3D Surface-to-Surface Contact Algorithm for SPH Method and Its Application to Simulation of Impact Failure of Ceramic Plate
Abstract
1. Introduction
2. SPH Formulation
3. 3D SPH Surface-to-Surface Contact Algorithm Using Surface Reconstruction
3.1. 3D Surface Reconstruction of SPH Objects
| Algorithm 1: Searching of triangular faces on boundaries of remaining tetrahedrons |
| Stage 1 Determine remaining tetrahedrons connected to each particle 1.1. Initialize total number of remaining tetrahedrons connected each particle: nTetPar = 0 1.2. While i ≤ nT do 1.3. While j ≤ 4 do 1.4. Get number of particle at the jth vertice of tetrahedron i: k = Tet(i, j) 1.5. Update total number of tetrahedrons connected to particle k: nTetPar(k) = nTetPar(k) + 1 1.6. Record number of tetrahedron connected to particle k: TetPar(k, nTetPar(k)) = i 1.7. j = j + 1 1.8. i = i + 1 Stage 2 Search boundary faces of remaining tetrahedrons 2.1. Initialize total number of boundary faces and internal face flag: nBndFac = 0, IntFacFlag = False 2.2. While i ≤ nT do 2.3. While j ≤ 4 do 2.4. If IntFacFlag(i, j) is True, then the jth face of tetrahedron i is an internal face, go to step 2.17 2.5. Get numbers of the three particles on the jth face of tetrahedron i: p1, p2, p3 2.6. Get the total number of tetrahedrons connected to particle p1: num = nTetPar(p1) 2.7. While k ≤ num do 2.8. Get the number of the kth tetrahedron connected to particle p1: l = TetPar(p1, k) 2.9. If i = l, then skip tetrahedron l, and go to step 2.15 2.10. While m ≤ 4 do 2.11. Get numbers of the three particles on the mth face of tetrahedron l: q1, q2, q3 2.12. Compare p1, p2, p3 with q1, q2, q3. If they coincide, then go to Step 2.13, else go to 2.14 2.13. Set internal face flags: IntFacFlag(i, j) = True, IntFacFlag(l, m) = True; and go to step 2.17 2.14. m = m + 1 2.15. k = k + 1 2.16. Identify the jth face of tetrahedron i as a boundary face and record the face 2.17. j = j + 1 2.18. i = i + 1 * nT is the total number of remaining tetrahedrons; Loop variables are initialized to be 1 just before loops begin. |
3.2. Detection of Contacts

3.3. Enforcement of Contact Conditions
4. Validation and Application
4.1. Validation Example 1: A Block Sliding along a Slope
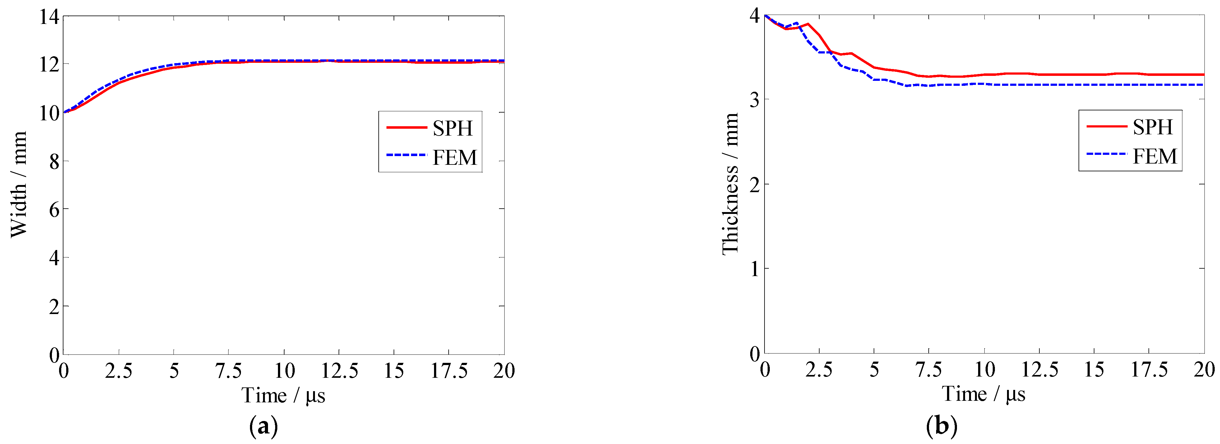
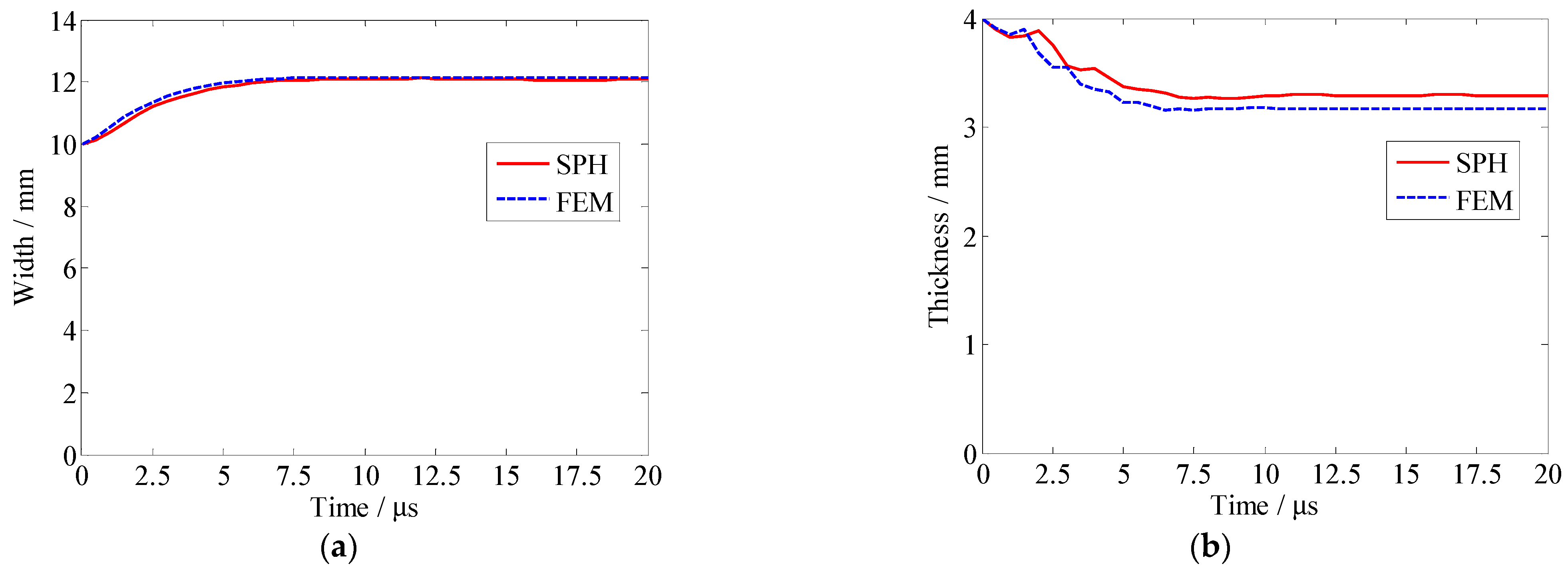
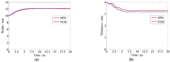
4.2. Validation Example 2: Impact between Two Elastic-Plastic Blocks
4.3. Application: High-Velocity Impact of Projectile on Ceramic Plate
