Abstract
Two North bluebells, Mertonian stylosa and M. serrulata, are plants used in the traditional medicine of the Buryats as wound healing and antitumor remedies. Both mertensias have been used by local healers as substitutes for the rare Tibetan raw material Cynoglossum amabile. The lack of information on the chemical composition of M. stylosa and M. serrulata herbs has prompted the study of metabolites, in particular phenolic compounds and alkaloids, as components with high biological activity. In this study, the application of liquid chromatography–mass spectrometry for the metabolite profiling of both Mertensia species resulted in the identification of 30 compounds, including hydroxycinnamates, flavonoids, and pyrrolizidine alkaloids. In particular, lycopsamine N-oxide was the dominant alkaloid in M. stylosa (5.27 mg/g) and M. serrulata (2.14 mg/g) herbs, 5-O-caffeoylquinic acid (43.41 mg/g) and rutin (42.40 mg/g) prevailed among the phenolic compounds in M. stylosa herb, while rutin (25.72 mg/g) was the dominant compound of the M. serrulata herb. The investigated extracts of M. stylosa and M. serrulata herb revealed good scavenging capacity against DPPH•, ABTS•+, and DMPD•+ radicals. To our knowledge, this is the first study of M. stylosa and M. serrulata alkaloids and phenolic compounds and antioxidativity.
1. Introduction
Medicinal plants are significant resources for the health systems of traditional societies. Currently, approximately 70–80% of the rural population in developing countries in Asia has been found to be dependent on traditional medicine for primary health care []. Traditional medicine has no theoretical foundation or written sources and is transferred from one representative to another via a direct transfer of knowledge and skills within a limited population []. The nomadic peoples of Asia, in particular the Buryats, have had their own traditional medicine, which has existed since the 18th century in the Transbaikal region. The interpretation of traditional Tibetan medicine that arrived with Buddhism and the influence of the experience of Buryat folk medicine significantly changed the range of medicines, which led to the emergence of the Buryat branch of Tibetan medicine []. The Buryat emchi lamas often resorted to replacing raw materials of Tibetan and Indian origin with local plants in their medical practice because herbs, leaves, and flowers often deteriorated during transportation. In the selection of substitutes, the Buryat emchi lamas mainly focused on the descriptions of plants and pictures in Tibetan treatises. It has also been implied that the medicinal properties of substitute plants are similar or sufficiently similar to those of plants described in the treatises [].
Species of the genus Mertensia (bluebells) are one of such substitute plants in Buryat traditional medicine. Emchi lamas replaced the Tibetan raw material Cynoglossum amabile Stapf & JR Drumm with the local species Mertensia stylosa and M. serrulata due to their similarity. Native healers used the Mertensia herb as a wound healing and antitumor agent []. Mertensia and Cynoglossum belong to the Boraginaceae family, which includes approximately 2700 species []. Plants of the genus Mertensia grow predominantly in North America and Asia from western China to northeastern Russia []. M. stylosa (Fisch.) DC. is a perennial plant 20–50 cm in height with one or rarely several stems, oblong basal leaves that are 2–4 cm long, densely arranged lanceolate stem leaves, and umbellate inflorescence with blue–violet flowers on the pedicels. It grows in subalpine meadows along river banks and on wet rocks (Figure 1). M. serrulata (Turcz.) DC. is a perennial plant 20–35 cm in height with a simple stem that is branched at the base, ovate basal leaves that are 3–5 cm on long petioles, and sessile ovate stem leaves; the inflorescence is an umbrella-shaped curl with blue flowers on the pedicels. It grows on the rocky banks of streams and rivers and high mountains at an altitude of 450–1900 m [].

Figure 1.
Mertensia species in their natural habitat: (a)—M. stylosa (Fisch.) DC.; (b)—M. serrulata (Turcz.) DC.
There is no scientific information on the chemical composition of M. stylosa and M. serrulata. The most studied species of the Mertensia genus is M. maritima, which has a high decorative value and is eaten fresh by the Iñupiat of Alaska []. It is known that carotenoids, phenolic acids, terpenoids, fatty acids, volatile compounds [,,], as well as pyrrolizidine alkaloids, characteristic of plant objects of the Boraginaceae family [,], have been found in M. maritima. Because both alkaloids and phenolic compounds have a wide spectrum of biological activity [,], these two classes of compounds were chosen to study the chemical profiles of the M. stylosa and M. serrulata herbs.
In this work, for the first time, we performed qualitative and quantitative chromatographic analyses of pyrrolizidine alkaloids and phenolic compounds in herb extracts of M. stylosa and M. serrulata using high-performance liquid chromatography with photodiode array detection and electrospray ionization triple quadrupole mass spectrometric detection (HPLC-PDA-ESI-tQ-MS/MS).
