Research Progress and Applications of Fe-Mn-Si-Based Shape Memory Alloys on Reinforcing Steel and Concrete Bridges
Abstract
1. Introduction
2. Material Properties of Fe-SMA
2.1. Introduction of Fe-Mn-Si Alloys
2.2. SME and Activation Recovery Performance
3. Mechanical Performance of Fe-SMA
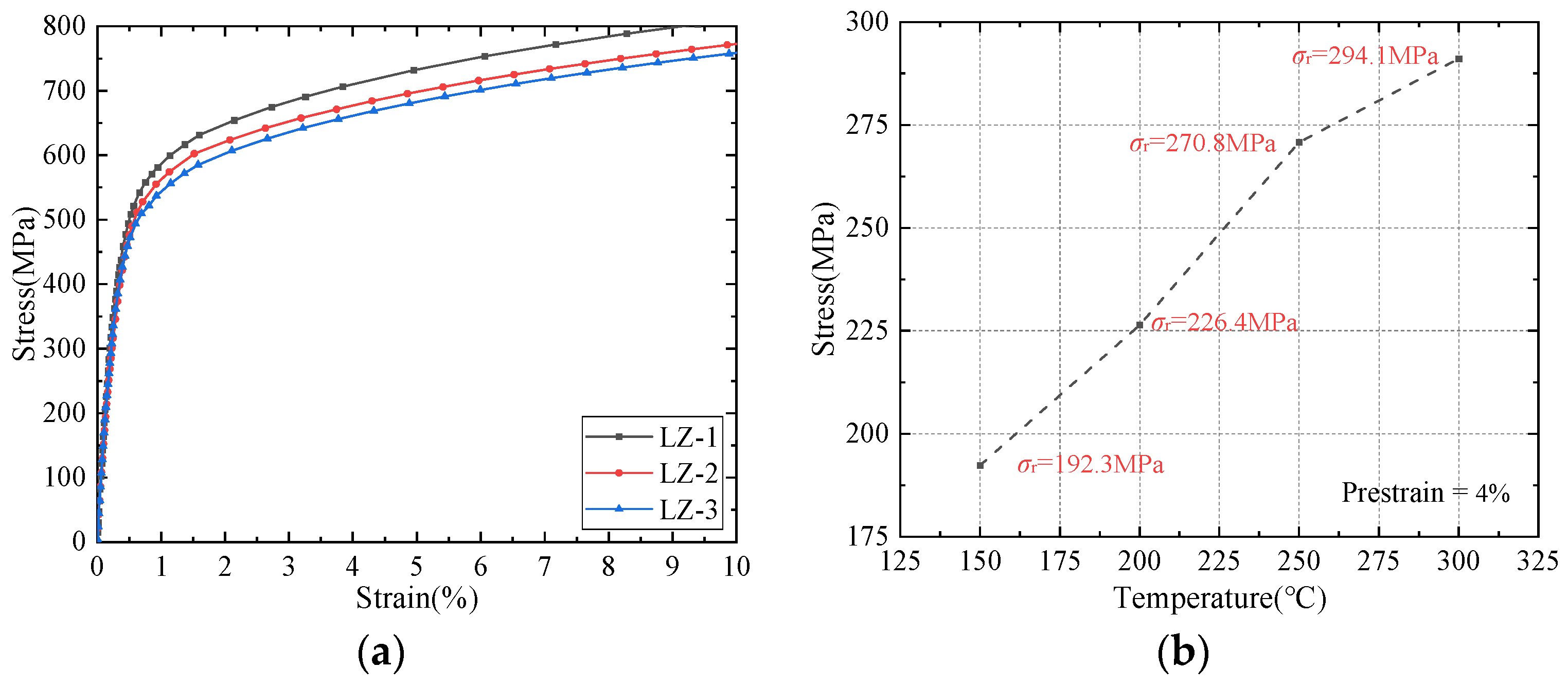
3.1. Basic Mechanical Properties
3.2. Cyclic Mechanical Properties
3.3. Stress Relaxation and Creep
4. Strengthening Mechanism with Activated Fe-SMA
4.1. Structural Reinforcement Mechanism
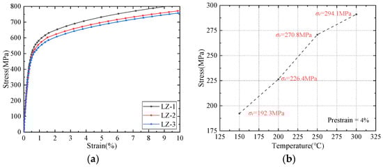
4.2. Recovery Stress Level of Fe-SMA
5. Reinforcement of Steel Beams (Plates) Using Fe-SMA
5.1. Joining Methods between Fe-SMA and Parent Steel Components
5.2. Application of Reinforcing Steel Beams (Plates)
5.3. Practical Reinforcement of Steel Bridge
6. Reinforcement of Concrete Beams with Fe-SMA
6.1. Installation Method of Fe-SMA
6.2. Shear Performance Enhancement
6.3. Flexural Performance Enhancement
7. Conclusions and Prospects
- The constitutive behavior of Fe-SMA is highly nonlinear, and the elastic modulus decreases with the increasing stress. For Fe-SMA, the material constitutive relationship, the energy dissipation capacity under cyclic load, and the mechanical characteristic parameters under fatigue load need further study.
- As a metal material, the creep and relaxation under load of Fe-SMA are pronounced. The influence of creep and relaxation on the recovery stress loss under the combined action of temperature, time, and stress level needs systematic research and quantitative analysis.
- The four characteristic temperatures have a great influence on the mechanical properties of Fe-SMA. Therefore, its mechanical properties at different ambient temperatures (low temperature, normal temperature, and high temperature) need to be studied, which can be used as the data basis for numerical simulation and the theoretical analysis of structural reinforcement.
- It is vital to study the fire resistance of structures reinforced with Fe-SMA. Whether the fire will reactivate Fe-SMA, whether the connection between the Fe-SMA members and reinforced structures in fire is reliable, and whether Fe-SMA will play a protective role for structures in fire need to be systematically studied.
- For the local cracking of structures, a small range of repairs can be carried out near cracks. In this case, the welding method can be considered to connect Fe-SMA and the parent steel components, and its feasibility, reliability, and durability need to be studied and analyzed.
- Most of the developed joining modes are in the stage of method design, test verification, and model application, and lack systematic research. The theoretical calculation and optimization design of bolt anchorage, nail–anchor, adhesive bonding, and other joining methods are the focus of future research.