5. Conclusions
Author Contributions
Funding
Institutional Review Board Statement
Informed Consent Statement
Data Availability Statement
Conflicts of Interest
References
- Bresciani, L.M.; Manes, A.; Romano, T.A.; Iavarone, P.; Giglio, M. Numerical modelling to reproduce fragmentation of a tungsten heavy alloy projectile impacting a ceramic tile: Adaptive solid mesh to the SPH technique and the cohesive law. Int. J. Impact Eng. 2016, 87, 3–13. [Google Scholar] [CrossRef]
- Lucy, L.B. A numerical approach to the testing of the fission hypothesis. Astrophys. J. 1977, 8, 1013–1024. [Google Scholar] [CrossRef]
- Gingold, R.A.; Monaghan, J.J. Smoothed particle hydrodynamics: Theory and application to non-spherical stars. Mon. Not. R. Astron. Soc. 1977, 181, 375–389. [Google Scholar] [CrossRef]
- Campbell, J.; Vignjevic, R.; Libersky, L. A contact algorithm for smoothed particle hydrodynamics. Comput. Methods Appl. Mech. Eng. 2000, 184, 49–65. [Google Scholar] [CrossRef]
- Seo, S.; Min, O. Axisymmetric SPH simulation of elasto-plastic contact in the low velocity impact. Comput. Phys. Commun. 2006, 175, 583–603. [Google Scholar] [CrossRef]
- Xiao, Y.H.; Hu, D.A.; Han, X.; Yang, G.; Long, S.Y. Simulation of normal perforation of aluminum plates using axisymmetric smoothed particle hydrodynamics with contact algorithm. Int. J. Comput. Methods 2013, 10, 1350039. [Google Scholar] [CrossRef]
- Seo, S.; Min, O.; Lee, J. Application of an improved contact algorithm for penetration analysis in SPH. Int. J. Impact Eng. 2008, 35, 578–588. [Google Scholar] [CrossRef]
- Xiao, Y.H.; Dong, H.H.; Zhou, J.M.; Wang, J.G. Studying normal perforation of monolithic and layered steel targets by conical projectiles with SPH simulation and analytical method. Eng. Anal. Bound. Elem. 2017, 75, 12–20. [Google Scholar] [CrossRef]
- Xiao, Y.H.; Wu, H.C.; Ping, X.C. On the simulation of fragmentation during the process of ceramic tile impacted by blunt projectile with SPH method in LS-DYNA. Comput. Model. Eng. Sci. 2020, 122, 923–954. [Google Scholar] [CrossRef]
- Xiao, Y.H.; Liu, K. Penalty-based surface-to-surface contact algorithm for SPH method. Appl. Math. Model. 2023, 107, 359–377. [Google Scholar] [CrossRef]
- Vignjevic, R.; Vuyst, T.D.; Campbell, J.C. A frictionless contact algorithm for meshless methods. Comput. Model. Eng. Sci. 2006, 13, 35–47. [Google Scholar]
- Wang, J.; Wu, H.; Gu, S.; Hua, H. Simulating frictional contact in smoothed particle hydrodynamics. Sci. China Technol. Sci. 2013, 56, 1779–1789. [Google Scholar] [CrossRef]
