Next Article in Journal
Application of Failure Mode Effects Analysis for Maintenance of Turnout System on Serviced Urban Rapid Transit
Previous Article in Journal
Silicone Elastomeric-Based Materials of Soft Pneumatic Actuator for Lower-Limb Rehabilitation: Finite Element Modelling and Prototype Experimental Validation
 
 
Font Type:
Arial Georgia Verdana
Font Size:
Aa Aa Aa
Line Spacing:
Column Width:
Background:
Article

In Vitro Activity of Octenidine Dihydrochloride-Containing Lozenges against Biofilm-Forming Pathogens of Oral Cavity and Throat

by
Bartłomiej Dudek
1,
Justyna Tymińska
2,
Patrycja Szymczyk-Ziółkowska
3,
Grzegorz Chodaczek
4,
Paweł Migdał
5,
Joanna Czajkowska
6 and
Adam Junka
7,*
1
Department of Microbiology, Institute of Genetics and Microbiology, University of Wrocław, 51-148 Wrocław, Poland
2
Faculty of Medicine, Lazarski University, 02-662 Warsaw, Poland
3
Centre for Advanced Manufacturing Technologies (CAMT/FPC), Faculty of Mechanical Engineering, Wrocław University of Science and Technology, 50-371 Wrocław, Poland
4
Bioimaging Laboratory, Łukasiewicz Research Network—PORT Polish Center for Technology Development, 54-066 Wrocław, Poland
5
Department of Environment Hygiene and Animal Welfare, Wrocław University of Environmental and Life Sciences, 51-630 Wrocław, Poland
6
Department of Biochemistry and Molecular Biology, Wrocław University of Environmental and Life Sciences, 50-375 Wrocław, Poland
7
Department of Pharmaceutical Microbiology and Parasitology, Unique Application Models Laboratory, Medical University of Wrocław, 50-556 Wrocław, Poland
*
Author to whom correspondence should be addressed.
Appl. Sci. 2023, 13(5), 2974; https://doi.org/10.3390/app13052974
Submission received: 24 December 2022 / Revised: 19 February 2023 / Accepted: 23 February 2023 / Published: 25 February 2023
(This article belongs to the Section Applied Microbiology)

Abstract

The disruption of the balance in the composition of oral and throat microbiota due to overgrowth of infectious biofilms may lead not only to severe infections, but also to serious, systemic complications resulting in a permanent loss of health or even in the death of the patient. Therefore, a number of hygienic measures are applied to counter-act such a threat, including the provision of locally active antiseptic agents. In this work, the antimicrobial activity of a well-established drug, octenidine dihydrochloride, in a new formulation of lozenges toward the biofilms formed in vitro by Staphylococcus aureus, Streptococcus pyogenes, Candida albicans, Pseudomonas aeruginosa and Aggregatibacter actinomycetemcomitans was assessed. The metabolic activity and quantitative culturing were performed and also scanning electron and confocal microscopies with regard to these biofilms exposed to the activity of octenidine in lozenges vs. a comparator (octenidine dihydrochloride dissolved in liquid). Biofilms were cultured in different experimental settings, including one in which hydroxyapatite served as the biofilm growth surface and using artificial saliva as the biofilm milieu. The obtained results indicated that the tested formulation of octenidine-containing lozenges displayed a high efficacy towards the analyzed biofilms, regardless of the in vitro setting applied. The current work is of a strictly in vitro nature, and the analyses were performed on reference microbial strains and not on the spectrum of clinical strains. Nevertheless, considering the fact that the time of exposition of biofilm to the octenidine released from the lozenge is significantly longer than the contact time of an antiseptic dissolved in liquid also tested in this study, it can be assumed that stable carriers of octenidine may find its broad application in the maintenance of oral and throat hygiene and the eradication of biofilm-based infections.

1. Introduction

The human organism is inhabited by a vast spectrum of functional microbial communities that have overall beneficial roles in the maintenance of homeostasis, the production of vitamins, prevention from colonization by pathogenic species or in the interplay with maturation of the immune system [1]. These complex microbial communities are dubbed microbiota. The second most developed consortium of that kind in the human organism, regarding the quantity of the species and the number of cells, is in the oral cavity. Recent research indicates the crucial role of oral microbiota in the homeostasis of health and indicates the spectra of diseases that can occur if dysbiosis occurs in the oral microbiota. It is presently recognized that such disease may result not only in the disfunction of the oral cavity specifically, but can also result in malfunctions of the heart, sepsis or even Parkinson’s or Alzheimer’s diseases [2].
The maintenance of oral health is considered one of the most important prophylactic measures, not only among healthy people but also in hospitalized patients, because it significantly decreases the risk of various side effects that are a result of pathological phenomena occurring firstly in the oral cavity and subsequently in the rest of the human organism.
Most oral microorganisms, regardless if they are beneficial (from the human perspective) or pathogenic communities, exist in the form of biofilms. This attached multi-cellular formation produces a protective matrix which may consist of saccharides, proteins, extracellular DNA or a mixture of the above-mentioned compounds [3,4]. In the oral cavity, this matrix provides microbial cells protection (at least partially) from de-attachment as a result of tongue movements, saliva flow and brushing. Moreover, it elevates the tolerance of cells against various antimicrobials used in oral hygiene. Oral biofilms consist of a high number of species of bacterial (approximately 700 species) and fungal (more than 100 species) origins [5,6]. When the microbial balance is disturbed (due to a plethora of factors, including lack of hygiene, inappropriate diet, immunosuppression and many others), the overgrowth of pathogenic biofilms leads to the progression of caries and periodontal diseases. This increase in the biomass of dysbiotic biofilms may lead to inflammation of the oral cavity and to severe local infections, referred to as periodontitis and periimplantitis, as well as to tooth decay [6]. The biofilms formed by opportunistic pathogens, such as Pseudomonas aeruginosa, Staphylococcus aureus and Candida albicans, may result in a spectrum of infections, which may not be only localized in the oral cavity or throat but may further spread to the respiratory system, lower parts of the alimentary tract and also, after crossing the blood–brain barrier, may lead to the infection of the human nervous system [7,8,9].
Overall, due to the complexity of the microbial communities and relatively high possibility of disturbing the host–microbe balance, oral infections affect more than 3 billion people around the world, and they are considered the chronic disease with the highest frequency of occurrence [10]. Therefore, the maintenance of oral hygiene and counter-acting ongoing inflammatory, microbe-caused infections are of pivotal importance regarding the maintenance of general human health. The prophylaxis and treatment of oral cavity infections include scaling, brushing and the use of topically administered antimicrobials (of an antiseptic nature). This procedure is also applied to fight ongoing infections caused by pathogenic biofilms. An antiseptic may be administered by, for example, gels, liquids or lozenges. Of note, the oral application of these measures also has an impact on the microbiota of the throat, which is a niche that neighbors the oral cavity. An example of a common throat pathogen is the Gram-positive bacterium Str. pyogenes (group A), causing (among others) a disease referred to as streptococcal pharyngitis, also known as streptococcal sore throat or “strep throat”.
The spectrum of antiseptics which may be provided in the above-mentioned formulations is vast and includes, among others: chlorhexidine, polihexanide, cetylpyridinium chloride or octenidine dihydrochloride. The last-mentioned antiseptic substance is a bipyridine cationic antiseptic with a wide range of action, including on the cell walls of Gram-negative and Gram-positive bacteria, fungal species and specific viruses. The antimicrobial activity of octenidine (OCT) against cariogenic microorganisms (when OCT was provided in the form of mouth wash) has already been presented in earlier research, both in vitro and in vivo. In these analyses, performed by other research teams, the efficacy of OCT (in the applied setting) was indicated as being higher than the presently most common oral antiseptic, referred to as chlorhexidine [11,12]. One reason behind the high activity of OCT is its non-specific action mechanism that relies on its interplay with the microbial cell wall/membrane, disturbances in its continuity, leaking of cytoplasm to the external environment and, inevitably, the death of the cell.
It should be noticed that the eradicative potential of oral antiseptic depends not only on its mechanism of action, but also (and to a high extent) on the mode of administration. The formulation of the drug has a pivotal impact on its release and absorption. Regarding the matter discussed, the formulation referred to as lozenges is considered to provide (comparing to a liquid antiseptic) a greater control over drug concentration, a more stable therapeutic effect and, finally, a higher convenience of application and removal [13]. These antiseptic-containing lozenges, intended to be applied in the oral cavity, are also considered to be more effective than antiseptic-containing liquid thanks to the more concentrated local release and the longer time of exposure of microbes to the action of antiseptic molecules. Therefore, the goal of this work was to assess the activity of octenidine dihydrochloride-containing lozenges against S. aureus, Str. pyogenes, P. aeruginosa, C. albicans and A. actinomycetemcomitans biofilms in vitro.