Author Contributions
Funding
Institutional Review Board Statement
Informed Consent Statement
Data Availability Statement
Conflicts of Interest
References
- Woo, S.K.; Nam, J.W.; Kim, J.H.J.; Han, S.H.; Byun, K.J. Suggestion of Flexural Capacity Evaluation and Prediction of Prestressed CFRP Strengthened Design. Eng. Struct. 2008, 30, 3751–3763. [Google Scholar] [CrossRef]
- Ghafoori, E.; Motavalli, M.; Botsis, J. Fatigue Strengthening of Damaged Metallic Beams Using Prestressed Unbonded and Bonded CFRP Plates. Int. J. Fatigue 2012, 44, 303–315. [Google Scholar] [CrossRef]
- Ghafoori, E.; Motavalli, M.; Nussbaumer, A. Design Criterion for Fatigue Strengthening of Riveted Beams in a 120-year-old Railway Metallic Bridge Using Pre-stressed CFRP Plates. Compos. Part B Eng. 2015, 68, 1–13. [Google Scholar] [CrossRef]
- Qiang, X.H.; Bijlaard, F.S.K.; Kolstein, H.; Jiang, X. Behaviour of Beam-to-column High Strength Steel Endplate Connections Under Fire Conditions-Part 1: Experimental Study. Eng. Struct. 2014, 64, 23–38. [Google Scholar] [CrossRef]
- Qiang, X.H.; Shu, Y.; Jiang, X. Mechanical Behaviour of High Strength Steel T-stubs at Elevated Temperatures: Experimental Study. Thin-Walled Struct. 2023, 182, 110314. [Google Scholar] [CrossRef]
- Araujo, M.; Castro, J.M. A Critical Review of European and American Provisions for the Seismic Assessment of Existing Steel Moment-Resisting Frame Buildings. J. Earthq. Eng. 2017, 22, 1336–1364. [Google Scholar] [CrossRef]
- Huo, T.; Tong, L.W. An Approach to Wind-induced Fatigue Analysis of Wind Turbine Tubular Towers. J. Constr. Steel Res. 2020, 166, 105917. [Google Scholar] [CrossRef]
- Janke, L.; Czaderski, C.; Motavalli, M.; Ruth, J. Applications of Shape Memory Alloys in Civil Engineering Structures-Overview, Limits and New Idea. Mater. Struct. 2005, 38, 578–592. [Google Scholar] [CrossRef]
- Hariri, N.G.; Almadani, I.K.; Osman, I.S. A State-of-the-Art Self-Cleaning System Using Thermomechanical Effect in Shape Memory Alloy for Smart Photovoltaic Applications. Materials 2022, 15, 5704. [Google Scholar] [CrossRef]
- Cao, S.S.; Ozbulut, O.E. Long-stroke Shape Memory Alloy Restrainers for Seismic Protection of Bridges. Smart Mater. Struct. 2020, 29, 115005. [Google Scholar] [CrossRef]
- Wang, B.; Zhu, S.Y. Superelastic SMA U-shaped Dampers with Self-centering Functions. Smart Mater. Struct. 2018, 27, 055003. [Google Scholar] [CrossRef]
- Sergio, D.A.O.; Vanderson, M.D.; Marcelo, A.S.; Pedro, M.C.L.P.; Alberto, P. A Phenomenological Description of Shpae Memory Alloy Transformation Induced Plasticity. Mecc. J. Ital. Assoc. Theor. Appl. Mech. 2018, 53, 2503–2523. [Google Scholar] [CrossRef]
- Zou, Q.; Dang, G.; Li, Y.G.; Wang, M.Z.; Xiong, J.C. Research Progress of Iron-based Shape Memory Alloys: A Review. Mater. Rep. 2019, 23, 3955–3962. (In Chinese) [Google Scholar]
- Cao, S.S.; Ozbulut, O.E.; Shi, F.; Deng, J. Experimental and Numerical Investigations on Hysteretic Response of a Multi-level SMA/lead Rubber Bearing Seismic Isolation System. Smart Mater. Struct. 2022, 31, 035024. [Google Scholar] [CrossRef]
- Montoya-Coronado, L.A.; Ruiz-Pinilla, J.G.; Ribas, C.; Cladera, A. Experimental Study on Shear Strengthening of Shear Critical Rc Beams Using Iron-based Shape Memory Alloy Strips. Eng. Struct. 2019, 200, 109680. [Google Scholar] [CrossRef]
- Seo, J.W.; Kim, Y.C.; Hu, J.W. Pilot Study for Investigating the Cyclic Behavior of Slit Damper Systems with Recentering Shape Memory Alloy (SMA) Bending Bars Used for Seismic Restrainers. Appl. Sci. 2015, 5, 187–208. [Google Scholar] [CrossRef]
- Mas, B.; Biggs, D.; Vieito, I.; Shaw, J.; Vieito, I.; Martínez-Abella, F. Superelastic Shape Memory Alloy Cables for Reinforced Concrete Applications. Constr. Build. Mater. 2017, 148, 307–320. [Google Scholar] [CrossRef]
- Tabrizikahou1, A.; Kuczma, M.; Łasecka-Plura, M.; Farsangi, E.N.; Noori, M.; Gardoni, P.; Li, S.F. Application and modelling of Shape-Memory Alloys for structural vibration control: State-of-the-art review. Constr. Build. Mater. 2022, 342, 127975. [Google Scholar] [CrossRef]
- Deng, J.; Hu, F.; Ozbulut, O.E.; Cao, S.S. Verification of Multi-level SMA/lead Rubber Bearing Isolation System for Seismic Protection of Bridges. Soil Dyn. Earthq. Eng. 2022, 161, 107380. [Google Scholar] [CrossRef]
- Maji, A.K.; Negret, I. Smart Prestressing with Shape-Memory Alloy. J. Eng. Mech. 1998, 124, 1121–1128. [Google Scholar] [CrossRef]
- Czaderski, C.; Hahnebach, B.; Motavallia, M. RC Beam with Variable Stiffness and Strength. Constr. Build. Mater. 2006, 20, 824–833. [Google Scholar] [CrossRef]