2. Materials and Methods
2.1. Plant Material and Chemicals
Samples of Mertensia serrulata (herb) were collected during the flowering period in Republic of Buryatia, Kurumkansky District. The samples were collected in subalpine meadow in 5 locations, 10 samples from each (31.VII.2022, 54°18′59.4837″ N, 110°10′20.1782″ E, 1216 m a.s.l.; voucher No BKD/MSe0722/33-83). Samples of M. stylosa (herb) were collected during the flowering period in Irkutsk Oblast, Slyudyansky District. The samples were collected on the bank of the Slyudyanka river in 5 locations, 10 samples from each (11.VII.2022, 51°37′43.0338″ N, 103°40′28.5175″ E, 596 m a.s.l.; voucher No ISDMst-0722/42-92). The species were authenticated by Prof. Tamara A. Aseeva (IGEB SB RAS, Ulan-Ude, Russia). Plant material was dried in the ventilated heat oven at 35 °C within 7–12 days and stored at 4–6 °C before analysis.
The reference compounds were purchased from BioCrick Co., Ltd. (Chengdu Tianfu, Sichuan, China): 7-acetyllycopsamine (Cat. No. BCN2000, ≥98%), 7-O-acetyllycopsamine N-oxide (Cat. No. BCN8935, ≥98%), 4-O-coumaroylquinic acid (Cat. No. BCX0010, ≥98%), 5-O-coumaroylquinic acid (Cat. No. BCX0028, ≥98%), 3-O-feruloylquinic acid (Cat. No. BCN3353, ≥98%), 4-O-feruloylquinic acid (Cat. No. BCN3352, ≥98%), 5-O-feruloylquinic acid (Cat. No. BCN3788, ≥98%); Sigma–Aldrich (St. Louis, MO, USA): acetonitrile for HPLC (Cat. No. 34851, ≥99.9%), 2,2′-azino-bis(3-ethylbenzothiazoline-6-sulfonic acid) diammonium salt (Cat. No. A1888, ≥ 98%), 3-O-caffeoylquinic acid (Cat. No. PHL89175, ≥95%), 4-O-caffeoylquinic acid (Cat. No. 65969, ≥98%), 5-O-caffeoylquinic acid (neochlorogenic acid; Cat. No. 94419, ≥98%), N,N-dimethyl-p-phenylenediamine (Cat. No. 193992, ≥ 97%), 2,2-diphenyl-1-picrylhydrazyl (Cat. No. D9132), 3,5-di-O-caffeoylquinic acid (Cat. No. SMB00131, ≥95%), 3,4-di-O-caffeoylquinic acid (Cat. No. SMB00224, ≥90%), 4,5-di-O-caffeoylquinic acid (Cat. No. SMB00221, ≥85%), caftaric acid (Cat. No. PHL89170, ≥95%), 3-O-coumaroylquinic acid (Cat. No. FC71593, ≥95%), kaempferol-3-O-rutinoside (nicotiflorin; Cat. No. 90242, ≥98%), kaempferol-3-O-glucoside (astragalin; Cat. No. 68437, ≥90%), lithium perchlorate (Cat. No. 205281, ≥95%), lycopsamine (Cat No. PHL89726, ≥95%), lycopsamine N-oxide (Cat. No. PHL83447, ≥90%), methanol (Cat. No. 322415, ≥99.8%), perchloric acid (Cat. No. 244252, ≥70%), rosmarinic acid (Cat. No. PHL89266, ≥95%), quercetin-3-O-glucoside (isoquercitrin; Cat. No. 16654, ≥98%), quercetin-3-O-rutinoside (rutin; Cat. No. CFN99642, ≥98%), trolox (Cat. No. 238813, ≥97%). 2-O-Caffeoyltartronic acid, 2-O-, 3-O-, 4-O-caffeoylthreonic acids, as well as 2-O-, 3-O-caffeoylglyceric acid were previously isolated from Nonea rossica and Tournefortia sibirica [].
2.2. Plant Extracts Preparation
For preparation of plant extracts for HPLC analysis, the herb of M. stylosa and M. serrulata were crushed to particle size 0.125 μm. An amount of 200 mg of grounded plant samples were treated with 70% methanol (2 mL) three times using sonication (ultrasonic bath, 30 min, 50 °C, ultrasound power 100 W, frequency 35 kHz). The obtained liquid extracts were centrifuged at 20 °C (6000× g, 10 min), and the supernatants were filtered through 0.22 μm syringe filters into the measuring flask (10 mL). The final volume was 10 mL with 70% methanol.
2.3. High-Performance Liquid Chromatography with Photodiode Array Detection and Electrospray Ionization Triple Quadrupole Mass Spectrometric Detection (HPLC-PDA-ESI-tQ-MS) Metabolite Profiling
To analyze chemical profile of M. stylosa and M. serrulata herb extracts, high-performance liquid chromatography with photodiode array detection and electrospray ionization triple quadrupole mass spectrometric detection (HPLC-PDA-ESI-tQ-MS) was applied. Chromatographic separation of compounds was realized with liquid chromatograph LC-20 Prominence, column GLC Mastro C18 (2.1 × 150 mm, 3 μm). The detection was implemented on a photodiode array detector SPD-M30A and triple-quadrupole mass spectrometer LCMS 8050 (all Shimadzu, Columbia, MD, USA) according to a previously developed technique [].