2. Materials and Methods

2.1. The Antimicrobials

(a) Lozenges containing octenidine dihydrochloride 2.6 mg of LOT number 128109 and expiry date 08/2026, closed in sealed packages, under the brand name Octeangin(®) (Klosterfrau, Cologne, Germany) were used for research purposes. The tablets are later referred in the manuscript as “OCT”. According to the data provided by the manufacturer, 1 tablet contains: 2.6 mg of octenidine dihydrochloride, isomalt (E 953), tartaric acid, aroma (containing propylene glycol, coffee extract and 4-(2,2,3-trimethylcyclopentyl) acid butane, star anise essential oil, peppermint essential oil and sucralose (E 955). The mass of OA was recorded using a laboratory weight (RadWag AS220, Radom, Poland). The pace of OCT dissolution in the oral cavity was measured by six researchers themselves with the use of a stopper. The time was stopped when the OCT dissolved completely. The assessment of the solubility of OCT in an Artificial Saliva indicated that the full dissolution takes place in 40 mL of this fluid.
(b) The octenidine dihydrochloride-containing antiseptic, under the brand name “Octenisept®” (Schulke-Mayr GmbH, Norderstedt, Germany), later referred to as the OL. According to the manufacturer, 100 g of OL solution contains: 0.1 g octenidine dihydrochloride; 2.0 g phenoxyethanol (Ph. Eur.); 3-coco fatty acid amidopropyl)-dimethylazaniumylacetate; sodium-d-gluconate; glycerol, 85%; sodium chloride; purified water; and sodium hydroxide.

2.2. The Microbial Strains

The microbial strains applied in the research were ATCC (American Type and Cell Collection) reference strains: Staphylococcus aureus 33,591, Streptococcus pyogenes 19,615, Pseudomonas aeruginosa 15,442, Candida albicans 1023, Aggregatibacter actinomycetemcomitans 29,522.

2.3. Biofilm Milieu

(a) Hydroxyapatite (HA) Discs, utilized as a surface on which biofilms formed, were prepared from hydroxyapatite (HA) powder with particle sizes of 9.6 µm in diameter (MT3300, LowWet; Tomita Pharmaceutical, Kumamoto City, Japan) and of an impurity below the detection threshold. No binder was used to press the powder. Sintering was conducted at a temperature of 900 °C. The discs were compressed using the universal testing system for static tensile, compression, and bending tests (Instron model 3384, Instron, Norwood, MA, USA). The diameter of disks was 12, while their height was 3 mm. To check the quality of HA discs, a LEXT OLS4000 microscope (Olympus, Center Valley, PA, USA) and microcomputed tomograph (microCT) Metrotom 1500 microtomograph (Carl Zeiss, Oberkochen, Germany) were used.
(b) The agar discs used as another biofilm formation surface were cut out using cork-borers 10 mm in diameter from 2% Muller–Hinton (Argenta, Poznań, Poland) agar.
(c) Artificial Saliva (AS) was prepared with the use of mucin (2.5 g/L), sodium chloride (0.25 g/L), potassium chloride (0.2 g/L), calcium chloride (0.2 g/L), yeast extract (2.0 g/L), protease peptone (5.0 g/L), 40% urea (1.25 mL/L) and sucrose (3.0 g/L). The Artificial Saliva’s pH was adjusted to a value of 6.

2.4. Experimental Models

(a) The 96-well plate model for Assessment of Minimum Antimicrobial Concentration. To assess the impact of OA and OCT on planktonic growth, 100 µL of Mueller–Hinton (BioCorp, Warsaw, Poland) broth (for S. aureus and P. aeruginosa), TSB + 3% saccharose in case of A. actinomycetemcomitans or RPMI with 2% glucose for C. albicans was introduced into the wells of 96-well test plates (Gibco, Carlsbad, CA, USA). Afterwards, 100 µL of the OL or 100 µL of OCT, previously dissolved in 40 mL of saline (POCH, Gliwice, Poland), was introduced to the well. Next, geometric dilutions of individual antiseptics were obtained. Subsequently, 100 µL of microbial suspension (of density of 1 × 105 CFU/mL established by densitometer Densitomat II, BioMerieux, Warsaw, Poland and subsequently by serial dilutions) was introduced into the wells of 96-well plates (Biofil, Warsaw, Poland). Then, the suspensions’ absorbances were recorded at a 580 nm wavelength using a spectrometer (PerkinElmer, EnSpire Multimode Plate Reader, Waltham, MA, USA). Subsequently, the plates were subjected to incubation for 24 h at 37 °C in a shaker Lab Companion IST-3075R (Imgen Technologies, Alexandria, VA, USA) to provide optimal conditions for planktonic growth and to prevent microorganisms from forming a biofilm. Afterwards, the absorbance values were recorded once again. The sterile medium (containing no microbes) was a negative control for the experiment, while the medium containing microbes but no antimicrobial was utilized as a positive control for bacterial/fungal growth. If the spectrometric record showed the Minimum Antimicrobial value in a specific well of the plate, the whole content of that well was placed in an Eppendorf tube containing 1.8 mL of a neutralizer (polysorbate 80 (3.0%) + saponin (3.0%) + L-histidine (0.1%) + cysteine (0.1%)) for 5 min. Next, the whole suspension was placed in 8mL of appropriate liquid media for the growth of the specific microorganisms applied in the test for 48 h. The lack of an increase in the turbidity observed after this time point was an additional indication of the lack of live microorganisms in the well.
(b) The 96-well plate model for Assessment of Minimal Biofilm Eradication Concentration. The bacterial liquid cultures were diluted to the density of 0.5 McFarland and subsequently diluted to 105 cfu/mL in the same media as indicated in the assessment of the MBC value. Next, 100 µL of such diluted cultures were incubated in a 96-well plate at 37 °C/24 h. In that time, the biofilm formed. After incubation, the medium was removed. Next, geometric solutions of antiseptics (in sterile) media were introduced to the wells of the plate. The biofilms administered the antiseptic were incubated for another 24 h at 37 °C. Subsequently, the solutions were removed and sterile medium supplemented with tetrazolium chloride (TTC, Sigma-Aldrich, Darmstadt, Germany) at a 1% concentration was added. Next, the plates were incubated for 2 h at 37 °C. During these 2 h, live bacteria/fungi metabolized colorless TTC into red formazan. A lack of colorization in the first well next to a well that had turned red showed the MBEC value. These analyses were performed in three replicates. In case of A. actinomycetemcomitans, for which the formazan assay might be non-conclusive, an additional analysis was also performed, namely, 100 µL of neutralizing agent (polysorbate 80 (3.0%) + saponin (3.0%) + L-histidine (0.1%) + cysteine (0.1%)) was added to wells containing the aforementioned microbe’s biofilm and antiseptic for 5 min. Subsequently, the whole content of the well was spotted on the BHI (Biomaxima, Lublin, Poland) agar and subjected to incubation for 24 h/37 °C. The lack of growth of A. actinomycetemcomitans colonies in the spotted areas confirmed that the applied concentration of OCT or OA was the Minimal Biofilm Eradication Concentration.
(c) The modified Antibiofilm Dressing Activity Measurement to Assess the Anti-Biofilm Activity of OCT or OA. First, 5 mL of agar (Muller–Hinton for P. aeruginosa, S. aureus, C. albicans or TSB + 3% succrose for A. actinomycetemcomitans) was poured into a 50 mL falcon-type tube (Googlab, Rokocin, Polska) and left to solidify. Next, 10 mL of previously prepared agar plugs or HA discs containing previously inoculated biofilm on them (using the same suspension density and culture period as these described in Section 5.4(b) of this manuscript) was introduced to the experimental setting. Subsequently, 40 mL of AS was gently poured into the falcon tube. After adding the AS, Cell Strainer Inserts (Biologix, Shawnee Mission, KS, USA) were mounted on top of the falcon tube, and finally, the OA was introduced to the strainer as pictured below (Figure 1).
The whole experimental setting was left at 37 °C for the previously assessed time necessary for the tablet to be dissolved. Parallelly, the same experimental setting was applied for OL, with the difference that the antiseptic was introduced to the falcon tube in such a concentration to reach the concentration of fully released octenidine dihydrochloride from the OCT, i.e., 65 µg/L. After exposure, the HA or agar discs were introduced to the aforementioned neutralizing agent and incubated with TTC (in case of P. aeruginosa, S. aureus, C. albicans). Next, the formazan was extracted using a solution consisting of ethanol and acetic acid in a ratio of 90:10 (v/v), respectively (POCH, Poland), and level of absorbance of the formazan was measured at a wavelength of 490nm. The control of this experiment was the setting in which no antimicrobial was added. The results of the absorbance for such a control setting were considered to be 100% and were used to calculate the biofilm’s eradication by means of the following formula: Biofilm eradication (%) = 100% − (value of the antiseptic-exposed sample absorbance/value of non-exposed sample absorbance) × 100%. In the case of A. actinomycetemcomitans quantitative culturing rather than calorimetric assays was applied with the use of the analogical formula (with the difference that the number of colony-forming units instead of the absorbance values were introduced).