- Rogowski, J.; Kotynia, R. Comparison of Prestressing Methods with CFRP and SMA Materials in Flexurally Strengthened RC Members. Materials 2022, 15, 1231. [Google Scholar] [CrossRef] [PubMed]
- Ölander, A. An Electrochemical Investigation of Solid Cadmium-Gold Alloys. J. Am. Chem. Soc. 1932, 54, 3819–3833. [Google Scholar] [CrossRef]
- Kurdjumov, G.V.; Khandros, L.G. First Reports of The Thermoelastic Behaviour of The Martensitic Phase of Au-Cd Alloys. Dokl. Akad. Nauk. SSSR 1949, 66, 211–221. [Google Scholar]
- Chang, L.C.; Read, T.A. Behavior of The Elastic Properties of AuCd. Trans. Met. Soc. AIME 1951, 191, 47–52. [Google Scholar]
- Buehler, W.J.; Gilfrich, J.V.; Wiley, R.C. Effect of Low-Temperature Phase Changes on the Mechanical Properties of Alloys near Composition TiNi. J. Appl. Phys. 1963, 34, 1475–1477. [Google Scholar] [CrossRef]
- Otsuka, K. Origin of Memory Effect in Cu-Al-Ni Alloy. Jpn. J. Appl. Phys. 1971, 10, 571–579. [Google Scholar] [CrossRef]
- Sato, A.; Chishima, E.; Soma, K.; Mori, T. Shape Memory Effect in γ⇄ε Transformation in Fe-30Mn-1Si Alloy Single Crystals. Acta Metall. 1982, 30, 1177–1183. [Google Scholar] [CrossRef]
- Sato, A.; Chishima, E.; Yamaji, Y. Orientation and Composition Dependencies of Shape Memory Effect in Fe-Mn-Si Alloys. Acta Metall. 1984, 32, 539–547. [Google Scholar] [CrossRef]
- Mohd, J.J.; Leary, M.; Subic, A.; Gibson, M.A. A Review of Shape Memory Alloy Research, Applications and Opportunities. Mater. Des. 2014, 56, 1078–1113. [Google Scholar] [CrossRef]
- Rosa, D.I.H.; Hartloper, A.; Sousa, A.D.C.E.; Lignos, D.G.; Motavalli, M.; Ghafoori, E. Experimental Behavior of Iron-based Shape Memory Alloys under Cyclic Loading Histories. Constr. Build. Mater. 2021, 272, 121712. [Google Scholar] [CrossRef]
- Cladera, A.; Weber, B.; Leinenbach, C. Iron-based Shape Memory Alloys for Civil Engineering Structures: An Overview. Constr. Build. Mater. 2014, 63, 281–293. [Google Scholar] [CrossRef]
- Czaderski, C.; Shahverdi, M.; Michels, J. Iron Based Shape Memory Alloys as Shear Reinforcement for Bridge Girders. Constr. Build. Mater. 2021, 274, 121793. [Google Scholar] [CrossRef]
- Yeon, Y.M.; Hong, K.N.; Ji, S.W. Flexural Behavior of Self-Prestressed RC Slabs with Fe-Based Shape Memory Alloy Rebar. Appl. Sci. 2022, 12, 1640. [Google Scholar] [CrossRef]
- Choi, E.; Ostadrahimi, A.; Kim, W.J.; Seo, J. Prestressing Effect of Embedded Fe-Based SMA Wire on the Flexural Behavior of Mortar Beams. Eng. Struct. 2021, 227, 111472. [Google Scholar] [CrossRef]
- Yamauchi, K.; Ohkata, I.; Tsuchiya, K.; Miyazaki, S. Shape Memory and Superelastic Alloys: Technologies and Applications; Woodhead Publishing Limited: Cambridge, UK, 2011; Chapter 12; pp. 141–159. [Google Scholar]
- Wayman, C.M. On Memory Effects Related to Martensitic Transformations and Observations in β-Brass and Fe3Pt. Scr. Metall. 1971, 5, 489–492. [Google Scholar] [CrossRef]
- Sohmura, T.; Oshima, R.; Fujita, F.E. Thermoelastic FCC-FCT Martensitic Transformation in Fe-Pd Alloy. Scr. Metall. 1980, 14, 855–856. [Google Scholar] [CrossRef]
- Xiao, F.; Fukuda, T.; Kakeshita, T.; Takahashi, K. Concentration Dependence of FCC to FCT Martensitic Transformation in Fe-Pd Alloys. J. Alloys Compd. 2013, 577, S323–S326. [Google Scholar] [CrossRef]
- Maki, T.; Kobayashi, K.; Minato, M.; Tamura, I. Thermoelastic Martensite in an Ausaged Fe-Ni-Ti-Co Alloy. Scr. Metall. 1984, 18, 1105–1109. [Google Scholar] [CrossRef]
- Cesari, E.; Chernenko, V.A.; Kokorin, V.V.; Pons, J.; Seguí, C. Physical Properties of Fe-Co-Ni-Ti Alloy in the Vicinity of Martensitic Transformation. Scr. Mater. 1999, 40, 341–345. [Google Scholar] [CrossRef]
- Guimarães, J.R.C.; Rios, P.R. The Mechanical-induced Martensite Transformation in Fe-Ni-C Alloys. Acta Mater. 2015, 84, 436–442. [Google Scholar] [CrossRef]
- Xu, Z.Y.; Jiang, B.H. Shape Memory Materials; Shanhai Jiaotong University Press: Shanghai, China, 2000; pp. 204–220. (In Chinese) [Google Scholar]
- Li, K.; Dong, Z.Z.; Liu, Y.C. A Newly Developed Fe-based Shape Memory Alloy Suitable for Smart Civil Engineering. Smart Mater. Struct. 2013, 22, 045002. [Google Scholar] [CrossRef]
- Sawaguchi, T.; Maruyama, T.; Otsuka, H.; Kushibe, A.; Inoue, Y.; Tsuzaki, K. Design Concept and Applications of Fe-Mn-Si-Based Alloys-from Shape-Memory to Seismic Response Control. Mater. Trans. 2016, 57, 283–293. [Google Scholar] [CrossRef]