2.4. HPLC-PDA-ESI-tQ-MS Metabolite Quantification
For quantification of 28 compounds of M. stylosa and M. serrulata herb extracts with HPLC-PDA-ESI-tQ-MS, following reference compounds were used: lycopsamine, lycopsamine N-oxide, lycopsamine 7-O-acetate, lycopsamine N-oxide 7-O-acetate, 4-O-caffeoylquinic, 3-O-caffeoylthreonic, 2-O-caffeoylthreonic, 4-O-coumaroylquinic, 5-O-caffeoylquinic, 4-O-feruloylquinic, 2-O-caffeoylglyceric, 3-O-caffeoylquinic, 4-O-caffeoylthreonic, 3-O-caffeoylglyceric, 5-O-coumaroylquinic, 3-O-coumaroylquinic, 5-O-feruloylquinic, 2-O-caffeoyltartronic, 3-O-feruloylquinic, caftaric, 3,4-, 3,5-, 4,5-di-O-caffeoylquinic, rosmarinic acids, quercetin-3-O-rutinoside, quercetin-3-O-glucoside, kaempferol-3-O-rutinoside, kaempferol-3-O-glucoside. For the preparation of stock solutions (1000 µg/mL) applied for the calibration curve building, 10 mg of reference compounds were separately weighted and dissolved in the methanol-DMSO mixture (1:1) in volumetric flasks (10 mL). The calibration solution (1, 10, 25, 50 and 100 µg/mL) was chromatographed in known HPLC-PDA-ESI-tQ-MS conditions (Section 2.3). Determination coefficients (r2), standard deviation (SYX), limits of detection (LOD), limits of quantification (LOQ), and linear ranges as the main validation criteria were studied using the previously developed method [] (Table 1). Five HPLC runs were satisfactory for the quantitative analyses, and the results were expressed as mean value ± standard deviation (S.D.).

Table 1.
Regression equations, correlation coefficients (r2), standard deviation (SYX), limits of detection (LOD), limits of quantification (LOQ), and linear ranges for 28 reference standards.
2.5. Antioxidant Activity
To assess antioxidant activity of M. stylosa, M. serrulata herb extracts and dominant compounds (lycopsamine N-oxide, 5-O-caffeoylquinic acid, rutin) microplate spectrophotometric assays against 2,2-diphenyl-1-picrylhydrazyl radicals (DPPH•) [], 2,2′-azino-bis(3-ethylbenzothiazoline-6-sulfonic acid) cation radicals (ABTS•+) [], N,N-dimethyl-p-phenylenediamine radicals (DMPD•+) [] were used. Trolox was applied as a reference standard in concentrations 1–100 μg/mL. The obtained results of DPPH•, ABTS•+, DMPD•+ methods were presented as IC50 and calculated graphically applying ‘concentration (μg/mL)–antioxidant activity (%)’ correlations. All the analyses were performed five times, and the data were expressed as the mean value ± standard deviation (S.D.).
2.6. Statistical Analysis
Data were first run for numerical normality and homogeneity of variance using the Shapiro–Wilk’s and Levene’s tests, respectively, and then, the analysis of variance was performed, and means were compared using Duncan’s multiple range tests at p ≤ 0.05. The results were presented as mean values ± standard deviations (S.D.). The linear regression analysis and generation of calibration graphs were conducted using Advanced Grapher 2.2 (Alentum Software Inc., Ramat-Gan, Israel).
3. Results and Discussion
3.1. Metabolites of Mertensia stylosa and M. serrulata: LC-MS Profile
3.1.1. Pyrrolizidine Alkaloids
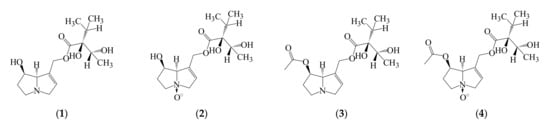
Using high-performance liquid chromatography with photodiode array and electrospray ionization triple quadrupole mass spectrometric detection (HPLC-PDA-tQ-ESI-MS), six pyrrolizidine alkaloids were detected after a comparison of the retention times and mass spectra data with reference standards (Figure 2, Table 2). The derivatives of lycopsamine (1) were found in the studied species of the Mertensia herb, namely lycopsamine N-oxide (2), lycopsamine 7-O-acetate (3), and its isomer (3*) and lycopsamine N-oxide 7-O-acetate (4) and its isomer (4*) (Figure 3). Lycopsamine N-oxide was the dominant compound in the herbs of M. stylosa (5.27 mg/g) and M. serrulata (2.14 mg/g). Lycopsamine was found in the herbs of M. stylosa and M. serrulata at significantly lower levels of 0.94 and 0.30 mg/g, respectively. Isomers 3 and 4 were found in both studied species in trace amounts. The total content of pyrrolizidine alkaloids in the herb of M. stylosa exceeded the content of the same alkaloids in the herb of M. serrulata by 2.7 times. Previously, lycopsamine and lycopsamine N-oxide have been identified in M. bakery, M. ciliata [], and M. maritima [], whereas only lycopsamine has been found in M. sibirica []. Acetate derivatives of lycopsamine and lycopsamine N-oxide were revealed in the Mertensia genus for the first time.