2.5. Visualization Methods

(a) Scanning Electron Microscopy. To visualize the ability of the tested strains to form biofilm on the agar or hydroxyapatite, the pre-formed biofilms (24 h of incubation of 105 cfu microbial suspension at 37 °C) on HA or agar discs were carefully rinsed in PBS (Sigma-Aldrich, Darmstad, Germany) buffer, then fixed using glutaraldehyde (POCH, Wroclaw, Poland) and dried using an EM CPD300 dryer (Leica Microsystems, Wetzlar, Germany). Next, the samples were sputtered with Au/Pd (60:40) using EM ACE600, Leica, sputterer (Leica Microsystems, Wetzlar, Germany). After sputtering, the samples were subjected to examination using a scanning electron microscope (Auriga 60, Zeiss, Oberkochen, Germany) or EVO MA 25 (Zeiss, Oberkochen, Germany) operated at 2 kV.
(b) The Confocal Microscopy. The biofilm samples obtained after the performance of experiments described in Section 5.4(c) of this manuscript were subjected to dyeing using a Filmtracer™ LIVE/DEAD™ Biofilm Viability Kit (Thermo Fischer Scientific, Waltham, MA, USA). Subsequently, the plugs were glued to a Petri dish using cyanoacrylate glue (Glue-Invest, Warsaw, Poland). After that, 2 mL of buffer (PBS) was introduced to the dish to cover the disks. Next, a cover slip was placed on the top of the disk. The whole setting was placed on the table of an SP8 confocal microscope (Leica Microsystems, Wetzlar, Germany). The disk surface was analyzed using water immersion objective (25 × magnification) and a numerical aperture of 0.95 (HC FLUOTAR L, Leica Microsystems, Wetzlar, Germany). Three random 3D fields with dimensions of 372.3 × 372.3 µm (x- and y-axes; lateral dimensions) and between 70 and 120 m (z axis; depth of field) were subjected to imaging. The voxel size was 0.298 × 0.298 × 0.566 µm. The acquired images were of 1248 × 1248 pixels resolution in the x- and y- axes. The emission of SYTO9 was excited using a 488 nm laser line. The fluorescence ranging from 492 to 533 nm was collected. The emission of propidium iodide PI was excited with a 552 nm laser line. The fluorescence ranging from 557 to 622 nm was collected.

2.6. The Statistical Analysis

The analyses were performed with use of GraphPad Prism 8 (GraphPad Software, San Diego, CA, USA). The normality of distribution was checked with use of Shapiro–Wilk’s test. The statistical significance was evaluated using a Kruskal–Wallis multiple comparisons test with post hoc Dunne’s modification (α = 0.05).