- Soroushian, P.; Ostowari, K.; Nossoni, A.; Chowdhury, H. Repair and Strengthening of Concrete Structures through Application of Corrective Posttensioning Forces with Shape Memory Alloys. Transp. Res. Board 2001, 1770, 20–26. [Google Scholar] [CrossRef]
- Sato, A.; Kubo, H.; Maruyama, T. Mechanical Properties of Fe-Mn-Si Based SMA and The Application. Mater. Trans. 2006, 47, 571–579. [Google Scholar] [CrossRef]
- Otsuka, H.; Yamada, H.; Maruyama, T.; Tanahashi, H.; Matsuda, S.; Murakami, M. Effects of Alloying Additions on Fe-Mn-Si Shape Memory Alloys. Trans. Iron Steel Inst. Jpn. 1990, 30, 674–679. [Google Scholar] [CrossRef]
- Koyama, M.; Sawaguchi, T.; Tsuzaki, K. Si Content Dependence on Shape Memory and Tensile Properties in Fe–Mn–Si–C Alloys. Mater. Sci. Eng. A 2011, 528, 2882–2888. [Google Scholar] [CrossRef]
- Sawaguchi, T.; Nikulin, I.; Ogawa, K.; Sekido, K.; Takamori, S.; Maruyama, T.; Chiba, Y.; Kushibe, A.; Inoue, Y.; Tsuzaki, K. Designing Fe–Mn–Si Alloys with Improved Low-cycle Fatigue Lives. Scr. Mater. 2015, 99, 49–52. [Google Scholar] [CrossRef]
- Lin, H.C.; Lin, K.M.; Lin, C.S.; Chen, F.H. The Corrosion Behavior of Fe-Based Shape Memory Alloys. Corros. Sci. 2002, 14, 439–442. [Google Scholar] [CrossRef]
- Maji, B.C.; Das, C.M.; Krishnan, M.; Ray, R.K. The Corrosion Behaviour of Fe-15Mn-7Si-9Cr-5Ni Shape Memory Alloy. Corros. Sci. 2006, 48, 937–949. [Google Scholar] [CrossRef]
- Wan, J.F.; Chen, S.P.; Hsu, T.Y.; Huang, Y.N. Modulus Softening During The γ→ɛ Martensitic Transformation in Fe-25Mn-6Si-5Cr-0.14N Alloys. Mater. Sci. Eng. A 2006, 438, 887–890. [Google Scholar] [CrossRef]
- Wang, D.F.; Chen, Y.R.; Gong, F.Y.; Liu, D.Z.; Liu, W.X. The Effect of Thermomechanical Training on the Microstructures of Fe-Mn-Si Shape Memory Alloy. J. Phys. IV (Proc.) 1995, 5, 527–530. [Google Scholar] [CrossRef]
- Kajiwara, S.; Liu, D.Z.; Kikuchi, T.; Shinya, N. Remarkable Improvement of Shape Memory Effect in Fe-Mn-Si Based Shape Memory Alloys by Producing NbC Precipitate. Scr. Mater. 2001, 44, 2809–2814. [Google Scholar] [CrossRef]
- Farjami, S.; Hiraga, K.; Kubo, H. Shape Memory Effect and Crystallographic Investigation in VN Containing Fe-Mn-Si-Cr Alloys. Mater. Trans. 2004, 45, 930–935. [Google Scholar] [CrossRef]
- Dong, Z.Z.; Klotz, U.E.; Leinenbach, C.; Bergamini, A.; Czaderski, C.; Motavalli, M. A Novel Fe-Mn-Si Shape Memory Alloy with Improved Shape Recovery Properties by VC Precipitation. Adv. Eng. Mater. 2009, 11, 40–44. [Google Scholar] [CrossRef]
- Murakami, M.; Otsuka, H.; Suzuki, H.; Matsuda, S. Complete Shape Memory Effect in Polycrystalline Fe-Mn-Si Alloys. In Proceedings of the International Conference on Martensitic Transformations, Nara, Japan, 26–30 August 1986; pp. 985–990. [Google Scholar]
- Dong, Z.Z.; Kajiwara, S.; Kikuchi, T.; Sawaguchi, T. Effect of Pre-deformation at Room Temperature on Shape Memory Properties of Stainless Type Fe–15Mn–5Si–9Cr–5Ni–(0.5–1.5)NbC Alloys. Acta Mater. 2005, 53, 4009–4018. [Google Scholar] [CrossRef]
- Dong, Z.Z.; Sawaguchi, T.; Kajiwara, S.; Kikuchi, T.; Kim, S.H.; Lee, G.C. Microstructure Change and Shape Memory Characteristics in Welded Fe-28Mn-6Si-5Cr-0.53Nb-0.06C Alloy. Mater. Sci. Eng. A 2006, 438, 800–803. [Google Scholar] [CrossRef]
- Zhang, W.; Wen, Y.H.; Li, N.; Xie, W.L.; Wang, S.H. Directional Precipitation of Carbides Induced by c/e Interfaces in an FeMnSiCrNiC Alloy Aged after Deformation at Different Temperature. Mater. Sci. Eng. A 2007, 459, 324–329. [Google Scholar]
- Otsuka, K.; Wayman, C.M. Shape Memory Materials; Cambridge University Press: Cambridge, UK, 1998. [Google Scholar]
- Qiang, X.H.; Chen, L.L.; Jiang, X. Achievements and Perspectives on Fe-Based Shape Memory Alloys for Rehabilitation of Reinforced Concrete Bridges: An Overview. Materials 2021, 22, 8089. [Google Scholar] [CrossRef]
- Lei, Z. Fe-based Shape-memory Alloy and its Applications. Dev. Appl. Mater. 2000, 15, 40–45. (In Chinese) [Google Scholar]
- Jin, X.; Jin, M.; Geng, Y. Recent Development of Martensitic Transformation in Ferrous Shape Memory Alloys. Mater. China 2011, 56, 32–41. (In Chinese) [Google Scholar]
- Lee, W.J.; Weber, B.; Feltrin, G.; Czaderski, C.; Motavalli, M.; Leinenbach, C. Phase Transformation Behavior under Uniaxial Deformation of An Fe-Mn-Si-Cr-Ni-VC Shape Memory Alloy. Mater. Sci. Eng. A 2013, 581, 1–7. [Google Scholar] [CrossRef]
- Shahverdi, M.; Michels, J.; Czaderski, C.; Motavalli, M. Iron-based Shape Memory Alloy Strips for Strengthening RC Members: Material Behavior and Characterization. Constr. Build. Mater. 2018, 173, 586–599. [Google Scholar] [CrossRef]