Figure 2.
Fragments of HPLC-ESI-MS chromatograms of Mertensia stylosa (A,B) and M. serrulata (C,D) herb extracts (Total Ion Chromatogram or TIC mode, positive ionization; (A,C)) and (SIM mode, positive ionization, m/z 300, 316, 342 and 358; (B,D)). Compounds are numbered as listed in Table 2. (E) MS/MS spectrum of lycopsamine (1, positive ionization).

Table 2.
Chromatographic (tR), mass-spectrometric data (ESI-MS), and content of pyrrolizidine alkaloids in Mertensia stylosa и M. serrulata herb extracts.

Figure 3.
Structures of pyrrolizidine alkaloids (1–4) found in Mertensia stylosa and M. serrulata.
3.1.2. Phenolic Compounds
Using HPLC-PDA-tQ-ESI-MS, twenty-six phenolic compounds were detected in both Mertensia species (Figure 4, Table 3) and separated into hydroxycinnamates (22 compounds) and flavonoids (4 compounds) (Figure 5). The abundance of hydroxycinnamates was characteristic of the studied species of Mertensia. Derivatives of caffeic and quinic acids were authenticated by comparing the retention times and UV and MS spectral data with reference standards. Thus, derivatives of caffeic acid, including mono-caffeoylquinic (5, 9, 12), di-caffeoylquinic (25, 27, 28), caffeoylthreonic (6, 7, 14), caffeoylglyceric (11, 15), caftaric (22), caffeoyltartronic (20), and rosmarinic (30) acids, were revealed. Derivatives of quinic acid, including feruloylquinic (10, 19, 21) and coumaroylquinic (8, 17, 18) acids, were also found. Components 13 and 16 produced a deprotonated ion with m/z 311 and daughter ions with m/z 179 and 161. The provisional structures of 13 and 16 were found to be O-caffeoyltartaric acid. Four flavonoid compounds were identified in the herbs of both Mertensia species using the reference standards. The found flavonoids belonged to the flavonol group depending on their aglycone structures and were derivatives of quercetin (23, 24) and kaempferol (26, 29).

Figure 4.
High-Performance Liquid Chromatography with Photodiode Array Detection and Electrospray Ionization Triple Quadrupole Mass Spectrometric Detection (HPLC-PDA-ESI-tQ-MS) chromatogram (Total Ion Chromatogram or TIC mode, negative ionization; (A,C)) or SIM-mode (B,D) of Mertensia stylosa (A,B) and M. serrulata extracts (C,D). Compounds are numbered as listed in Table 3.

Table 3.
Chromatographic (tr), mass-spectrometric data, and content of phenolic compounds in herb of Mertensia stylosa и M. serrulata.

Figure 5.
Structures of phenolic compounds found in M. stylosa and M. serrulata.
Quantification of the principal compounds of M. stylosa and M. serrulata herbs was achieved using HPLC-MS data, which allowed determination of 26 phenolic compounds. 5-O-Caffeoylquinic acid and quercetin-3-O-rutinoside were dominating compounds of the M. stylosa herb while only quercetin-3-O-rutinoside dominated in the M. serrulata herb. Additionally, a high content of rosmarinic acid was noted for the M. stylosa herb. The total content of hydroxycinnamates in the M. stylosa herb exceeded the content of flavonoids by 1.2 times, and the total content of phenolic compounds was 116.27 mg/g. Moreover, the total content of flavonoids in the M. serrulata herb exceeded the total content of hydroxycinnamates by 2.54 times, and the total content of phenolic compounds was 41.90 mg/g. Earlier, rutin and rosmarinic acid were revealed in the seeds of M. brevistyla, M. lanceolata, M. arizonica, M. macdougalii, M. viridis, M. ciliata, M. alpina, M. sibirica, M. virginica, and M. maritima spp. asiatica []. Additionally, rosmarinic acid was found in the callus culture of M. maritima []. Previously, quercetin-3-O-glucoside and kaempferol-3-O-rutinoside were detected in the shoots of M. maritima [].
3.2. Antioxidant Activity
The antioxidant activity of M. stylosa and M. serrulata herb extracts and selected dominant compounds was estimated using well-known assays to explore the scavenging properties against 2,2-diphenyl-1-picrylhydrazyl radicals (DPPH•), 2,2′-azino-bis(3-ethylbenzothiazoline-6-sulfonic acid radicals (ABTS•+), and N,N-dimethyl-p-phenylenediamine radicals (DMPD•+) (Table 4).

Table 4.
Antioxidant activity of M. stylosa, M. serrulata herb extracts and selected compounds in three in vitro assays.