3. Results

In the first line of investigation, the basic parameters of octenidine-containing (OCT) lozenges were assessed. The average mass of the OCT lozenge was 2604 ± 2.3 mg; in static conditions, it dissolved in 40 mL of artificial saliva (AS), while in the oral cavity, lozenges dissolved completely in 22.8 ± 4 min. The assessment of these parameters was necessary to establish the appropriate exposure times and to indicate the appropriate concentrations of octenidine dihydrochloride to be applied in the subsequent in vitro models.
For all strains applied in the research, it was also possible to indicate the Minimum Antimicrobial Concentration (M.A.C.) and Minimum Biofilm Eradication Concentration (M.B.E.C.) values for octenidine dihydrochloride (in the standard 96-well plate model); regardless, it was applied in the formulation of liquid (OL) antiseptic or it was released from the lozenge (OCT) formulation (Table 1).
As shown in Table 1, all MBEC values, regardless of the species the octenidine dihydrochloride was applied against, were higher than the Minimum Antimicrobial Concentration values. The highest difference (16 times) between these two values was recorded in S. aureus and S. pyogenes. In turn, the lowest difference between MBEC and Minimum Antimicrobial Concentration was two times, and it concerned the setting where octenidine was introduced to A. actinomycetemcomitans. The least favorable MBEC and Minimum Antimicrobial Concentration values of octenidine were recorded for C. albicans, while the most favorable (the lowest one) were recorded for A. actinomycetemcomitans. In the case of the MBEC and MBC values of octenidine released from OCT or OL antiseptic, no significant differences were observed. The maximal change between analyzed values was twofold and no distinct trend could be distinguished—the MBEC values of octenidine released from OCT and OL in P. aeruginosa were 7.812 and 15.625, respectively, while in case of C. albicans, the Minimum Antimicrobial Concentration values for octenidine released from OCT or OL were 1.803 and 3.906, respectively. In turn, the same MBEC and Minimum Antimicrobial Concentration values were recorded for S. aureus and S. pyogenes, regardless of the antiseptic formulation applied (OCT or OL). The same situation (no difference regarding the type of antiseptic formulation applied) was observed in the case of A. actinomycetemcomitans. In the second line of investigation, the capability of microorganisms to form a biofilm on the hydroxyapatite or agar discs (surfaces applied in the subsequent analyses of MBEC values in the next research setting) was scrutinized using Scanning Electron Microscopy (Figure 2).
All tested species formed the adhered, robust (multilayer) structures of a biofilm, regardless of the surface they were cultured on. Nevertheless, the specific differences relating to the type of surface applied could be distinguished. Firstly, the S. aureus and P. aeruginosa biofilms (cultured on HA) produced in the observed field of visions a higher amount of extracellular matrix compared to their counterparts grown on the agar surface. In the case of the last type mentioned, the biofilm took the form of a multi-cellular structure in which cells were interconnected by adhesin-like structures rather than embedded within the extracellular matrix. The opposite trend was observed in the case of Streptococcus pyogenes (higher amount of matrix on soft agar compared to the hard surface of HA). The C. albicans and A. actinomycetemcomitans biofilms took similar forms regardless of the applied growth surface; however, the share of extracellular matrix in the biofilm formed by the bacterium was distinctively higher than what was observed in the fungal biofilm (applied in an in vitro setting).
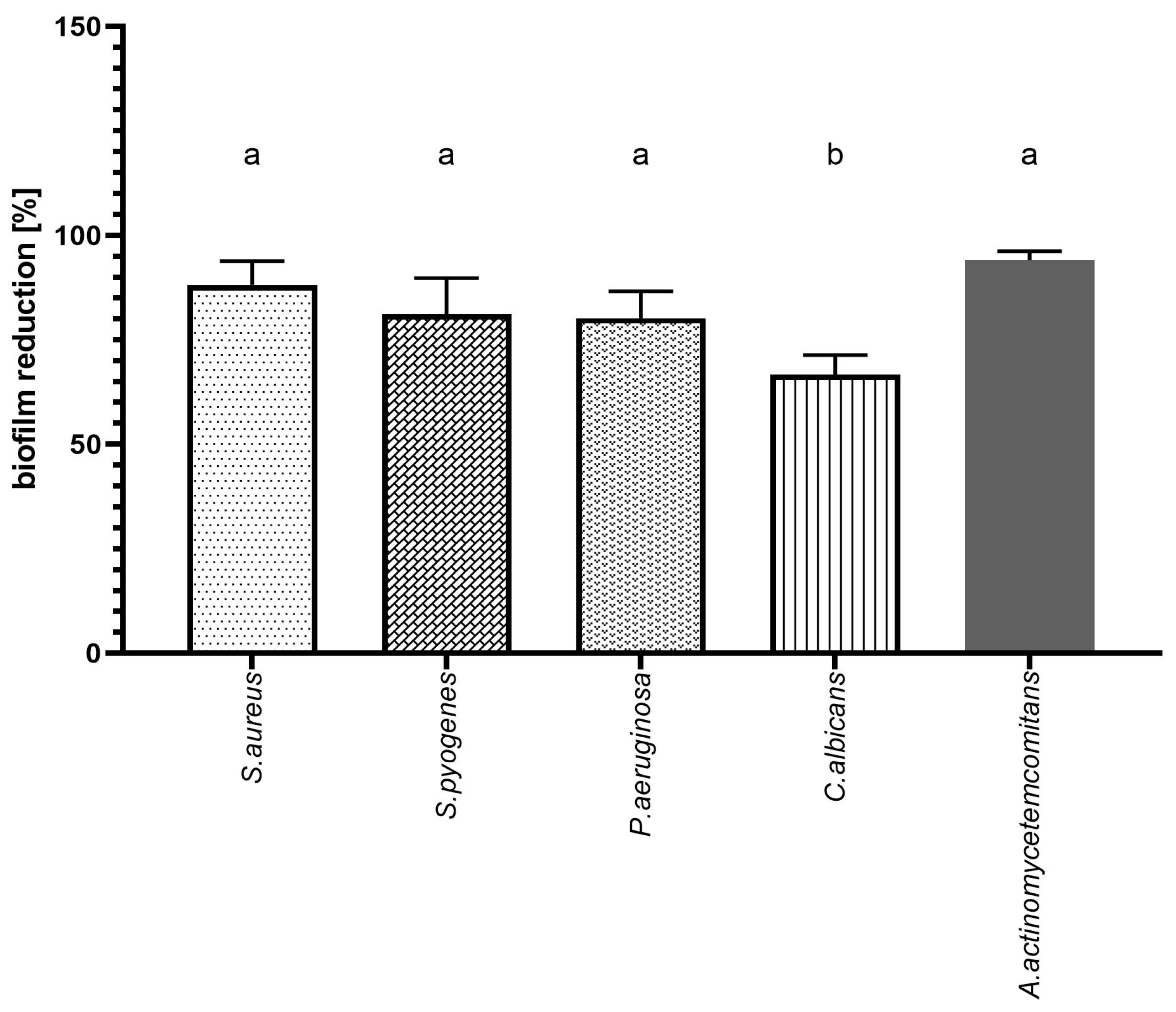
When the capability of the tested microorganisms to form a biofilm on soft agar and hard HA surfaces (imitating to a certain extent the surfaces of soft tissue and bones, respectively) was proven, the main part of the analysis was performed to assess the antibiofilm activity of octenidine dihydrochloride-containing lozenges (Figure 3 and Figure 4) and an octenidine dihydrochloride-containing liquid antiseptic (comparator) (Figure 5 and Figure 6).
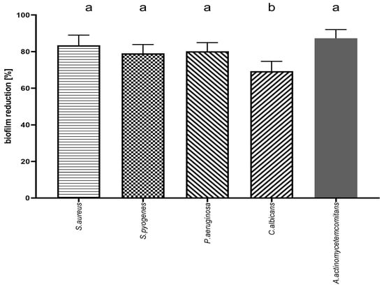
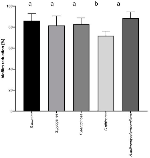
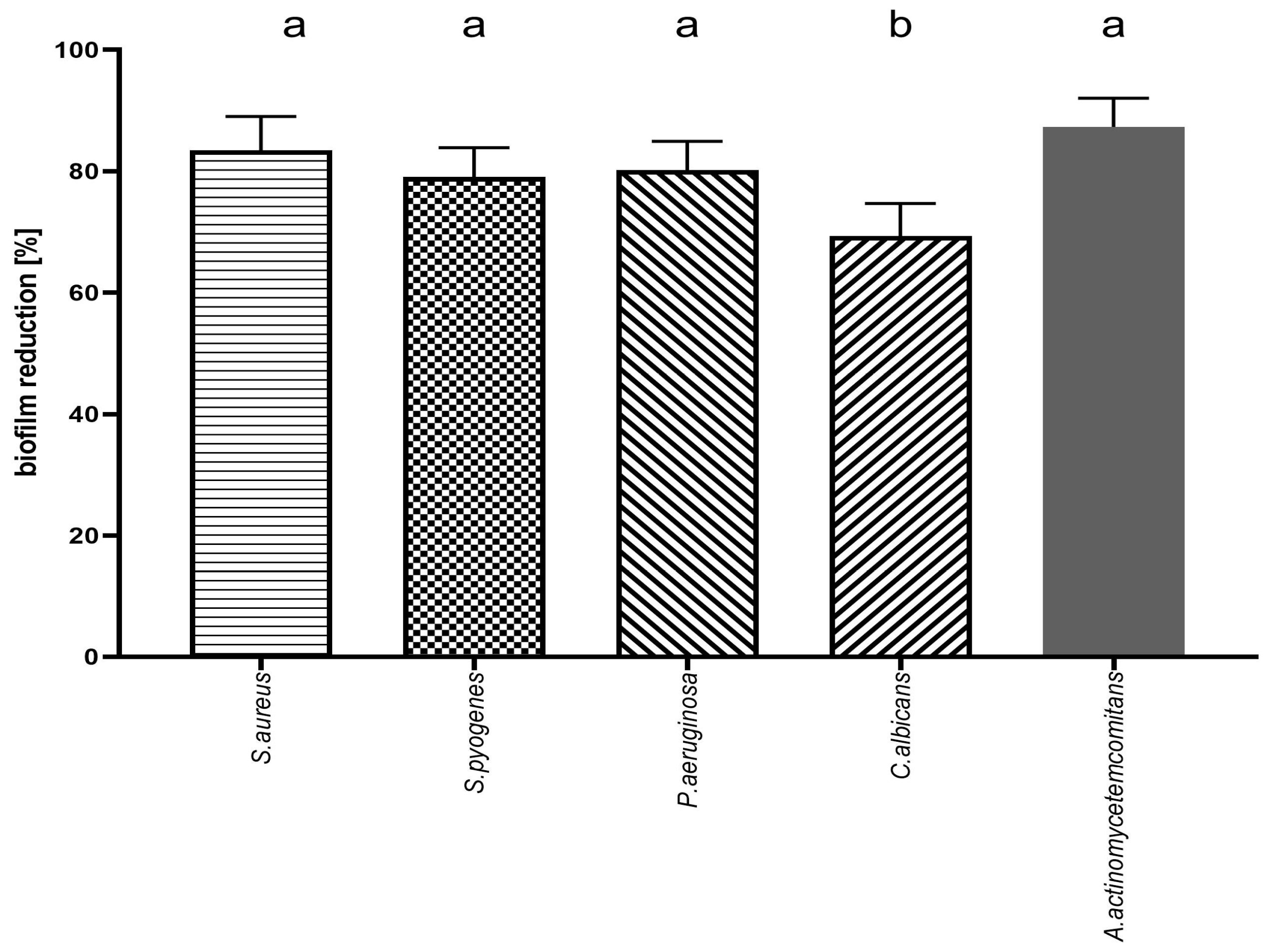
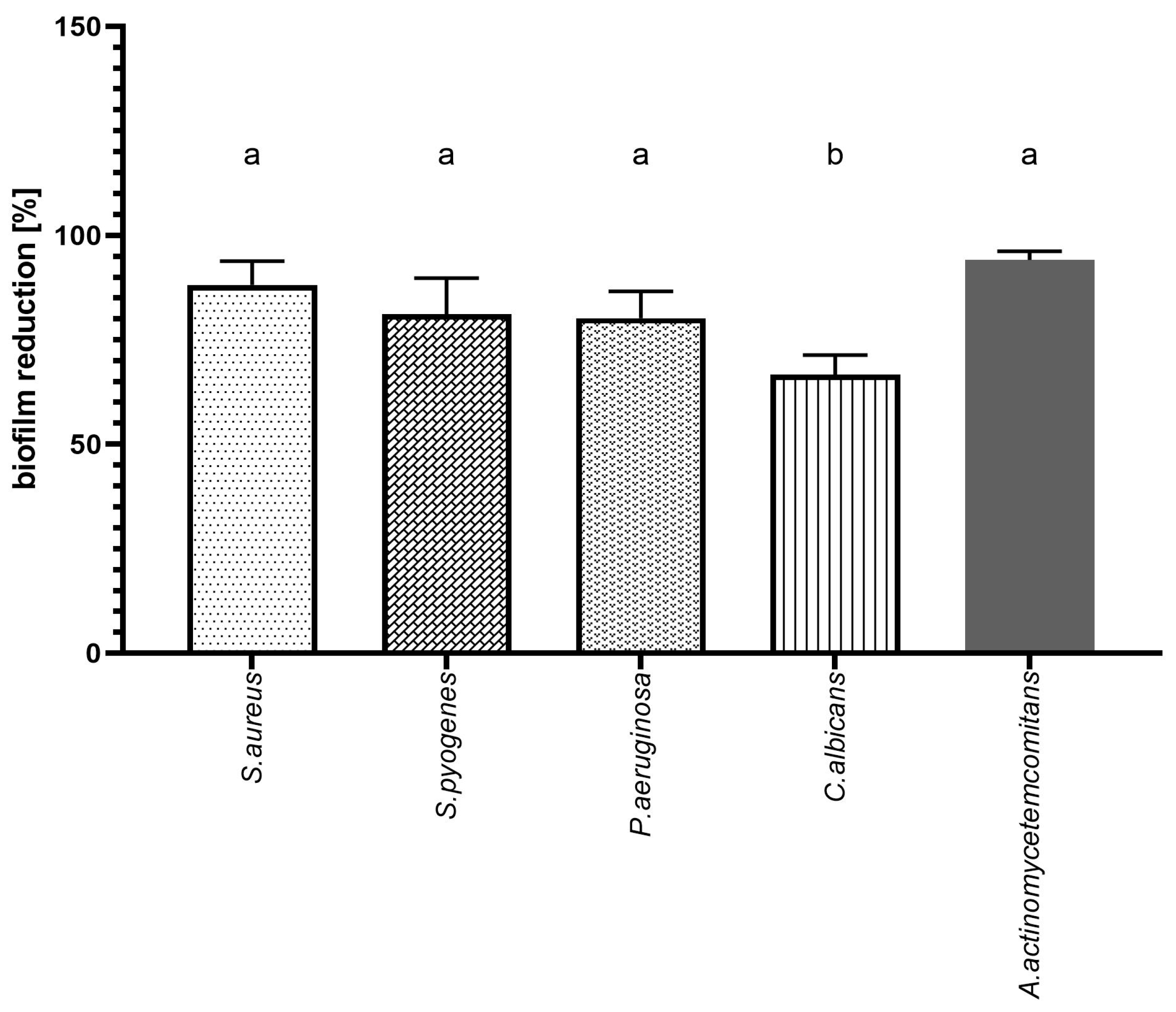
In this setting, Artificial Saliva (AS) was applied in the fluid immersing the formed biofilm to bring this in vitro model closer to the real conditions of the oral cavity. The patterns of biofilm reduction [%] did not differ with regard to the type of surface (HA vs. agar) or with regard to the antiseptic formulation (OCT vs. OL) applied, while the biofilm-forming species was a differentiating factor regarding the level of biofilm reduction.
The aforementioned values, presented in descending order, with regard to the species forming biofilms are as follows: A. actinomycetemcomitans > S. aureus > P. aeruginosa > C. albicans. The measured reduction [%] in the C. albicans biofilm was always significantly lower (p > 0.05) than the measured reduction [%] in other biofilm-forming species used in this research, while the measured reduction [%] in A. actinomycetemcomitans biofilm was always significantly higher (p > 0.05) than the measured reduction in other biofilm-forming species. The comparison of average values of biofilm reduction [%] measured between specific biofilm-forming strains with regard to the antiseptic formulations (comparison of data presented in Figure 3 and Figure 4 vs. Figure 5 and Figure 6) shows no impactful (p < 0.05) differences (the antibiofilm effects achieved were comparable). The observed differences between the biofilms’ reduction [%] did not exceed, on average, a value of 7%.
Finally, by means of Confocal Laser Microscopy, the visualization of biofilms treated with OCT was performed and compared to the biofilms not treated with an antimicrobial (Figure 7).
As presented in Figure 7, the allotment of compromised (dead) cells in the structures of biofilms treated with OCT increased markedly compared to the non-treated biofilms. Moreover, as shown in representative images in Figure 7, the highest intensity of red fluorescence (“dead cells”) was observed in A. actinomycetemcomitans, while the lowest one was in the C. albicans biofilms.