- Sun, L.; Hhang, W.M. Nature of The Multistage Transformation in Shape Memory Alloys Upon Heating. Met. Sci. Heat Treat. 2009, 51, 573–578. [Google Scholar] [CrossRef]
- Ghafoori, E.; Neuenschwander, M.; Shahverdi, M.; Czaderski, C.; Fontana, M. Elevated Temperature Behavior of an Iron-based Shape Memory Alloy Used for Prestressed Strengthening of Civil Structures. Constr. Build. Mater. 2019, 211, 437–452. [Google Scholar] [CrossRef]
- Maruyama, T.; Kurita, T.; Kozaki, S.; Andou, K.; Farjami, S.; Kubo, H. Innovation in Producing Crane Rail Fish Plate Using Fe-Mn-Si-Cr Based Shape Memory Alloy. Mater. Sci. Technol. 2008, 24, 908–912. [Google Scholar] [CrossRef]
- Shahverdi, M.; Czaderski, C.; Annen, P.; Motavalli, M. Strengthening of RC Beams by Iron-based Shape Memory Alloy Bars Embedded in a Shotcrete Layer. Eng. Struct. 2016, 117, 263–273. [Google Scholar] [CrossRef]
- Czaderski, C.; Shahverdi, M.; Brönnimann, R.; Leinenbach, C.; Motavalli, M. Feasibility of Iron-Based Shape Memory Alloy Strips for Prestressed Strengthening of Concrete Structures. Constr. Build. Mater. 2014, 56, 94–105. [Google Scholar] [CrossRef]
- Hosseini, A.; Ghafoori, E.; Al-Mahaidi, R.; Zhao, X.L.; Motavalli, M. Strengthening of A 19th-century Roadway Metallic Bridge Using Nonprestressed Bonded and Prestressed Unbonded CFRP Plates. Constr. Build. Mater. 2019, 209, 240–259. [Google Scholar] [CrossRef]
- Ghafoori, E.; Hosseini, A.; Al-Mahaidi, R.; Zhao, X.L.; Motavalli, M. Prestressed CFRP-Strengthening and Long-Term Wireless Monitoring of an Old Roadway Metallic Bridge. Eng. Struct. 2018, 176, 585–605. [Google Scholar] [CrossRef]
- Hosseini, E.; Ghafoori, E.; Leinenbach, C.; Motavalli, M.; Holdsworth, S. Stress Recovery and Cyclic Behaviour of An Fe-Mn-Si Shape Memory Alloy after Multiple Thermal Activation. Smart Mater. Struct. 2018, 27, 025009. [Google Scholar] [CrossRef]
- Zhang, Z.X.; Zhang, J.; Wu, H.L.; Ji, Y.Z.; Kumar, D. Iron-Based Shape Memory Alloys in Construction: Research, Applications and Opportunities. Materials 2022, 5, 1723. [Google Scholar] [CrossRef] [PubMed]
- GB/T 1591-2018; High Strength Low Alloy Structural Steels. Standardization Administration of China: Beijing, China, 2018. (In Chinese)
- GB/T 700-2006; Carbon Structural Steels. Standardization Administration of China: Beijing, China, 2006. (In Chinese)
- Hong, K.; Lee, S.; Yeon, Y.M.; Jung, K. Flexural Response of Reinforced Concrete Beams Strengthened with Near-Surface-Mounted Fe-Based Shape-Memory Alloy Strips. Int. J. Concr. Struct. Mater. 2018, 12, 45. [Google Scholar] [CrossRef]
- Rojob, H.; El-Hacha, R. Fatigue Performance of RC Beams Strengthened with Self-prestressed Iron-based Shape Memory Alloys. Eng. Struct. 2018, 168, 35–43. [Google Scholar] [CrossRef]
- El-Hacha, R.; Rojob, H. Flexural Strengthening of Large-scale Reinforced Concrete Beams Using Near-surface-mounted Self-prestressed Iron-based Shape-memory Alloy Strips. PCI J. 2018, 63, 55–65. [Google Scholar] [CrossRef]
- Qiang, X.H.; Wu, Y.P.; Jiang, X. Experimental Investigation on Mechanical Properties and Activation-recovery Performance of Fe-based Shape memory alloys. J. Tongji Univ. (Nat. Sci.), 2022; in press. [Google Scholar]
- Ghafoori, E.; Hosseini, E.; Leinenbach, C. Fatigue Behavior of a Fe-Mn-Si Shape Memory Alloy Used for Prestressed Strengthening. Mater. Des. 2017, 133, 349–362. [Google Scholar] [CrossRef]
- Koster, M.; Lee, W.J.; Schwarzenberger, M.; Leinenbach, C. Cyclic Deformation and Structural Fatigue Behavior of an FE-Mn-Si Shape Memory Alloy. Mater. Sci. Eng. A 2015, 637, 29–39. [Google Scholar] [CrossRef]
- Hong, K.N.; Yeon, Y.M.; Shim, W.B.; Kim, D.H. Recovery Behavior of Fe-Based Shape Memory Alloys under Different Restraints. Appl. Sci. 2020, 10, 3441. [Google Scholar] [CrossRef]
- Inoue, Y.; Kushibe, A.; Umemura, K.; Mizushima, Y.; Sawaguchi, T.; Nakamura, T.; Otsuka, H.; Chiba, Y. Fatigue-resistant Fe-Mn-Si-based Alloy Seismic Dampers to Counteract Long-period Ground Motion. Jpn. Archit. Rev. 2020, 4, 76–87. [Google Scholar] [CrossRef]
- Fang, C.; Wang, W.; Ji, Y.; Yam, M.C. Superior Low-cycle Fatigue Performance of Iron-based SMA for Seismic Damping Application. J. Constr. Steel Res. 2021, 184, 106817. [Google Scholar] [CrossRef]
- El-Hacha, R.; Michels, J.; Shahverdi, M.; Czaderski, C. Mechanical Performance of Iron-Based Shape-Memory Alloy Ribbed Bars for Concrete Prestressing. ACI Mater. J. 2018, 115, 877–886. [Google Scholar] [CrossRef]