The investigated herb extracts of M. stylosa and M. serrulata revealed good scavenging capacity against DPPH•, ABTS•+, and DMPD•+ radicals. M. stylosa herb extract demonstrated the best values of half-maximal scavenging concentrations (IC50) of 21.17, 15.33 and 79.34 µg/mL for DPPH•, ABTS•+, and DMPD•+ radicals, respectively. The predominant phenolic compound, 5-O-caffeoylquinic acid, demonstrated superior scavenging activity against synthetic radicals while the alkaloid lycopsamine showed weak antiradical activity. Earlier antioxidant properties of M. maritima shoots extracts were evaluated with DPPH• and ABTS•+ assays (IC50 0.57 and 0.78 mg/mL, respectively) [].
Our studies have shown that two North mertensias, M. stylosa and M. serrulata, are able to accumulate various phytochemicals, such as alkaloids and phenolics, involved in the antioxidant potential of plant extracts. Pyrrolizidine alkaloids are usually esters formed from a necine base and necic acids []. Depending on the structure of the necine base, such alkaloids can be divided into four types: retronecine, otonecine, platynecine, and heliotridine []. According to chemotaxonomic data on the distribution of alkaloids in the Boraginaceae family, the species of genus Mertensia produce alkaloids of the retronecine type []. Pyrrolizidine alkaloids are known to have hepatotoxic and potentially carcinogenic properties [,,,]. However, because pyrrolizidine alkaloids are mainly present in the form of N-oxides, such compounds are considered less toxic than free components owing to their high water solubility []. Lycopsamine is an unsaturated monoester, and the monoester and N-oxide are less toxic than the diester or macrocyclic ester []. Some useful properties of lycopsamine are also known. For instance, lycopsamine significantly improved locomotory function and reduced apoptotic cell death following spinal cord injury in rats. Additionally, lycopsamine decreased the expression of tumor necrosis factor-α and upregulated the expression of interleukin-10 []. Thus, lycopsamine derivatives may be useful in the treatment of certain disorders, but more investigations are required.
The high biological activities of hydroxycinnamates and flavonoids are well known. In particular, 5-O-caffeoylquinic acid inhibits the invasion of non-small cell lung cancer cells through the inactivation of p70S6K and Akt activity [], suppresses P-selectin expression on platelets by inhibiting cyclooxygenase enzymes [], and possesses antimicrobial activity []. Quercetin-3-O-rutinoside or rutin has shown a number of pharmacological properties, including cytoprotective, anticarcinogenic, neuroprotective, and cardioprotective activities [,,,]. Rosmarinic acid is a prospective therapeutic agent against a wide range of lifestyle-related diseases. Many anti-cancer mechanisms of action of rosmarinic acid have been confirmed: prevention of tumor formation development, such as reduction in lipid peroxidation byproducts []; inhibition of transcription factor HIF-1α expression []; and apoptosis induction []. Additionally, cardioprotective [], antidiabetic [], anti-inflammatory [], and antidepressant [] activities have been established for this compound. Thus, using HPLC-PDA-ESI-tQ-MS analysis, we found twenty-six phenolic compounds, including hydroxycinnamates and flavonoids. Some flavonoids and rosmarinic acid were previously found in other Mertensia species while the remaining hydroxycinnamates, derivatives of caffeic and quinic acids, and kaempferol-3-O-glucoside were found in this plant genus for the first time.
4. Conclusions
Chromatographic analysis of Mertensia stylosa and M. serrulata used in traditional medicine of Asian nomads revealed pyrrolizidine alkaloids and phenolic compounds, and a bioactivity study proved the antioxidant potential of the herb extracts. The presence of contradictory properties in these species is an interesting fact: lycopsamine alkaloid as an oncogenic substance and the abundance of hydroxycinnamates and flavonoids as antitumor components. Further studies of these plants are necessary for the wide introduction of new biologically active agents into medical and therapeutic practices.
Author Contributions
Conceptualization, N.I.K. and D.N.O.; methodology, D.N.O.; software, N.K.C.; validation, N.I.K., D.N.O. and N.K.C.; formal analysis, N.I.K.; investigation, D.N.O.; resources, N.K.C.; data curation, D.N.O.; writing—original draft preparation, N.I.K.; writing—review and editing, D.N.O.; visualization, N.K.C.; supervision, D.N.O.; project administration, N.I.K.; funding acquisition, N.K.C. All authors have read and agreed to the published version of the manuscript.
Funding
This research was funded by the Ministry of Education and Science of Russia, grant numbers 121030100227-7; FSRG-2023-0027.
Institutional Review Board Statement
Not applicable.
Informed Consent Statement
Not applicable.
Data Availability Statement
Data are contained within the article.
Acknowledgments
The author is very thankful to colleagues for kindly providing the photos of plants: Irina Khan–Mertensia stylosa (https://www.plantarium.ru/page/image/id/66412.html; accessed on 6 February 2023); Daba Chimitov–Mertensia serrulata (https://www.plantarium.ru/page/image/id/753831.html; accessed on 6 February 2023). The authors acknowledge the Buryat Research Resource Center for the technical support in chromatographic and mass-spectrometric research.
Conflicts of Interest
The authors declare no conflict of interest.