4. Discussion

Hidden beneath their protective extracellular matrices, multi-cellular microbial communities, referred to as biofilms, display elevated tolerance levels toward the immune system and medicinal measures. In the current work, we scrutinized the potential of octenidine dihydrochloride-containing lozenges against five pathogenic biofilms of the oral cavity and throat formed by S. aureus, S. pyogenes, P. aeruginosa, C. albicans and A. actinomycetemcomitans. These microorganisms differ with regard to the structure of their cell wall—S. aureus and S. pyogenes are Gram-positive, P.aeruginosa and A. actinomycetemcomitans are Gram-negative bacteria and the cell wall of the C.albicans fungus differs essentially from the bacterial cell walls as it is composed of (among others) glucans, chitin and glycoproteins. This wall-based differentiation of applied microorganisms is of a pivotal matter regarding the active substance of analyzed OCT lozenges, namely, octenidine dihydrochloride. This is so because the mechanism of action of this cationic antiseptic relies on its adhesion to the outermost microbial structures (cell walls, membranes) and their alteration to an extent which leads to their discontinuity, causing the subsequent leakage of the cytoplasm and, finally, the death of microbial cell, finally [14]. The spectrum of octenidine activity covers Gram-negative and Gram-positive bacteria (but not the spores) as well as fungi and specific types of viruses. Another rationale behind the choice of the five above-mentioned microbial species for analysis was the fact that all of them are causative factors for a variety of biofilm-based infections in the oral cavity and also (in the case of S. aureus, S. pyogenes, P. aeruginosa or C. albicans) in the throat [15,16,17,18].
The main goal of the present research was to investigate the impact of the specific type of formulation (lozenge) containing 2.6 mg of octenidine dihydrochloride on the drug’s antibiofilm activity. It is generally accepted that, with regard to the hygiene of the oral cavity (understood as both prophylaxis or eradication of existing infection), solid carriers (such as lozenges) display significant advantages over liquid antiseptics [19]. This is because in the case of the last type of formulation mentioned (applied in a variety of so-called antiseptic mouth washes), the contact time of the bacteria to antiseptic substance rarely exceeds a few dozen seconds. After this time, the mouth wash needs to be removed from the oral cavity and its leftovers should be washed out with an abundance of water. On the contrary, solid carriers such as tablets or lozenges release the antiseptic into the oral cavity and subsequently to the throat over a more controlled, longer period (a dozen or so minutes, most often). Moreover, the antiseptic is naturally distributed by saliva throughout the oral cavity and streams down to the throat. The measured time period for the OCT lozenge to completely dissolve in the oral cavity was ca. 22 min, and such a time was established as the contact time (exposition time) in the experimental settings in this research utilizing biofilms pre-formed on HA or agar surfaces.
Nevertheless, in the first line of experimentation, the standard microdilution method was used to check if the octenidine dihydrochloride released from the OA maintains its antiseptic functions (Table 1). As a comparator, an octenidine-containing liquid antiseptic (OL) was applied. This antiseptic, being a commercially available product, also contains in its composition a phenoxyethanol (PHE) additive (of weak antimicrobial activity when applied as a stand-alone agent). However, PHE significantly boosts the antimicrobial activity of octenidine dihydrochloride [20]. Because the composition of OCT contains no PHE, it seemed rational to compare the activity of these two medicinal products. Interestingly, there were no significant differences in the observed MBC and MBEC values between OCT and OL in this experimental setting. The observed differences were in the scope of a single dilution of the octenidine concentration (i.e., 7.812 vs. 15.625 mg/L). The applied microdilution method (using the 96-well plate model) is derived directly from the binding European Committee on Antimicrobial Susceptibility Testing (EUCAST) methodology on the evaluation of the activity of antibiotics. The EUCAST annotations concerning this particular methodology indicate that MBC (and MIC) values differing by a single dilution are not conclusive because of the specific accuracy of the micro-dilution method [21]. Therefore, it may be stated that within this particular experimental setting (96-well plate, contact time of 24 h), the results obtained for the two formulations of antiseptics were comparable. Such an outcome may be explained by the composition of the OCT, in which star anise essential oil and peppermint essential oil are present. These products of plant origin also possess antibacterial/antifungal activity and their mechanism of action relies, similarly to octenidine, on compromising microbial cell walls/membranes, leading to their disfunction [22]. It may be hypothesized that these essential oils increased the overall antimicrobial activity of the OCT to a level similar to the one displayed by the OL comparator.
Next, the scrutinized strains were tested regarding their ability to form biofilms on HA (the main mineral of bones, including the jaws) and on a soft agar surface. This approach was dictated by the seemingly obvious statement that pathogenic biofilms in vivo do not grow on flat, smooth surfaces (such as the surface of a well on a 96-well plate) and that the functionality of biofilms grown in laboratory conditions resembling the surfaces on which these biofilms develop in reality may be more similar to the functionalities of clinical biofilms.
As indicated, all strains formed strong biofilm structures on both types of surfaces (Figure 2). In our earlier research [23], we showed that the type of fluid in which biofilm is cultured is also of high importance regarding the tolerance of a biofilm toward antiseptics. Therefore, we decided to apply the artificial saliva (AS) instead of a standard microbiological medium. Nevertheless, contrary to our earlier study, in this case, there were no differences observed in the reduction in biofilm regarding the type of surface used for its growth (HA or agar disks) (Figure 3, Figure 4, Figure 5 and Figure 6). This may be related to the fact that the highest possible concentration (65mg/L), at least in this particular experimental setting, was applied. It was at least two times higher than the MBEC concentration recorded for the 96-well plate model (Table 1). It can thus be assumed that such a relative abundance of octenidine during the 20 min of contact time was sufficient to penetrate through the biofilm and damage this structure to the extent which made it impossible to observe any differences in the biofilm’s tolerance to the antimicrobial between the two different surfaces used. Nevertheless, the application of this specific contact time was crucial for the assessment of antimicrobial activity as it reflected the factual time of the full dissolution of the lozenge and, at the same time, the complete release of octenidine from the carrier.
These obtained results are to a major extent comparable with earlier results of ours as well as to the data presented by other researchers concerning octenidine activity. We have already shown, by means of a Biofilm-Oriented Antiseptic Test, that at least 15 min is needed for the working solution of octenidine to eradicate the P. aeruginosa biofilm; a significantly shorter time is needed to achieve the same result against S. aureus biofilm [24]. A similar conclusion with regard to the P. aeruginosa biofilm was provided by Losse et al. [25]. The highest tolerance of C. albicans toward octenidine (among other tested microbial biofilms) was in turn indicated by Jamal et al. [26].
In our study, we have shown very the high antibiofilm activity of octenidine dihydrochloride released from lozenges. Although no MBEC values were obtained in this study’s particular settings (presented in Figure 3, Figure 4, Figure 5 and Figure 6), the average values of biofilm reduction [%] exceeded 80%. One should remember that typical rules of local administration of antiseptic-containing lozenges permit their ingestion a few times a day, and this recurring provision of an antimicrobial can control (or prevent) pathogenic biofilms from spreading [27]. The quantitative data presented in Figure 3, Figure 4, Figure 5 and Figure 6 were obtained by qualitative microscopic observation (Figure 7), showing, among others, a very high share of dead cells in A. actinomycetemcomitans biofilm after treatment with OA. Because this pathogenic bacterium is more and more frequently recognized as the etiological factor of aggressive jaw infections [28], the potential of OA application to eradicate A. actinomycetemcomitans biofilm, indicated in this study, may find its translational value. Analogically, the high ratio of eradication of methicilin-resistant Staphylococcus aureus (such as the strain applied in the present study) may indicate the potential of OCT to be applied against this multi-resistant and widespread Gram-positive coccus.
The high antibiofilm efficacy of octenidine dihydrochloride antiseptic was indicated not only in the current in vitro work, but also by the large amount of other research performed both in laboratory and clinical conditions generally acknowledging its efficacy as an antiseptic. The relatively small size of the octenidine molecule may be one of the factors enabling its penetration into compact biofilm structure and exerting antimicrobial activity against biofilm-forming cells. When octenidine is administered to the oral cavity in a stable carrier, the control of its release is higher than it is in the case of a liquid formulation. Moreover, the time of exposure of the biofilm to octenidine is significantly higher if this antiseptic is released from a stable carrier rather than the aforementioned liquid formulation. We are aware of the specific limitations of the current study, being mostly a result of its initial in vitro character. The oral cavity and throat are colonized by a vast spectrum of interacting microorganisms. Moreover, the environment in this niche is of a complex, dynamic character due to (among others) saliva and tongue movements and because of the activity of the immune system and the application of hygienic procedures [29]. Thus, a study such as ours using in vitro models is undoubtedly a simplification of the processes occurring within the oral cavity and the throat, not only because of the limitations of any in vitro models but also because we focused on the major pathogenic species and not on their inter-species consortia. On the other hand, we applied various in vitro models and various assessment techniques to obtain insight on the activity of octenidine dihydrochloride released from lozenges against pathogenic biofilms. Taking this fact into consideration, it can be stated that a study such as ours represents an important step in the direction of clinical research in that matter. It may thus be concluded that such a formulation as the one investigated in the current work may find broad application (in both ambulatory and hospital patients or non-patient customers) in the maintenance of oral health hygiene and the eradication of biofilm-based infections of the oral cavity and the throat.