- Schranz, B.; Czaderski, C.; Shahverdi, M.; Michels, J.; Motavalli, M. Ribbed Iron-based Shape Memory Alloy Bars for Pre-stressed Strengthening Applications. In Proceedings of the International Association for Bridge and Structural Engineering Symposium, Guimaraes, Portugal, 27–29 March 2019. [Google Scholar]
- Leinenbach, C.; Lee, W.J.; Lis, A.; Arabi-Hashemi, A.; Cayron, C.; Weber, B. Creep and Stress Relaxation of a FeMnSi-based Shape Memory Alloy at Low Temperatures. Mater. Sci. Eng. A 2016, 677, 106–115. [Google Scholar] [CrossRef]
- Wand, W.; Chan, T.M.; Shao, H.L. Seismic Performance of Beam-column Joints with SMA Tendons Strengthened by Steel Angles. J. Constr. Steel Res. 2015, 109, 61–71. [Google Scholar] [CrossRef]
- El-tahan, M.; Dawood, M.; Song, G. Development of a Self-stressing NiTiNb Shape Memory Alloy (SMA)/Fiber Reinforced Polymer (FRP) Patch. Smart Mater. Struct. 2015, 24, 065035. [Google Scholar] [CrossRef]
- Li, L.Z.; Chen, T.; Gu, X.L.; Ghafoori, E. Heat Activated SMA-CFRP Composites for Fatigue Strengthening of Cracked Steel Plates. J. Compos. Constr. 2020, 24, 04020060. [Google Scholar] [CrossRef]
- Izadi, M.; Ghafoori, E.; Motavalli, M.; Maalek, S. Iron-based Shape Memory Alloy for the Fatigue Strengthening of Cracked Steel Plates: Effects of Re-activations and Loading Frequencies. Eng. Struct. 2018, 176, 953–967. [Google Scholar] [CrossRef]
- Lee, W.J.; Weber, B.; Leinenbach, C. Recovery Stress Formation in a Restrained Fe-Mn-Si-based Shape Memory Alloy Used for Prestressing or Mechanical Joining. Constr. Build. Mater. 2015, 95, 600–610. [Google Scholar] [CrossRef]
- Leinenbach, C.; Kramer, H.; Bernhard, C.; Eifler, D. Thermo-Mechanical Properties of an Fe-Mn-Si-Cr-Ni-VC Shape Memory Alloy with Low Transformation Temperature. Adv. Eng. Mater. 2012, 14, 62–67. [Google Scholar] [CrossRef]
- Shahverdi, M.; Czaderski, C.; Motavalli, M. Iron-based Shape Memory Alloys for Prestressed Near-surface Mounted Strengthening of Reinforced Concrete Beams. Constr. Build. Mater. 2016, 112, 28–38. [Google Scholar] [CrossRef]
- Izadi, M.; Ghafoori, E.; Shahverdi, M.; Motavalli, M.; Maalek, S. Development of An Iron-based Shape Memory Alloy (Fe-SMA) Strengthening System for Steel Plates. Eng. Struct. 2018, 174, 433–446. [Google Scholar] [CrossRef]
- Michels, J.; Shahverdi, M.; Czaderski, C. Flexural Strengthening of Structural Concrete with Iron-based Shape Memory Alloy Strips. Struct. Concr. 2018, 19, 876–891. [Google Scholar] [CrossRef]
- Baruj, A.; Kikuchi, T.; Kajiwara, S.; Shinya, N. Effect of Pre-Deformation of Austenite on Shape Memory Properties in Fe-Mn-Si-based Alloys Containing Nb and C. Mater. Trans. 2002, 43, 585–588. [Google Scholar] [CrossRef]
- Izadi, M.; Ghafoori, E.; Hosseini, A.; Motavalli, M.; Maalek, S.; Czaderski, C.; Shahverdi, M. Feasibility of Iron-based Shape Memory Alloy Strips for Prestressed Strengthening of Steel Plates. In Proceedings of the Fourth International Conference on Smart Monitoring, Assessment and Rehabilitation of Civil Structures (SMAR 2017), Zurich, Switzerland, 13–15 September 2017. [Google Scholar]
- Izadi, M.; Hosseini, A.; Michels, J.; Motavalli, M.; Ghafoori, E. Thermally Activated Iron-based Shape Memory Alloy for Strengthening Metallic Girders. Thin-Walled Struct. 2019, 141, 389–401. [Google Scholar] [CrossRef]
- Izadi, M.; Motavalli, M.; Ghafoori, E. Iron-based Shape Memory Alloy (Fe-SMA) for Fatigue Strengthening of Cracked Steel Bridge Connections. Constr. Build. Mater. 2019, 227, 116800. [Google Scholar] [CrossRef]
- Fritsch, E.; Izadi, M.; Ghafoori, E. Development of Nail-anchor Strengthening System with Iron-based Shape Memory Alloy (Fe-SMA) Strips. Constr. Build. Mater. 2019, 229, 117042. [Google Scholar] [CrossRef]
- Wang, W.D.; Hosseini, A.; Ghafoori, E. Experimental Study on Fe-SMA-to-steel Adhesively Bonded Interfaces Using DIC. Eng. Fract. Mech. 2021, 244, 107553. [Google Scholar] [CrossRef]
- Wang, W.D.; Li, L.Z.; Hosseini, A.; Ghafoori, E. Novel Fatigue Strengthening Solution for Metallic Structures Using Adhesively Bonded Fe-SMA Strips: A Proof of Concept Study. Int. J. Fatigue 2021, 148, 106237. [Google Scholar] [CrossRef]
- Ghafoori, E.; Motavalli, M. Innovative CFRP-Prestressing System for Strengthening Metallic Structures. J. Compos. Constr. 2015, 19, 04015006. [Google Scholar] [CrossRef]
- Hosseini, A.; Ghafoori, E.; Motavalli, M.; Nussbaumer, A.; Zhao, X.L.; Al-Mahaidi, R. Flat Prestressed Unbonded Retrofit System for Strengthening of Existing Metallic I-Girders. Compos. Part B Eng. 2018, 155, 156–172. [Google Scholar] [CrossRef]
