E.; Maouni, A. Chemical Composition, Bioactive Compounds, and Antioxidant Activity of Two Wild Edible Mushrooms Armillaria mellea and Macrolepiota procera from Two Countries (Morocco and Portugal). Biomolecules 2021, 11, 575. [Google Scholar]
- Nowacka-Jechalke, N.; Nowak, R.; Lemieszek, M.K.; Rzeski, W.; Gawlik-Dziki, U.; Szpakowska, N.; Kaczyński, Z. Promising potential of crude polysaccharides from Sparassis crispa against colon cancer: An in vitro study. Nutrients 2021, 13, 161. [Google Scholar] [CrossRef]
- Dubois, M.; Gilles, K.A.; Hamilton, J.K.; Rebers, P.A.; Smith, F. Colorimetric method for determination of sugars and related substances. Anal. Chem. 1956, 28, 350–356. [Google Scholar] [CrossRef]
- Van Den Hoogen, B.M.; Van Weeren, P.R.; Lopes-Cardozo, M.; Van Golde, L.M.G.; Barneveld, A.; Van De Lest, C.H.A. A microtiter plate assay for the determination of uronic acids. Anal. Biochem. 1998, 257, 107–111. [Google Scholar] [CrossRef] [PubMed]
- Bradford, M.M. A rapid and sensitive method for the quantitation of microgram quantities of protein utilizing the principle of protein-dye binding. Anal. Biochem. 1976, 72, 248–254. [Google Scholar] [CrossRef] [PubMed]
- Olech, M.; Łyko, L.; Nowak, R. Influence of accelerated solvent extraction conditions on the LC-ESI-MS/MS polyphenolic profile, triterpenoid content, and antioxidant and anti-lipoxygenase activity of rhododendron luteum sweet leaves. Antioxidants 2020, 9, 822. [Google Scholar] [CrossRef]
- Rovio, S.; Yli-Kauhaluoma, J.; Sirén, H. Determination of neutral carbohydrates by CZE with direct UV detection. Electrophoresis 2007, 28, 3129–3135. [Google Scholar] [CrossRef] [PubMed]
- Telagari, M.; Hullatti, K. In-vitro α-amylase and α-glucosidase inhibitory activity of Adiantum caudatum Linn. and Celosia argentea Linn. extracts and fractions. Indian J. Pharmacol. 2015, 47, 425–429. [Google Scholar] [PubMed]
- Pieczykolan, A.; Pietrzak, W.; Gawlik-Dziki, U.; Nowak, R. Antioxidant, anti-inflammatory, and anti-diabetic activity of phenolic acids fractions obtained from Aerva lanata (L.) juss. Molecules 2021, 26, 3486. [Google Scholar] [CrossRef]
- Abirami, A.; Nagarani, G.; Siddhuraju, P. In vitro antioxidant, anti-diabetic, cholinesterase and tyrosinase inhibitory potential of fresh juice from Citrus hystrix and C. maxima fruits. Food Sci. Hum. Wellness 2014, 3, 16–25. [Google Scholar] [CrossRef]
- Dienaitė, L.; Pukalskas, A.; Pukalskienė, M.; Pereira, C.V.; Matias, A.A.; Venskutonis, P.R. Phytochemical composition, antioxidant and antiproliferative activities of defatted sea buckthorn (Hippophaë rhamnoides L.) berry pomace fractions consecutively recovered by pressurized ethanol and water. Antioxidants 2020, 9, 274. [Google Scholar] [CrossRef]
- Maiga, A.; Malterud, K.E.; Diallo, D.; Paulsen, B.S. Antioxidant and 15-lipoxygenase inhibitory activities of the Malian medicinal plants Diospyros abyssinica (Hiern) F. White (Ebenaceae), Lannea velutina A. Rich (Anacardiaceae) and Crossopteryx febrifuga (Afzel) Benth. (Rubiaceae). J. Ethnopharmacol. 2006, 104, 132–137. [Google Scholar] [CrossRef]