5. Conclusions

  • The applied in vitro models revealed octenidine-containing lozenges’ high ability to eradicate microbial biofilms relevant to the infections of the oral cavity and throat.
  • The applied in vitro models should be developed in a future line of investigation to mimic the environment of the oral cavity and throat in a more detailed manner.
  • The prolonged release of octenidine from lozenges provides a longer contact time between biofilms and this antiseptic; thus, it should provide higher therapeutic results compared to the antiseptic in liquid form.

Author Contributions

Conceptualization, B.D. and A.J.; methodology, B.D.; software, B.D.; validation, A.J.; formal analysis, B.D.; investigation, B.D., J.T., P.S.-Z., G.C., P.M. and J.C.; resources, B.D.; data curation, B.D.; writing—original draft preparation, B.D.; writing—review and editing, A.J.; visualization, B.D.; supervision, A.J.; project administration, B.D.; funding acquisition, B.D., A.J. All authors have read and agreed to the published version of the manuscript.

Funding

The work was funded by grant SUBZ.D230.23.030 provided by Wroclaw Medical University.

Institutional Review Board Statement

Not applicable.

Informed Consent Statement

Not applicable.

Data Availability Statement

Not applicable.

Conflicts of Interest

The authors declare no conflict of interest.

References

  1. Deo, P.N.; Deshmukh, R. Oral microbiome: Unveiling the fundamentals. J. Oral Maxillofac. Pathol. 2019, 23, 122–128. [Google Scholar] [CrossRef] [PubMed]
  2. Shen, L. Gut, Oral and nasal microbiota and Parkinson’s disease. Microb. Cell Fact. 2020, 19, 50. [Google Scholar] [CrossRef]
  3. Hobley, L.; Harkins, C.; MacPhee, C.E.; Stanley-Wall, N.R. Giving structure to the biofilm matrix: An overview of individual strategies and emerging common themes. FEMS Microbiol. Rev. 2015, 39, 649–669. [Google Scholar] [CrossRef]
  4. Haque, M.M.; Haque, M.A.; Mosharaf, M.K.; Islam, M.S.; Islam, M.M.; Hasan, M.; Molla, A.H.; Haque, M.A. Biofilm-mediated decolorization, degradation and detoxification of synthetic effluent by novel biofilm-producing bacteria isolated from textile dyeing effluent. Environ. Pollut. 2022, 314, 120237. [Google Scholar] [CrossRef] [PubMed]
  5. Brown, J.L.; Johnston, W.; Delaney, C.; Short, B.; Butcher, M.C.; Young, T.; Butcher, J.; Riggio, M.; Culshaw, S.; Ramage, G. Polymicrobial Oral biofilm models: Simplifying the complex. J. Med. Microbiol. 2019, 68, 1573–1584. [Google Scholar] [CrossRef]
  6. Kommerein, N.; Weigel, A.J.; Stiesch, M.; Doll, K. Plant-based Oral care product exhibits anti-bacterial effects on different stages of Oral multispecies biofilm development in vitro. BMC Oral Health 2021, 21, 170. [Google Scholar] [CrossRef] [PubMed]
  7. Hajishengallis, G.; Lamont, R.J. Breaking bad: Manipulation of the host response by porphyromonas gingivalis. Eur. J. Immunol. 2014, 44, 328–338. [Google Scholar] [CrossRef] [PubMed]
  8. Souto, R.; Silva-Boghossian, C.M.; Colombo, A.P. Prevalence of Pseudomonas aeruginosa and Acinetobacter spp. in subgingival biofilm and saliva of subjects with chronic periodontal infection. Braz. J. Microbiol. 2014, 45, 495–501. [Google Scholar] [CrossRef]
  9. Schnurr, E.; Paqué, P.N.; Attin, T.; Nanni, P.; Grossmann, J.; Holtfreter, S.; Bröker, B.M.; Kohler, C.; Diep, B.A.; Ribeiro, A.A.; et al. Staphylococcus aureus Interferes with Streptococci Spa-tial Distribution and with Protein Expression of Species within a Polymicrobial Oral Biofilm. Antibiotics 2021, 10, 116. [Google Scholar] [CrossRef] [PubMed]
  10. Koo, H.; Andes, D.R.; Krysan, D.J. Candida-streptococcal interactions in biofilm-associated Oral diseases. PLoS Pathog. 2018, 14, e1007342. [Google Scholar] [CrossRef]
  11. WHO. Oral Health. 2022. Available online: https://www.who.int/news-room/fact-sheets/detail/oral-health (accessed on 2 April 2022).
  12. Reda, B.; Dudek, J.; Martínez-Hernández, M.; Hannig, M. Effects of Octenidine on the Formation and Disruption of Dental Biofilms: An Exploratory In Situ Study in Healthy Subjects. J. Dent. Res. 2021, 100, 950–959. [Google Scholar] [CrossRef] [PubMed]
  13. Malhotra, A.; Bali, A.; Bareja, R. Anti-bacterial efficacy of octenidine as a mouthwash. Int. J. Pharm. Sci. Res. 2016, 7, 340–344. [Google Scholar]
  14. Chinna Reddy, P.; Chaitanya, K.S.; Madhusudan Rao, Y. A review on bioadhesive buccal drug delivery systems: Current status of formulation and evaluation methods. Daru 2011, 19, 385–403. [Google Scholar]
  15. Malanovic, N.; Ön, A.; Pabst, G.; Zellner, A.; Lohner, K. Octenidine: Novel insights into the detailed killing mechanism of Gram-negative bacteria at a cellular and molecular level. Int. J. AntiMicrob. Agents 2020, 56, 106146. [Google Scholar] [CrossRef] [PubMed]
  16. Archer, N.K.; Mazaitis, M.J.; Costerton, J.W.; Leid, J.G.; Powers, M.E.; Shirtliff, M.E. Staphylococcus aureus biofilms: Properties, regulation, and roles in human disease. Virulence 2011, 2, 445–459. [Google Scholar] [CrossRef]
  17. Rivas Caldas, R.; Le Gall, F.; Revert, K.; Rault, G.; Virmaux, M.; Gouriou, S.; Héry-Arnaud, G.; Barbier, G.; Boisramé, S. Pseudomonas aeruginosa and Periodontal Pathogens in the Oral Cavity and Lungs of Cystic Fibrosis Patients: A Case-Control Study. J. Clin. Microbiol. 2015, 53, 1898–1907. [Google Scholar] [CrossRef]
  18. Janus, M.M.; Crielaard, W.; Volgenant, C.M.; van der Veen, M.H.; Brandt, B.W.; Krom, B.P. Candida albicans alters the bacterial microbiome of early in vitro Oral biofilms. J. Oral Microbiol. 2017, 9, 1270613. [Google Scholar] [CrossRef]
  19. Bezerra Bde, B.; Andriankaja, O.; Kang, J.; Pacios, S.; Bae, H.J.; Li, Y.; Tsiagbe, V.; Schreiner, H.; Fine, D.H.; Graves, D.T. A. actinomycetemcomitans-induced periodontal disease promotes systemic and local responses in rat periodontium. J. Clin. Periodontol. 2012, 39, 333–341. [Google Scholar] [CrossRef]
  20. Yehia, S.A.; El-Gazayerly, O.N.; Basalious, E.B. Design and in vitro/in vivo evaluation of novel mucoadhesive buccal discs of an antifungal drug: Relationship between swelling, erosion, and drug release. AAPS PharmSciTech 2008, 9, 1207–1217. [Google Scholar] [CrossRef]
  21. Hübner, N.O.; Siebert, J.; Kramer, A. Octenidine dihydrochloride, a modern antiseptic for skin, mucous membranes and wounds. Skin Pharmacol. Physiol. 2010, 23, 244–258. [Google Scholar] [CrossRef]
  22. Available online: https://www.eucast.org/clinical_breakpoints/ (accessed on 20 April 2022).
  23. Brożyna, M.; Paleczny, J.; Kozłowska, W.; Chodaczek, G.; Dudek-Wicher, R.; Felińczak, A.; Gołębiewska, J.; Górniak, A.; Junka, A. The Antimicrobial and Antibiofilm In Vitro Activity of Liquid and Vapour Phases of Selected Essential Oils against Staphylococcus aureus. Pathogens 2021, 10, 1207. [Google Scholar] [CrossRef] [PubMed]