- Wang, C.P.; Wen, Y.H.; Peng, H.B.; Xue, D.Q.; Li, N. Factors Affecting Recovery Stress in Fe-Mn-Si-Cr-Ni-C Shape Memory Alloys. Mater. Sci. Eng. A 2011, 528, 1125–1130. [Google Scholar] [CrossRef]
- Vjtěch, J.; Ryjáek, P.; Campos, M.J.; Ghafoori, E. Iron-Based Shape Memory Alloy for Strengthening of 113-Year Bridge. Eng. Struct. 2021, 248, 113231. [Google Scholar] [CrossRef]
- Cladera, A.; Montoya-Coronado, L.A.; Ruiz-Pinilla, J.; Ribas, C. Shear Strengthening of Slender Reinforced Concrete T-shaped Beams Using Iron-based Shape Memory Alloy Strips. Eng. Struct. 2020, 221, 111018. [Google Scholar] [CrossRef]
- Barros, J.A.O.; Ferreira, D.R.S.M.; Fortes, A.S. Assessing the Effectiveness of Embedding CFRP Laminates in the Near Surface for Structural Strengthening. Constr. Build. Mater. 2006, 20, 478–491. [Google Scholar] [CrossRef]
- Tan, C.; Jiang, X.; Qiang, X.H.; Xu, G.W. Flexural strengthening of full-scale RC columns with Adhesively-bonded longitudinal CFRP plates: An experimental investigation. J. Build. Eng. 2023, 67, 105969. [Google Scholar] [CrossRef]
- Schranz, B.; Czaderski, C.; Vogel, T.; Shahverdi, M. Bond Behaviour of Ribbed Near-Surface-Mounted Iron-Based Shape Memory Alloy Bars with Short Bond Lengths. Mater. Des. 2020, 191, 108647. [Google Scholar] [CrossRef]
- El-Hacha, R.; Soudki, K. Prestressed Near-surface Mounted Fibre Reinforced Polymer Reinforcement for Concrete Structures—A Review. Can. J. Civ. Eng. 2013, 40, 1127–1139. [Google Scholar] [CrossRef]






















| Stage | Alloys (Composition in Mass %) | Year | References |
|---|---|---|---|
| First stage: optimization of alloy elements | Fe-30Mn-1Si | 1982 | [28] |
| Fe-30Mn-6Si | 1984 | [29] | |
| Fe-32Mn-6Si | 1986 | [58] | |
| Fe-28Mn-6Si-5Cr | 1990 | [48] | |
| Fe-20Mn-5Si-8Cr-5Ni | |||
| Fe-16Mn-5Si-12Cr-5Ni | |||
| Fe-30Mn-6Si | 1995 | [54] | |
| Fe-28Mn-6Si-5Cr | 2001 | [46] | |
| Fe-18Mn-8Cr-4Si-2Ni-0.36Nb-0.36N | |||
| Fe-30Mn-6Si | 2002 | [51] | |
| Fe-30Mn-6Si-5Cr | |||
| Fe-13Mn-5Si-12Cr-5Ni | |||
| Fe-25Mn-6Si-5Cr-0.14N | 2006 | [53] | |
| Second stage: introduction of fine precipitates | Fe-28Mn-6Si-5Cr-0.5(Nb,C) | 2001 | [55] |
| Fe-28Mn-6Si-5Cr-1(V,N) | 2004 | [56] | |
| Fe-15Mn-5Si-9Cr-5Ni-(0.5-1.5)NbC | 2005 | [59] | |
| Fe-28Mn-6Si-5Cr-0.53Nb-0.06C | 2006 | [60] | |
| Fe-14Mn-5Si-8Cr-4Ni-0.16C | 2007 | [61] | |
| Fe-17Mn-5Si-10Cr-4Ni-1(V,C) | 2009 | [57] | |
| Fe-16Mn-5Si-10Cr-4Ni-1(V,N) | 2013 | [44] | |
| Fe-19Mn-4Si-8Cr-4Ni-0.01C | 2021 | [35] |
| Alloys | Mf (°C) | Ms (°C) | As (°C) | Af (°C) | Refs. |
|---|---|---|---|---|---|
| Fe-30Mn-1Si | — | 27 | 127 | — | [28] |
| Fe-28Mn-6Si-5Cr | — | 20 | 120 | 180 | [64] |
| Fe-14Mn-6Si-9Cr-5Ni | — | 20 | 70 | 300 | [65] |
| Fe-17Mn-5Si-10Cr-4Ni-1(V,C) | −90 | −75 | 85 | 110 | [57] |
| Fe-17Mn-5Si-10Cr-4Ni-1(V,C) | −64 | −60 | 103 | 162 | [66] |
| Fe-19Mn-4Si-8Cr-4Ni-0.01C | −100 | −38 | 138 | 218 | [35] |
| Materials | Density (kg/m3) | Elastic Modulus (GPa) | Thermal Expansion (K−1) | Poisson Ratio | Elongation (%) | Ultimate Strength (MPa) |
|---|---|---|---|---|---|---|
| Fe-SMA | 7200~7500 | 170 | 16.5 × 10−6 | 0.359 | 16~30 | 680~1000 |
| Steel–Q235 | 7860 | 208 | 11~13 × 10−6 | 0.294 | 25 | 467 |
| Steel–Q355 | 206 | 25 | 533 | |||
| Steel–Q690 | 218 | 7 | 990 | |||
| Concrete | 1950~2500 | 32.5 | 12 × 10−6 | 0.18~0.21 | — | — |
| Alloys | Elastic Modulus (Gpa) | σy,0.2 (MPa) | Ultimate Strength (MPa) | Ultimate Strain (%) | References |
|---|---|---|---|---|---|
| Fe-17Mn-5Si-10Cr-4Ni-1(V,C) | 194 | 476 | 950 | 45 | [15] |
| 184 | 450 | 950 | 54 | [31] | |
| 160 | 535 | ≈1000 | 47 | [67] | |
| 173 | 546 | 1015 | 54.9 | [83] | |
| 200 | 310 | 993 | 15.4 | [84] | |
| Fe-Mn-Si alloys | 133 | 463 | 863 | 12.4 | [79] |
| Fe-Mn-Si alloys | 186 | 490 | 894 | 35.5 | [82] |
| Fe-17Mn-5Si-5Cr-0.3C-1T | 125 | 599 | 1140 | 22.56 | [85] |
| Fe-17Mn-5Si-5Cr-4Ni-0.1C | 123 | 410 | 1080 | 39.51 | [85] |
| Fe-15Mn-4Si-10Cr-8Ni | 184 | 260 | 676 | 74 | [86] |
| Fe-Mn-Si alloys | 172 | 298 | 774 | 48.05 | [87] |
| Alloys | Specimens | Prestrain (%) | Activation Temperature (°C) | Recovery Stress (MPa) | Refs. | |
|---|---|---|---|---|---|---|
| Shape | Size (mm) | |||||
| Fe-17Mn-5Si-10Cr-4Ni-1(V,C) | Strip | 0.7 × 3 | 4% | 225 °C | 380 | [57] |
| 4% | 160 °C | 330 | ||||
| Strip | 0.9 × 3 | 4% | 160 °C | 580 | [96] | |
| Strip | 1.7 × 14 | 4% | 160 °C | 266 | [72] | |
| Strip | — | 4% | 160 °C | 350 | [95] | |
| Strip | 1.5 × 10 | 2% | 160 °C | 372 | [83] | |
| Strip | 1.7 × 25 | 2% | 160 °C | 177~200 | [97] | |