- Zhan, L.; Peng, C.; Zhang, B.; Wu, W. A SPH framework for dynamic interaction between soil and rigid body system with hybrid contact method. Int. J. Numer. Anal. Methods Geomech. 2020, 44, 1446–1471. [Google Scholar] [CrossRef]
- Zhou, M.; Fang, Q.; Peng, Q. A mortar segment-to-segment contact method for stabilized total-Lagrangian smoothed particle hydrodynamics. Appl. Math. Model. 2022, 107, 20–38. [Google Scholar] [CrossRef]
- Gissler, C.; Peer, A.; Band, S.; Bender, J.; Teschner, M. Interlinked SPH pressure solvers for strong fluid-rigid coupling. ACM Trans. Graph. 2019, 38, 1–13. [Google Scholar] [CrossRef]
- Oger, G.; Doring, M.; Alessandrini, B.; Ferrant, P. Two-dimensional SPH simulations of wedge water entries. J. Comput. Phys. 2006, 213, 803–822. [Google Scholar] [CrossRef]
- Akinci, N.; Ihmsen, M.; Akinci, G.; Solenthaler, B.; Teschner, M. Versatile rigid-fluid coupling for incompressible SPH. ACM Trans. Graph. 2012, 31, 1–8. [Google Scholar] [CrossRef]
- Band, S.; Gissler, C.; Ihmsen, M.; Cornelis, J.; Peer, A.; Teschner, M. Pressure boundaries for implicit incompressible SPH. ACM Trans. Graph. 2018, 37, 1–11. [Google Scholar] [CrossRef]
- Liu, G.R.; Liu, M.B. Smoothed Particle Hydrodynamics: A Meshfree Particle Method; World Scientific: Singapore, 2003. [Google Scholar]
- Monaghan, J.J.; Lattanzio, J.C. A refined particle method for astrophysical problems. Astron. Astrophys. 1985, 149, 135–143. [Google Scholar]
- Xiao, Y.H.; Zou, W.B.; Liu, K. An effective smoothing length updating method for smoothed particle hydrodynamics. Int. J. Comput. Methods 2022, 19, 2250004. [Google Scholar] [CrossRef]
- Johnson, G.R.; Stryk, R.A.; Beissel, S.R. SPH for high velocity impact computations. Comput. Methods Appl. Mech. Eng. 1996, 139, 347–373. [Google Scholar] [CrossRef]
- Monaghan, J.J. Smoothed particle hydrodynamics. Rep. Prog. Phys. 2005, 68, 1703–1759. [Google Scholar] [CrossRef]
- MATLAB Documentation; The MathWorks, Inc.: Natick, MA, USA, 2014.
- Johnson, G.R.; Stryk, R.A. Symmetric contact and sliding interface algorithms for intense impulsive loading computations. Comput. Methods Appl. Mech. Eng. 2001, 190, 4531–4549. [Google Scholar] [CrossRef]
- Swegle, J.W.; Attaway, S.W.; Heinstein, M.W.; Mello, F.J.; Hicks, D.L. An Analysis of Smoothed Particle Hydrodynamics; Report No. SAND93-2513; Sandia National Laboratories: Albuquerque, NM, USA, 1994.