  24. Paleczny, J.; Junka, A.; Brożyna, M.; Dydak, K.; Oleksy-Wawrzyniak, M.; Ciecholewska-Juśko, D.; Dziedzic, E.; Bartoszewicz, M. The High Impact of Staphylococcus aureus Biofilm Culture Medium on In Vitro Outcomes of Antimicrobial Activity of Wound Antiseptics and Antibiotic. Pathogens 2021, 10, 1385. [Google Scholar] [CrossRef]
  25. Junka, A.; Bartoszewicz, M.; Smutnicka, D.; Secewicz, A.; Szymczyk, P. Efficacy of antiseptics containing povidone-iodine, octenidine dihydrochloride and ethacridine lactate against biofilm forMed. by Pseudomonas aeruginosa and Staphylococcus aureus measured with the novel biofilm-oriented antiseptics test. Int. Wound J. 2014, 11, 730–734. [Google Scholar] [CrossRef]
  26. Loose, M.; Naber, K.G.; Purcell, L.; Wirth, M.P.; Wagenlehner, F. Anti-Biofilm Ef-fect of Octenidine and Polyhexanide on Uropathogenic Biofilm-Producing Bacteria. Urol. Int. 2021, 105, 278–284. [Google Scholar] [CrossRef] [PubMed]
  27. Jamal, M.; Ahmad, W.; Andleeb, S. Bacterial biofilm and associated infections. J. Chin. Med. Assoc. 2018, 81, 7–11. [Google Scholar] [CrossRef] [PubMed]
  28. Åberg, C.H.; Kelk, P.; Johansson, A. Aggregatibacter actinomycetemcomitans: Virulence of its leukotoxin and association with aggressive periodontitis. Virulence 2015, 6, 188–195. [Google Scholar] [CrossRef] [PubMed]
  29. Csapai, A.; Toc, D.A.; Pascalau, V.; Tosa, N.; Tripon, S.; Ciorîță, A.; Mihaila, R.M.; Mociran, B.; Costache, C.; Popa, C.O. Study of the Influence of the Dielectrophoretic Force on the Preferential Growth of Bacterial Biofilms in 3D Printed Microfluidic Devices. Appl. Sci. 2023, 13, 60. [Google Scholar] [CrossRef]
Figure 1. The experimental setting applied for the assessment of Biofilm Eradication Activity of OCT or OL.
Figure 1. The experimental setting applied for the assessment of Biofilm Eradication Activity of OCT or OL.
Applsci 13 02974 g001
Figure 2. The Biofilms of Staphylococcus aureus 33,591 (S.a), Streptococcus pyogenes 19,615, Pseudomonas aeruginosa 15,442 (P.a), Candida albicans 1023 (C.a), Aggregatibacter actinomycetemcomitans 29,522 (A.a) formed on hydroxyapatite or agar disks. Zeiss EVO MA 25; Auriga 60 (Obenkochen, Germany).
Figure 2. The Biofilms of Staphylococcus aureus 33,591 (S.a), Streptococcus pyogenes 19,615, Pseudomonas aeruginosa 15,442 (P.a), Candida albicans 1023 (C.a), Aggregatibacter actinomycetemcomitans 29,522 (A.a) formed on hydroxyapatite or agar disks. Zeiss EVO MA 25; Auriga 60 (Obenkochen, Germany).
Applsci 13 02974 g002
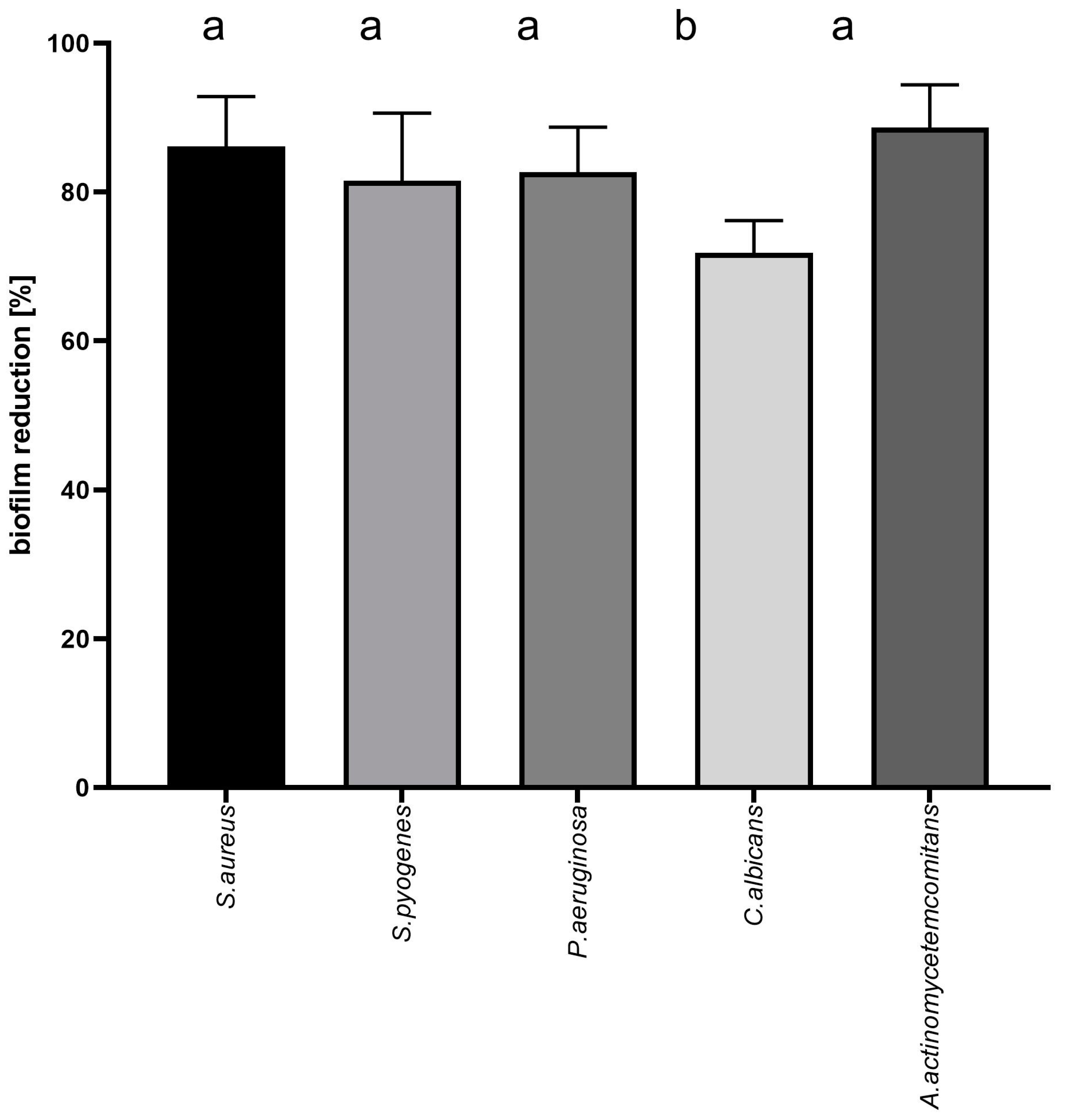
Figure 3. The reduction [%] in S. aureus, S. pyogenes, P. aeruginosa, C. albicans, A. actinomycetemcomitans biofilms pre-formed on Hydroxyapatite disks as a result of OCT activity. a, b—statistically significant (p > 0.05) differences between values of reduction.
Figure 3. The reduction [%] in S. aureus, S. pyogenes, P. aeruginosa, C. albicans, A. actinomycetemcomitans biofilms pre-formed on Hydroxyapatite disks as a result of OCT activity. a, b—statistically significant (p > 0.05) differences between values of reduction.
Applsci 13 02974 g003
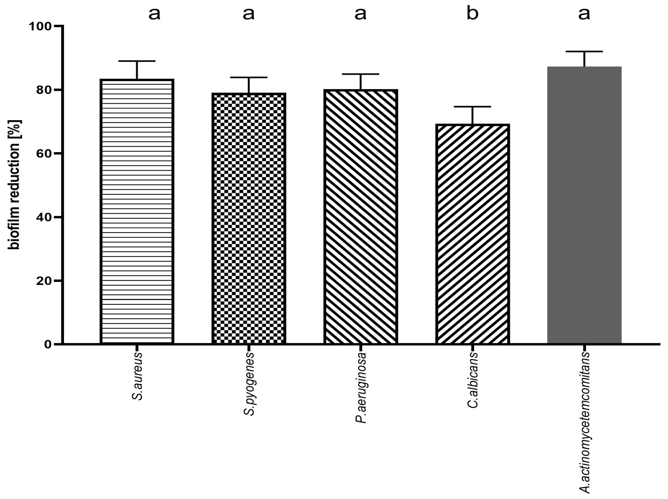
Figure 4. The reduction [%] in S. aureus, P. aeruginosa, C. albicans, A. actinomycetemcomitans biofilms pre-formed on agar disks as a result of OCT activity. a, b, statistically significant (p > 0.05) differences between values of reduction.
Figure 4. The reduction [%] in S. aureus, P. aeruginosa, C. albicans, A. actinomycetemcomitans biofilms pre-formed on agar disks as a result of OCT activity. a, b, statistically significant (p > 0.05) differences between values of reduction.
Applsci 13 02974 g004
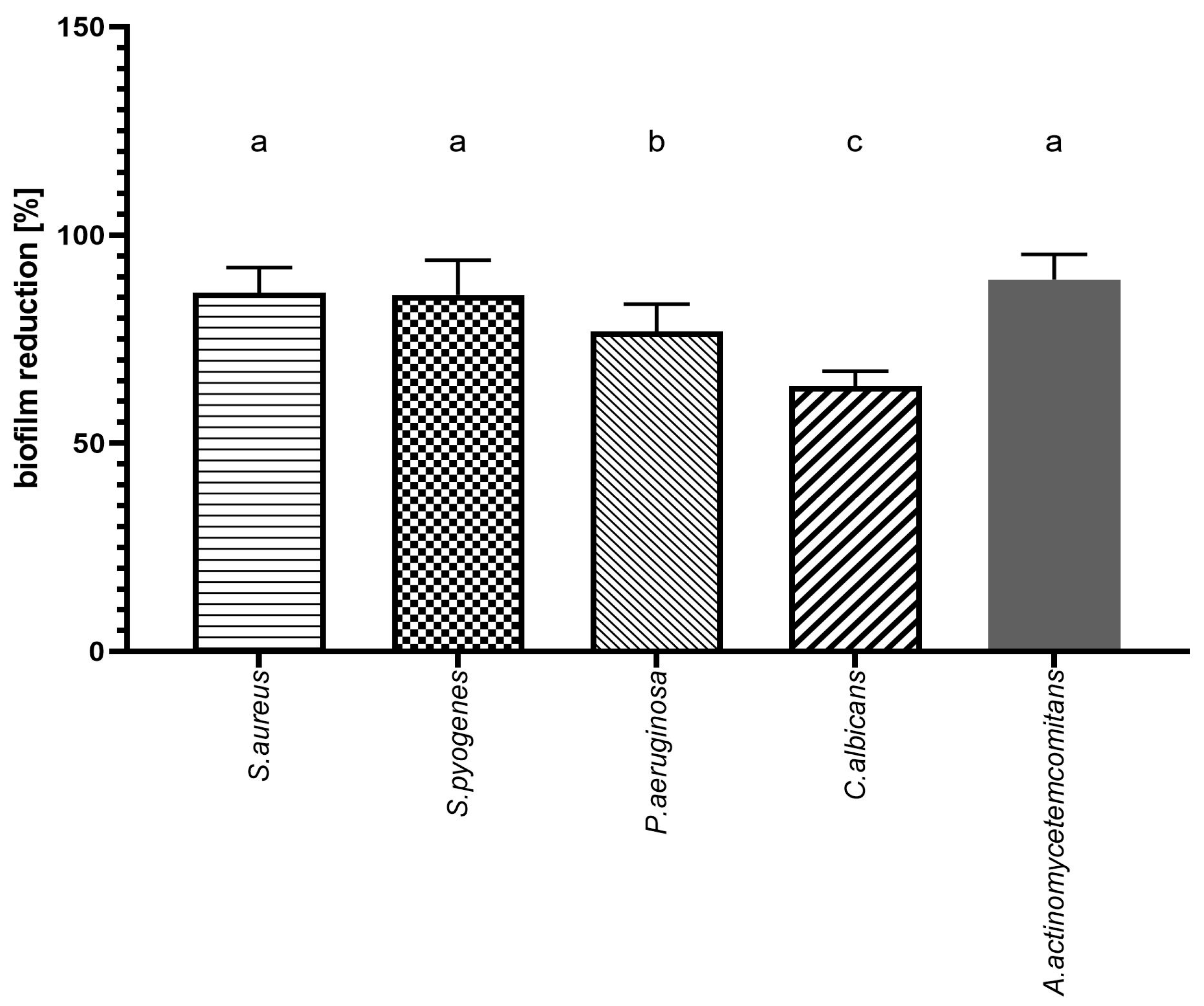
Figure 5. The reduction [%] in S. aureus, P. aeruginosa, C. albicans, A. actinomycetemcomitans biofilms pre-formed on hydroxyapatite disks as a result of OL (comparator) activity. a, b—statistically significant (p > 0.05) differences between values of reduction.
Figure 5. The reduction [%] in S. aureus, P. aeruginosa, C. albicans, A. actinomycetemcomitans biofilms pre-formed on hydroxyapatite disks as a result of OL (comparator) activity. a, b—statistically significant (p > 0.05) differences between values of reduction.
Applsci 13 02974 g005
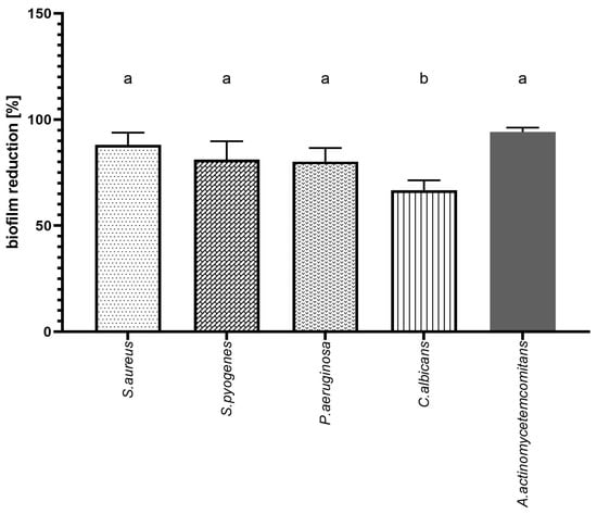
Figure 6. The reduction [%] in S. aureus, P. aeruginosa, C. albicans, A. actinomycetemcomitans biofilms pre-formed on agar disks as a result of OL (comparator) activity. a, b—statistically significant (p > 0.05) differences between values of reduction.
Figure 6. The reduction [%] in S. aureus, P. aeruginosa, C. albicans, A. actinomycetemcomitans biofilms pre-formed on agar disks as a result of OL (comparator) activity. a, b—statistically significant (p > 0.05) differences between values of reduction.
Applsci 13 02974 g006
Figure 7. The changes in proportion of live (green-dyed) and dead (red/orange) biofilm-forming cells after the treatment with OCT compared to the non-treated biofilms of Staphylococcus aureus 33,591 (S.a), Streptococcus pyogenes 19,615 (S.p.), Pseudomonas aeruginosa 15,442 (P.a), Candida albicans 1023 (C.a), Aggregatibacter actinomycetemcomitans 29,522 (A.a).
Figure 7. The changes in proportion of live (green-dyed) and dead (red/orange) biofilm-forming cells after the treatment with OCT compared to the non-treated biofilms of Staphylococcus aureus 33,591 (S.a), Streptococcus pyogenes 19,615 (S.p.), Pseudomonas aeruginosa 15,442 (P.a), Candida albicans 1023 (C.a), Aggregatibacter actinomycetemcomitans 29,522 (A.a).
Applsci 13 02974 g007
Table 1. Comparison of Minimum Antimicrobial Concentrations and Minimum Biofilm Eradication Concentrations (MBEC, bolded font) displayed by OCT or OL towards tested microorganisms. OCT—octenidine hydrochloride containing lozenge; OL—octenidine dihydrochloride liquid antiseptic.
Table 1. Comparison of Minimum Antimicrobial Concentrations and Minimum Biofilm Eradication Concentrations (MBEC, bolded font) displayed by OCT or OL towards tested microorganisms. OCT—octenidine hydrochloride containing lozenge; OL—octenidine dihydrochloride liquid antiseptic.
S. aureusS. pyogenesP. aeruginosaC. albicansA. actinomycetemcomitans
Minimum Antimicrobial Concentration/Minimum Biofilm Eradication Concentration [mg/L]
OCT0.244/3.9060.244/3.9060.976/7.8121.803/31.250.12/0.24
OL0.244/3.9060.244/3.9060.488/15.6253.906/31.250.12/0.24
Disclaimer/Publisher’s Note: The statements, opinions and data contained in all publications are solely those of the individual author(s) and contributor(s) and not of MDPI and/or the editor(s). MDPI and/or the editor(s) disclaim responsibility for any injury to people or property resulting from any ideas, methods, instructions or products referred to in the content.