- Yahaya, Y.A.; Don, M.M. Evaluation of Trametes Lactinea Extracts on the Inhibition of Hyaluronidase, Lipoxygenase and Xanthine Oxidase Activities in Vitro. J. Phys. Sci. 2012, 23, 1–15. [Google Scholar]
- Łyko, L.; Olech, M.; Nowak, R. LC-ESI-MS/MS characterization of concentrated polyphenolic fractions from Rhododendron luteum and their anti-inflammatory and antioxidant activities. Molecules 2022, 27, 827. [Google Scholar] [CrossRef]
- Chen, R.; Ren, X.; Yin, W.; Lu, J.; Tian, L.; Zhao, L.; Yang, R.; Luo, S. Ultrasonic disruption extraction, characterization and bioactivities of polysaccharides from wild Armillaria mellea. Int. J. Biol. Macromol. 2020, 156, 1491–1502. [Google Scholar] [CrossRef]
- Mirończuk-Chodakowska, I.; Witkowska, A.M. Evaluation of polish wild mushrooms as beta-glucan sources. Int. J. Environ. Res. Public Health 2020, 17, 7299. [Google Scholar] [CrossRef]
- Liu, D.; Tang, W.; Yin, J.Y.; Nie, S.P.; Xie, M.Y. Monosaccharide composition analysis of polysaccharides from natural sources: Hydrolysis condition and detection method development. Food Hydrocoll. 2021, 116, 106641. [Google Scholar] [CrossRef]
- Łubek-Nguyen, A.; Olech, M.; Nowacka-Jechalke, N.; Martyna, A.; Kubiński, K.; Masłyk, M.; Moczulski, M.; Kanak, S. Crude Polysaccharide Fraction from Rosa rugosa Thunb. Root—Chemical Characterisation, Enzyme Inhibitory, Antioxidant and Antiproliferative Activity. Appl. Sci. 2022, 12, 10126. [Google Scholar] [CrossRef]
- Chang, C.C.; Cheng, J.J.; Lee, I.J.; Lu, M.K. Purification, structural elucidation, and anti-inflammatory activity of xylosyl galactofucan from Armillaria mellea. Int. J. Biol. Macromol. 2018, 114, 584–591. [Google Scholar] [CrossRef]
- Krentz, A.J.; Bailey, C.J. Oral Antidiabetic Agents Current Role in Type 2 Diabetes Mellitus. Drugs 2005, 65, 385–411. [Google Scholar] [CrossRef]
- Yang, S.; Meng, Y.; Yan, J.; Wang, N.; Xue, Z.; Zhang, H.; Fan, Y. Polysaccharide-enriched fraction from Amillariella mellea fruiting body improves insulin resistance. Molecules 2019, 24, 46. [Google Scholar] [CrossRef]
- Zhang, S.; Liu, X.; Yan, L.; Zhang, Q.; Zhu, J.; Huang, N.; Wang, Z. Chemical Compositions and Antioxidant Activities of Polysaccharides from the Sporophores and Cultured Products of Armillaria mellea. Molecus 2015, 20, 5680–5697. [Google Scholar] [CrossRef]
- Nowacka-Jechalke, N.; Nowak, R.; Juda, M.; Malm, A.; Lemieszek, M.; Rzeski, W.; Kaczyński, Z. New biological activity of the polysaccharide fraction from Cantharellus cibarius and its structural characterization. Food Chem. 2018, 268, 355–361. [Google Scholar] [CrossRef] [PubMed]
- Girish, K.; Kemparaju, K.; Nagaraju, S.; Vishwanath, B. Hyaluronidase Inhibitors: A Biological and Therapeutic Perspective. Curr. Med. Chem. 2009, 16, 2261–2288. [Google Scholar] [CrossRef] [PubMed]
- Cancer. Available online: https://www.who.int/news-room/fact-sheets/detail/cancer (accessed on 10 February 2023).