References
- Oyebode, O.; Kandala, N.B.; Chilton, P.J.; Lilford, R.J. Use of traditional medicine in middle-income countries: A WHO-SAGE study. Health Policy Plan. 2016, 31, 984–991. [Google Scholar] [CrossRef] [PubMed]
- Yuan, H.; Ma, Q.; Ye, L.; Piao, G. The Traditional medicine and modern medicine from natural products. Molecules 2016, 21, 559. [Google Scholar] [CrossRef] [PubMed]
- Bolsokhoyeva, N. Tibetan medical schools of the Aga area (Chita region). Asian Med. 2007, 3, 334–346. [Google Scholar] [CrossRef]
- Aseeva, T.A.; Dashiyev, D.B.; Dashiyev, A.D.; Nikolayev, S.M.; Surkova, N.A.; Chekhirova, G.V.; Yurina, T.A. Tibetan Medicine of Buryats; Publishing House SB RAS: Novosibirsk, Russia, 2008; pp. 5–27. [Google Scholar]
- Batorova, S.M.; Yakovlev, G.P.; Aseeva, T.A. Reference-Book of Traditional Tibetan Medicine Herbs; Nauka: Novosibirsk, Russia, 2013; p. 207. [Google Scholar]
- The Plant List. Available online: http://www.theplantlist.org/1.1/browse/A/Boraginaceae/ (accessed on 6 February 2023).
- Nazaire, M.; Wang, X.-Q.; Hufford, L. Geographic origins and patterns of radiation of Mertensia (Boraginaceae). Am. J. Bot. 2014, 101, 104–118. [Google Scholar] [CrossRef]
- Komarov, V.L. Flora of the U.S.S.R.; AN U.S.S.R.: Moscow, Russia, 1953; Volume XIX, pp. 248–255. [Google Scholar]
- Gracie, C. Spring Wildflowers of the Northeast; Princeton University Press: Princeton, NJ, USA, 2012; pp. 222–227. [Google Scholar]
- Delort, E.; Jaquier, A.; Chapuis, C.; Rubin, M.; Starken-mann, C.J. Volatile composition of oyster leaf (Mertensia maritima (L.) Gray). J. Agric. Food Chem. 2012, 60, 11681–11690. [Google Scholar] [CrossRef]
- Fedoreyev, S.A.; Inyushkina, Y.V.; Bulgakov, V.P.; Veselova, M.V.; Tchernoded, G.K.; Gerasimenko, A.V.; Zhuravlev, Y.N. Production of allantoin, rabdosiin and rosmarinic acid in callus cultures of the seacoastal plant Mertensia maritima (Boraginaceae). Plant Cell Tissue Organ Cult. 2012, 110, 183–188. [Google Scholar] [CrossRef]
- Park, H.Y.; Kim, D.H.; Saini, R.K.; Gopal, J.; Keum, Y.S.; Sivanesan, I. Micropropagation and quantification of bioactive compounds in Mertensia maritima (L.) Gray. Int. J. Mol. Sci. 2019, 20, 2141. [Google Scholar] [CrossRef]
- Mädge, I.; Gehling, M.; Schöne, C.; Winterhalter, P.; These, A. Pyrrolizidine alkaloid profiling of four Boraginaceae species from Northern Germany and implications for the analytical scope proposed for monitoring of maximum levels. Food Addit. Contam. Part A Chem. Anal. Control Expo. Risk Assess. 2020, 37, 1339–1358. [Google Scholar] [CrossRef]
- Damianakos, H.; Jeziorek, M.; Pietrosiuk, A.; Sykłowska-Baranek, K.; Chinou, I. Isolation of pyrrolizidine alkaloids from Cynoglossum columnae Ten. (Boraginaceae). Planta Med. 2013, 79, PI29. [Google Scholar] [CrossRef]
- Zhang, Y.; Cai, P.; Cheng, G.; Zhang, Y. A Brief review of phenolic compounds identified from plants: Their extraction, analysis, and biological activity. Nat. Prod. Commun. 2022, 17, 1934578X211069721. [Google Scholar] [CrossRef]
- Wei, X.; Ruan, W.; Vrieling, K. Current knowledge and perspectives of pyrrolizidine alkaloids in pharmacological applications: A mini-review. Molecules 2021, 26, 1970. [Google Scholar] [CrossRef]
- Olennikov, D.N.; Kartashova, M.E.; Velichko, V.V.; Kruglov, D.S. New flavonoids from Nonea rossica and Tournefortia sibirica. Chem. Nat. Compd. 2022, 58, 1021–1025. [Google Scholar] [CrossRef]
- Kashchenko, N.I.; Jafarova, G.S.; Isaev, J.I.; Olennikov, D.N.; Chirikova, N.K. Caucasian dragonheads: Phenolic compounds, polysaccharides, and bioactivity of Dracocephalum austriacum and Dracocephalum botryoides. Plants 2022, 11, 2126. [Google Scholar] [CrossRef]
- Olennikov, D.N.; Chirikova, N.K.; Kashchenko, N.I.; Nikolaev, V.M.; Kim, S.-W.; Vennos, C. Bioactive phenolics of the genus Artemisia (Asteraceae): HPLC-DAD-ESI-TQ-MS/MS profile of the Siberian species and their inhibitory potential against α-amylase and α-glucosidase. Front. Pharmacol. 2018, 9, 756. [Google Scholar] [CrossRef]