Share and Cite

MDPI and ACS Style

Dudek, B.; Tymińska, J.; Szymczyk-Ziółkowska, P.; Chodaczek, G.; Migdał, P.; Czajkowska, J.; Junka, A. In Vitro Activity of Octenidine Dihydrochloride-Containing Lozenges against Biofilm-Forming Pathogens of Oral Cavity and Throat. Appl. Sci. 2023, 13, 2974. https://doi.org/10.3390/app13052974

AMA Style

Dudek B, Tymińska J, Szymczyk-Ziółkowska P, Chodaczek G, Migdał P, Czajkowska J, Junka A. In Vitro Activity of Octenidine Dihydrochloride-Containing Lozenges against Biofilm-Forming Pathogens of Oral Cavity and Throat. Applied Sciences. 2023; 13(5):2974. https://doi.org/10.3390/app13052974

Chicago/Turabian Style

Dudek, Bartłomiej, Justyna Tymińska, Patrycja Szymczyk-Ziółkowska, Grzegorz Chodaczek, Paweł Migdał, Joanna Czajkowska, and Adam Junka. 2023. "In Vitro Activity of Octenidine Dihydrochloride-Containing Lozenges against Biofilm-Forming Pathogens of Oral Cavity and Throat" Applied Sciences 13, no. 5: 2974. https://doi.org/10.3390/app13052974

APA Style

Dudek, B., Tymińska, J., Szymczyk-Ziółkowska, P., Chodaczek, G., Migdał, P., Czajkowska, J., & Junka, A. (2023). In Vitro Activity of Octenidine Dihydrochloride-Containing Lozenges against Biofilm-Forming Pathogens of Oral Cavity and Throat. Applied Sciences, 13(5), 2974. https://doi.org/10.3390/app13052974

Note that from the first issue of 2016, this journal uses article numbers instead of page numbers. See further details here.

Article Metrics

Back to TopTop