| Results | |
|---|---|
| Sugar content (% of AmPS) | 60.71 ± 2.35 |
| Uronic acid content (% of AmPS) | 1.24 ± 0.01 |
| Protein content (% of AmPS) | 3.13 ± 0.03 |
| Phenolics content (% of AmPS) | 1.83 ± 0.02 |
| Total glucan content (g/100 g d.w.) | 27.74 ± 0.78 |
| α-glucan content (g/100 g d.w.) | 1.06 ± 0.02 |
| β-glucan content (g/100 g d.w.) | 26.68 ± 0.82 |
| Sample | α-Glucosidase | α-Amylase |
|---|---|---|
| EC50 (mg/mL) | ||
| AmPS | 0.73 ± 0.02 | n.d. |
| Acarbose | 1.37 ± 0.01 | 0.01 ± 0.02 |
| Antioxidant Assay | Result |
|---|---|
| ORAC (µM TE/g AmPS) | 414.3 ± 2.74 |
| ABTS (µM TE/g AmPS) | 94.69 ± 0.26 |
| COX-1 | COX-2 | LOX | |
|---|---|---|---|
| (% of Inhibition) | |||
| AmPS (0.5 mg/mL) | 52.07 ± 1.78 | n.d. | n.a. |
| AmPS (1 mg/mL) | 71.69 ± 2.47 | n.d. | 38.83 ± 0.47 |
| ASA (10 mM) | 32.95 ± 0.64 | 98.64 ± 0.93 | 93.97 ± 0.76 |
Disclaimer/Publisher’s Note: The statements, opinions and data contained in all publications are solely those of the individual author(s) and contributor(s) and not of MDPI and/or the editor(s). MDPI and/or the editor(s) disclaim responsibility for any injury to people or property resulting from any ideas, methods, instructions or products referred to in the content. |
© 2023 by the authors. Licensee MDPI, Basel, Switzerland. This article is an open access article distributed under the terms and conditions of the Creative Commons Attribution (CC BY) license (https://creativecommons.org/licenses/by/4.0/).
Share and Cite
Nowacka-Jechalke, N.; Kanak, S.; Moczulski, M.; Martyna, A.; Kubiński, K.; Masłyk, M.; Szpakowska, N.; Kaczyński, Z.; Nowak, R.; Olech, M. Crude Polysaccharides from Wild-Growing Armillaria mellea—Chemical Composition and Antidiabetic, Anti-Inflammatory, Antioxidant, and Antiproliferative Potential. Appl. Sci. 2023, 13, 3853. https://doi.org/10.3390/app13063853
Nowacka-Jechalke N, Kanak S, Moczulski M, Martyna A, Kubiński K, Masłyk M, Szpakowska N, Kaczyński Z, Nowak R, Olech M. Crude Polysaccharides from Wild-Growing Armillaria mellea—Chemical Composition and Antidiabetic, Anti-Inflammatory, Antioxidant, and Antiproliferative Potential. Applied Sciences. 2023; 13(6):3853. https://doi.org/10.3390/app13063853
Chicago/Turabian StyleNowacka-Jechalke, Natalia, Sebastian Kanak, Marcin Moczulski, Aleksandra Martyna, Konrad Kubiński, Maciej Masłyk, Nikola Szpakowska, Zbigniew Kaczyński, Renata Nowak, and Marta Olech. 2023. "Crude Polysaccharides from Wild-Growing Armillaria mellea—Chemical Composition and Antidiabetic, Anti-Inflammatory, Antioxidant, and Antiproliferative Potential" Applied Sciences 13, no. 6: 3853. https://doi.org/10.3390/app13063853
APA StyleNowacka-Jechalke, N., Kanak, S., Moczulski, M., Martyna, A., Kubiński, K., Masłyk, M., Szpakowska, N., Kaczyński, Z., Nowak, R., & Olech, M. (2023). Crude Polysaccharides from Wild-Growing Armillaria mellea—Chemical Composition and Antidiabetic, Anti-Inflammatory, Antioxidant, and Antiproliferative Potential. Applied Sciences, 13(6), 3853. https://doi.org/10.3390/app13063853