- Olennikov, D.N.; Chemposov, V.V.; Chirikova, N.K. Polymeric compounds of lingonberry waste: Characterization of antioxidant and hypolipidemic polysaccharides and polyphenol-polysaccharide conjugates from Vaccinium vitis-idaea press cake. Foods 2022, 11, 2801. [Google Scholar] [CrossRef]
- Olennikov, D.N.; Khandy, M.T.; Chirikova, N.K. Oriental strawberry metabolites: LC–MS profiling, antioxidant potential, and postharvest changes of Fragaria orientalis fruits. Horticulturae 2022, 8, 975. [Google Scholar] [CrossRef]
- Mori, K.; Kidawara, M.; Iseki, M.; Umegaki, C.; Kishi, T. A simple fluorimetric determination of vitamin C. Chem. Pharm. Bull. 1998, 46, 1474–1476. [Google Scholar] [CrossRef]
- Li, Y.; Stermitz, F.R. Pyrrolizidine alkaloids from Mertensia species of Colorado. J. Nat. Prod. 1988, 51, 1289–1290. [Google Scholar] [CrossRef]
- Song, K.; Sivanesan, I.; Ak, G.; Zengin, G.; Cziáky, Z.; Jekő, J.; Rengasamy, K.R.; Lee, O.N.; Kim, D.H. Screening of bioactive metabolites and biological activities of calli, shoots, and seedlings of Mertensia maritima (L.) Gray. Plants 2020, 9, 1551. [Google Scholar] [CrossRef]
- Rizk, A.M. Naturally Occurring Pyrrolizidine Alkaloids; CRC Press: Boca Raton, FL, USA, 1991. [Google Scholar]
- Lyashenko, S.; González-Fernández, M.J.; Borisova, S.; Belarbi, E.H.; Guil-Guerrero, J.L. Mertensia (Boraginaceae) seeds are new sources of γ-linolenic acid and minor functional compounds. Food Chem. 2021, 350, 128635. [Google Scholar] [CrossRef]
- Bruneton, J. Farmacognosia, 2nd ed.; Acribia: Zaragoza, Spain, 2008; ISBN 978-1-84585-006-7. [Google Scholar]
- Gottschalk, C.; Ronczka, S.; Preiß-Weigert, A.; Ostertag, J.; Klaffke, H.; Schafft, H.; Lahrssen-Wiederholt, M. Pyrrolizidine alkaloids in natural and experimental grass silages and implications for feed safety. Anim. Feed Sci. Technol. 2015, 207, 253–261. [Google Scholar] [CrossRef]
- El-Shazly, A.; Wink, M. Diversity of pyrrolizidine alkaloids in the Boraginaceae structures, distribution, and biological properties. Diversity 2014, 6, 188–282. [Google Scholar] [CrossRef]
- Wiedenfeld, H. Plants containing pyrrolizidine alkaloids: Toxicity and problems. Food Addit. Contam. Part A Chem. Anal. Control Expo. Risk Assess. 2011, 28, 282–292. [Google Scholar] [CrossRef] [PubMed]
- Moreira, R.; Pereira, D.M.; Valentao, P.; Andrade, P.B. Pyrrolizidine alkaloids: Chemistry, pharmacology, toxicology and food safety. Int. J. Mol. Sci. 2018, 19, 1668. [Google Scholar] [CrossRef] [PubMed]
- Neuman, M.G.; Cohen, L.; Opris, M.; Nanau, R.M.; Hyunjin, J. Hepatotoxicity of pyrrolizidine alkaloids. J. Pharm. Pharm. Sci. 2015, 18, 825–843. [Google Scholar] [CrossRef]
- Wang, Z.; Han, H.; Wang, C.; Zheng, Q.; Chen, H.; Zhang, X.; Hou, R. Hepatotoxicity of pyrrolizidine alkaloid compound intermedine: Comparison with other pyrrolizidine alkaloids and its toxicological mechanism. Toxins 2021, 13, 849. [Google Scholar] [CrossRef]
- Schramm, S.; Köhler, N.; Rozhon, W. Pyrrolizidine alkaloids: Biosynthesis, biological activities and occurrence in crop plants. Molecules 2019, 24, 498. [Google Scholar] [CrossRef]
- Mattocks, A.R. Chemistry and Toxicology of Pyrrolizidine Alkaloids; Academic Press: London, UK, 1986; p. 41. [Google Scholar]
- Jin, J.; Li, H.; Zhao, G.; Jiang, S. Lycopsamine exerts protective effects and improves functional outcome after spinal cord injury in rats by suppressing cell death. Med. Sci. Monit. 2018, 24, 7444–7450. [Google Scholar] [CrossRef]
- In, J.K.; Kim, J.K.; Oh, J.S.; Seo, D.W. 5-Caffeoylquinic acid inhibits invasion of non-small cell lung cancer cells through the inactivation of p70S6K and Akt activity: Involvement of p53 in differential regulation of signaling pathways. Int. J. Oncol. 2016, 48, 1907–1912. [Google Scholar] [CrossRef]