| Bar | φ8 | 4% | 160 °C | 277~305 | [71] | |
| Strip | 0.8 × 52.5 | 2% | 260 °C | 406 | [98] | |
| Strip | 1.5 × 100 | 2% | 160 °C | 292 | [99] | |
| 2% | 180 °C | 330 | ||||
| Fe-28Mn-6Si-5Cr-0.5(Nb,C) | Non pre-rolled | 4% | 400 °C | 145 | [100] | |
| 6% pre-rolled | 4% | 400 °C | 255 | |||
| 14% pre-rolled | 4% | 400 °C | 295 | |||
| Fe-28Mn-6Si-5Cr-0.53Nb-0.06C | Strip | — | 4% | 397 °C | 250 | [60] |
| Fe-16Mn-5Si-10Cr-4Ni-1(V,N) | — | — | 4% | 160 °C | 440 | [44] |
| Fe-28Mn-6Si-5Cr | Strip | — | 3% | 300 °C | 255 | [46] |
| Fe-18Mn-8Cr-4Si-2Ni-0.36Nb-0.36N | 3% | 300 °C | 185 | |||
| Fe-Mn-Si alloy | Strip | 1.5 × 20 | 2% | 160 °C | 308 | [79] |
| 4% | 160 °C | 348 | ||||
| Fe-Mn-Si alloy | Bar | φ14.3 | 6% | 350 °C | 160~215 | [80] |
| Fe-Mn-Si alloy | Strip | 1.5 × 15.8 | ≈3% | 155 °C | 268~295 | [81] |
| Fe-19Mn-4Si-8Cr-4Ni-0.01C | Wire | φ0.7 | 4% | 250 °C | 268 | [35] |
| 5% | 250 °C | 280 | ||||
| Dimensions | Joining Methods | Activation Ways | Reinforcement Effect |
|---|---|---|---|
| Steel plate [98] | Bolt anchorage | Electrical resistance | Introduced a compressive stress of 74 MPa in the steel plate and considerably increased the yield load and carrying capacity of the steel plate. |
| Cracked steel plate [94] | Bolt anchorage | Electrical resistance | Introduced a compressive stress of 71 Mpa in the steel plate. Under the stress amplitude of 75 Mpa, the fatigue life of the strengthened steel plate increased by 2.8 times, and the fatigue crack propagation is inhibited after the width of Fe-SMA strips is doubled. |
| Cracked steel plate [106] | Adhesive bonding | Heat gun | Three mechanisms of added stiffness, bridging mechanism, and prestressing mechanism contributed to retarding the fatigue crack propagation. The fatigue life of repaired steel plate was 3.51 times higher than that of the unrepaired steel plate. |
| INP300 steel beam with 6.4 m-span [102] | Friction clamp | Electrical resistance | Compressive stresses of 10–30 Mpa were applied to the bottom flange and upward deflections of 0.7–2.2 mm were achieved of the repaired steel beam. After 2 × 106 loading cycles, neither slippage of the clamping system nor prestress loss of Fe-SMA were observed. |
| Double-angle connection of Stringer-to- floor beam [103] | Friction clamp | Electrical resistance | The activated Fe-SMA strips could realize complete fatigue crack arrest and greatly improve the fatigue performance of the joint. For the unreinforced joint, the crack propagates up to 50% of the connection depth after 2 × 106 loading cycles. |
| IPE240 and INP300 steel beams with 5.3 m-span [104] | Nail–anchor | Electrical resistance | After reinforcement, upward deflections of 89 mm at the mid-span of the steel beam occurred, and the strain of the bottom flange decreased from 0.88 to 0.808 at the same load level. No significant prestressing loss or anchorage failure were observed during 2 × 106 fatigue cycles. |
Disclaimer/Publisher’s Note: The statements, opinions and data contained in all publications are solely those of the individual author(s) and contributor(s) and not of MDPI and/or the editor(s). MDPI and/or the editor(s) disclaim responsibility for any injury to people or property resulting from any ideas, methods, instructions or products referred to in the content. |
© 2023 by the authors. Licensee MDPI, Basel, Switzerland. This article is an open access article distributed under the terms and conditions of the Creative Commons Attribution (CC BY) license (https://creativecommons.org/licenses/by/4.0/).
Share and Cite
Qiang, X.; Wu, Y.; Wang, Y.; Jiang, X. Research Progress and Applications of Fe-Mn-Si-Based Shape Memory Alloys on Reinforcing Steel and Concrete Bridges. Appl. Sci. 2023, 13, 3404. https://doi.org/10.3390/app13063404
Qiang X, Wu Y, Wang Y, Jiang X. Research Progress and Applications of Fe-Mn-Si-Based Shape Memory Alloys on Reinforcing Steel and Concrete Bridges. Applied Sciences. 2023; 13(6):3404. https://doi.org/10.3390/app13063404
Chicago/Turabian StyleQiang, Xuhong, Yapeng Wu, Yuhan Wang, and Xu Jiang. 2023. "Research Progress and Applications of Fe-Mn-Si-Based Shape Memory Alloys on Reinforcing Steel and Concrete Bridges" Applied Sciences 13, no. 6: 3404. https://doi.org/10.3390/app13063404
APA StyleQiang, X., Wu, Y., Wang, Y., & Jiang, X. (2023). Research Progress and Applications of Fe-Mn-Si-Based Shape Memory Alloys on Reinforcing Steel and Concrete Bridges. Applied Sciences, 13(6), 3404. https://doi.org/10.3390/app13063404