- LS-DYNA Keywords User’s Manual; Livermore Software Technology Corporation: Livermore, CA, USA, 2014.
- Hu, D.A.; Long, T.; Xiao, Y.H.; Han, X.; Gu, Y. Fluid-structure interaction analysis by coupled FE-SPH model based on a novel searching algorithm. Comput. Methods Appl. Mech. Eng. 2014, 276, 266–286. [Google Scholar] [CrossRef]
- Nemat-Nasser, S.; Sarva, S.; Isaacs, J.B.; Lischer, D.W. Novel ideas in multi-functional ceramic armor design. Ceram. Trans. 2002, 134, 511–525. [Google Scholar]
- Sarva, S.; Nemat-Nasser, S.; Mcgee, J.; Isaacs, J. The effect of thin membrane restraint on the ballistic performance of armor grade ceramic tiles. Int. J. Impact Eng. 2007, 34, 277–302. [Google Scholar] [CrossRef]
- Johnson, G.R.; Holmquist, T.J. An improved computational constitutive model for brittle materials. AIP Conf. Proc. 1994, 309, 981–984. [Google Scholar]



















| Parameter | Value | Parameter | Value | ||
| ρ0/(kg/m3) | 17,162 | Parameters in Grüneisen EOS | S0/(m/s) | 4029 | |
| Shear modulus/GPa | 124 | S1 | 1.23 | ||
| Parameters in Johnson-Cook strength model | a0/MPa | 1200 | S2 | 0 | |
| b0/MPa | 141 | S3 | 0 | ||
| n0 | 0.12 | γ0 | 1.54 | ||
| c0 | 0.016 | Parameters in damage model | d1 | 0 | |
| m0 | 1.0 | d2 | 0.33 | ||
| ε0/s−1 | 1.0 | d3 | −1.5 | ||
| Tmelt/K | 1723 | d4 | 0 | ||
| Troom/K | 300 | d5 | 0 | ||
| Cv/(J/(kg·K)) | 134 | ||||
| Parameter | Value | Parameter | Value | ||
| ρ0/(kg/m3) | 3921 | Parameters in strength model | PT/GPa | 0.2 | |
| Shear modulus/GPa | 90.16 | ε0/s−1 | 1.0 | ||
| Parameters in strength model | a1 | 0.93 | Conversion fraction of elastic energy loss | 1.0 | |
| b1 | 0.31 | ||||
| n1 | 0.6 | Parameters in EOS | K1/GPa | 130.95 | |
| c1 | 0 | K2/GPa | 0 | ||
| m1 | 0.6 | K3/GPa | 0 | ||
| HEL/GPa | 2.79 | Parameters in damage model | D1 | 0.005 | |
| PHEL/GPa | 1.46 | D2 | 1.0 | ||
Disclaimer/Publisher’s Note: The statements, opinions and data contained in all publications are solely those of the individual author(s) and contributor(s) and not of MDPI and/or the editor(s). MDPI and/or the editor(s) disclaim responsibility for any injury to people or property resulting from any ideas, methods, instructions or products referred to in the content. |
© 2023 by the authors. Licensee MDPI, Basel, Switzerland. This article is an open access article distributed under the terms and conditions of the Creative Commons Attribution (CC BY) license (https://creativecommons.org/licenses/by/4.0/).
Share and Cite
Xiao, Y.; Liu, K. 3D Surface-to-Surface Contact Algorithm for SPH Method and Its Application to Simulation of Impact Failure of Ceramic Plate. Appl. Sci. 2023, 13, 3790. https://doi.org/10.3390/app13063790
Xiao Y, Liu K. 3D Surface-to-Surface Contact Algorithm for SPH Method and Its Application to Simulation of Impact Failure of Ceramic Plate. Applied Sciences. 2023; 13(6):3790. https://doi.org/10.3390/app13063790
Chicago/Turabian StyleXiao, Yihua, and Kun Liu. 2023. "3D Surface-to-Surface Contact Algorithm for SPH Method and Its Application to Simulation of Impact Failure of Ceramic Plate" Applied Sciences 13, no. 6: 3790. https://doi.org/10.3390/app13063790
APA StyleXiao, Y., & Liu, K. (2023). 3D Surface-to-Surface Contact Algorithm for SPH Method and Its Application to Simulation of Impact Failure of Ceramic Plate. Applied Sciences, 13(6), 3790. https://doi.org/10.3390/app13063790