- Park, J.B. 5-Caffeoylquinic acid and caffeic acid orally administered suppress P-selectin expression on mouse platelets. J. Nutr. Biochem. 2009, 20, 800–805. [Google Scholar] [CrossRef]
- Bajko, E.; Kalinowska, M.; Borowski, P.; Siergiejczyk, L.; Lewandowski, W. 5-O-Caffeoylquinic acid: A spectroscopic study and biological screening for antimicrobial activity. LWT Food Sci. Technol. 2016, 65, 471–479. [Google Scholar] [CrossRef]
- Javed, H.; Khan, M.M.; Ahmad, A.; Vaibhav, K.; Ahmad, M.E.; Khan, A.; Ashafaq, M.; Islam, F.; Siddiqui, M.S.; Safhi, M.M.; et al. Rutin prevents cognitive impairments by ameliorating oxidative stress and neuroinflammation in rat model of sporadic dementia of Alzheimer type. Neuroscience 2012, 17, 340–352. [Google Scholar] [CrossRef]
- Trumbeckaite, S.; Bernatoniene, J.; Majiene, D.; Jakstas, V.; Savickas, A.; Toleikis, A. The effect of flavonoids on rat heart mitochondrial function. Biomed. Pharmacother. 2006, 60, 245–248. [Google Scholar] [CrossRef]
- Richetti, S.K.; Blank, M.; Capiotti, K.M.; Piato, A.L.; Bogo, M.R.; Vianna, M.R.; Bonan, C.D. Quercetin and rutin prevent scopolamine-induced memory impairment in zebrafish. Behav. Brain Res. 2011, 217, 10–15. [Google Scholar] [CrossRef]
- Ganeshpurkar, A.; Saluja, A.K. The pharmacological potential of rutin. Saudi Pharm. J. 2017, 25, 149–164. [Google Scholar] [CrossRef]
- Venkatachalam, K.; Gunasekaran, S.; Namasivayam, N. Biochemical and molecular mechanisms underlying the chemopreventive efficacy of rosmarinic acid in a rat colon cancer. Eur. J. Pharmacol. 2016, 791, 37–50. [Google Scholar] [CrossRef]
- Xu, Y.; Han, S.; Lei, K.; Chang, X.; Wang, K.; Li, Z.; Liu, J. Anti-Warburg effect of rosmarinic acid via miR-155 in colorectal carcinoma cells. Eur. J. Cancer Prev. Off. J. Eur. Cancer Prev. Organ. 2016, 25, 481–489. [Google Scholar] [CrossRef]
- Heo, S.K.; Noh, E.K.; Yoon, D.J.; Jo, J.C.; Koh, S.; Baek, J.H.; Park, J.H.; Min, Y.J.; Kim, H. Rosmarinic acid potentiates ATRA-induced macrophage differentiation in acute promyelocytic leukemia NB4 cells. Eur. J. Pharmacol. 2015, 747, 36–44. [Google Scholar] [CrossRef]
- Karthik, D.; Viswanathan, P.; Anuradha, C.V. Administration of rosmarinic acid reduces cardiopathology and blood pressure through inhibition of p22phox NADPH oxidase in fructose-fed hypertensive rats. J. Cardiovasc. Pharmacol. 2011, 58, 514–521. [Google Scholar] [CrossRef]
- Jayanthy, G.; Roshana Devi, V.; Ilango, K.; Subramanian, S.P. Rosmarinic Acid Mediates Mitochondrial Biogenesis in Insulin Resistant Skeletal Muscle Through Activation of AMPK. J. Cell. Biochem. 2017, 118, 1839–1848. [Google Scholar] [CrossRef]
- Liang, Z.; Xu, Y.; Wen, X.; Nie, H.; Hu, T.; Yang, X.; Chu, X.; Yang, J.; Deng, X.; He, J. Rosmarinic acid attenuates airway inflammation and hyperresponsiveness in a murine model of asthma. Molecules 2016, 21, 769. [Google Scholar] [CrossRef] [PubMed]
- Jin, X.; Liu, P.; Yang, F.; Zhang, Y.H.; Miao, D. Rosmarinic acid ameliorates depressive-like behaviors in a rat model of CUS and Up-regulates BDNF levels in the hippocampus and hippocampal-derived astrocytes. Neurochem. Res. 2013, 38, 1828–1837. [Google Scholar] [CrossRef] [PubMed]
Disclaimer/Publisher’s Note: The statements, opinions and data contained in all publications are solely those of the individual author(s) and contributor(s) and not of MDPI and/or the editor(s). MDPI and/or the editor(s) disclaim responsibility for any injury to people or property resulting from any ideas, methods, instructions or products referred to in the content. |
© 2023 by the authors. Licensee MDPI, Basel, Switzerland. This article is an open access article distributed under the terms and conditions of the Creative Commons Attribution (CC BY) license (https://creativecommons.org/licenses/by/4.0/).