Power Allocation and User Grouping for NOMA Downlink Systems
Abstract
:1. Introduction
1.1. Related Work
1.2. Contributions
2. System Model
3. Resource Allocation
3.1. User Grouping
3.2. Power Allocation
3.2.1. Power Allocation among the Subcarriers
3.2.2. Power Allocation between the Users
3.3. Research Limitation
4. Numerical Results
5. Conclusions
- (1)
- Aiming to fix the shortcomings of the user grouping based on the maximum channel gain difference, we propose a new user grouping method to avoid users with similar channel gains being divided into one group. The proposed method improves the system sum rate.
- (2)
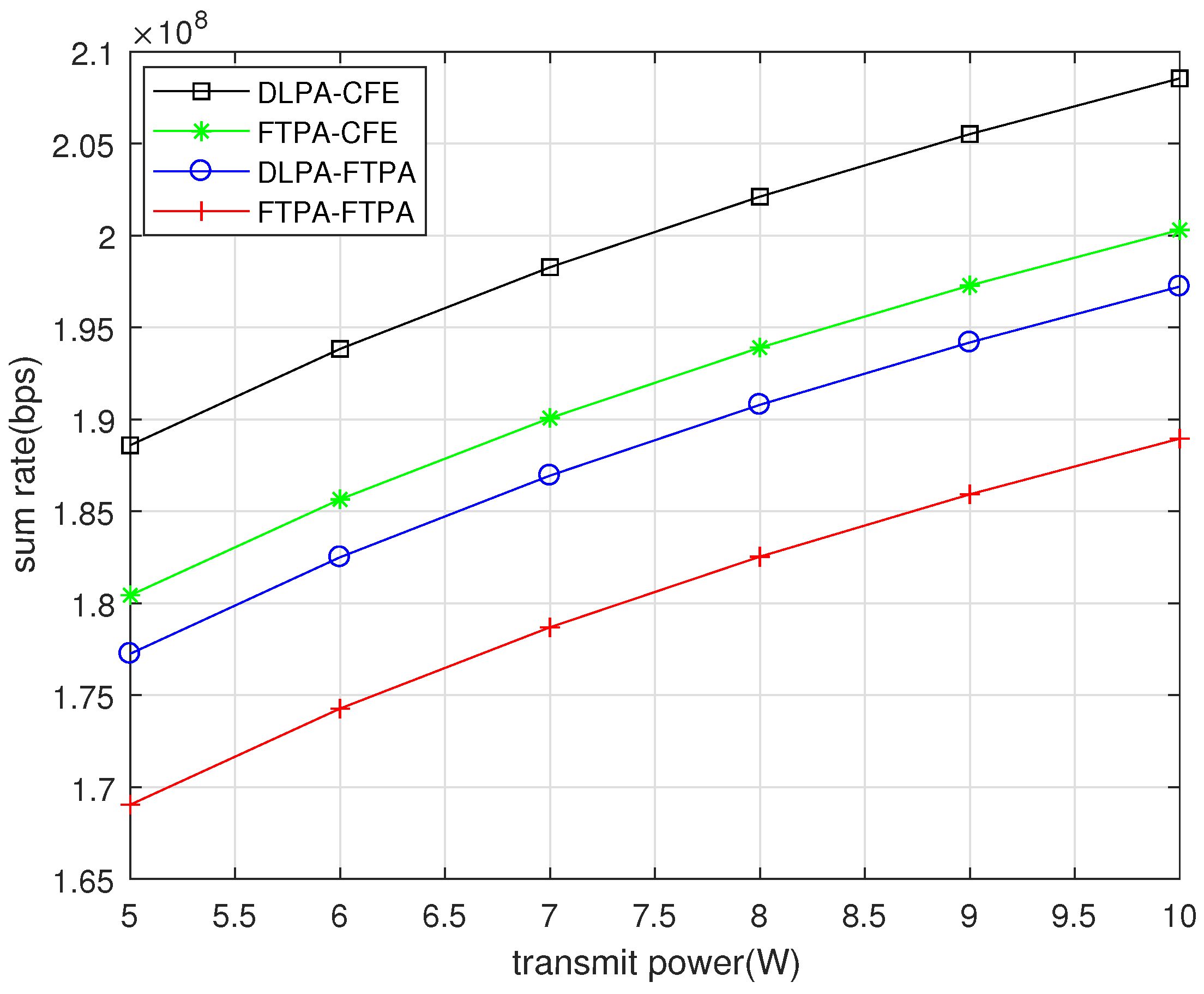
- In terms of power allocation, the DNN in DL is proposed for the first time to obtain the power for each subcarrier. The simulation results illustrate DLPA improves the sum rate by about 2.2% and 19% compared with FTPA and FPA, respectively.
- (3)
- After determining the power of the subcarriers, we derive the power allocation CFE of superimposed users according to the minimum transmission rate constraint. The simulation results illustrate that when the DLPA method is used among subcarriers and the CFE method is used between users, the rate increases by about 10% compared with the FTPA method.
Author Contributions
Funding
Institutional Review Board Statement
Informed Consent Statement
Data Availability Statement
Conflicts of Interest
References
- Otao, N.; Kishiyama, Y.; Higuchi, K. Performance of non-orthogonal access with SIC in cellular downlink using proportional fair-based resource allocation. In Proceedings of the 2012 International Symposium on Wireless Communication Systems (ISWCS), Paris, France, 28–31 August 2012; pp. 476–480. [Google Scholar] [CrossRef]
- Saito, Y.; Kishiyama, Y.; Benjebbour, A.; Nakamura, T.; Li, A.; Higuchi, K. Non-Orthogonal Multiple Access (NOMA) for Cellular Future Radio Access. In Proceedings of the 2013 IEEE 77th Vehicular Technology Conference (VTC Spring), Dresden, Germany, 2–5 June 2013; pp. 1–5. [Google Scholar] [CrossRef]
- Ding, Z.; Lei, X.; Karagiannidis, G.K.; Schober, R.; Yuan, J.; Bhargava, V.K. A Survey on Non-Orthogonal Multiple Access for 5G Networks: Research Challenges and Future Trends. IEEE J. Sel. Areas Commun. 2017, 35, 2181–2195. [Google Scholar] [CrossRef]
- Saito, Y.; Benjebbour, A.; Kishiyama, Y.; Nakamura, T. System-level performance evaluation of downlink non-orthogonal multiple access (NOMA). In Proceedings of the 2013 IEEE 24th Annual International Symposium on Personal, Indoor, and Mobile Radio Communications (PIMRC), London, UK, 8–11 September 2013; pp. 611–615. [Google Scholar] [CrossRef]
- Ding, Z.; Yang, Z.; Fan, P.; Poor, H.V. On the Performance of Non-Orthogonal Multiple Access in 5G Systems with Randomly Deployed Users. IEEE Signal Process. Lett. 2014, 21, 1501–1505. [Google Scholar] [CrossRef]
- Benjebbour, A.; Saito, Y.; Kishiyama, Y.; Li, A.; Harada, A.; Nakamura, T. Concept and practical considerations of non-orthogonal multiple access (NOMA) for future radio access. In Proceedings of the 2013 International Symposium on Intelligent Signal Processing and Communication Systems, Naha, Japan, 12–15 November 2013; pp. 770–774. [Google Scholar] [CrossRef]
- Gemici, O.F.; Kara, F.; Hokelek, I.; Kurt, G.K.; Cirpan, H.A. Resource allocation for NOMA downlink systems: Genetic algorithm approach. In Proceedings of the 2017 40th International Conference on Telecommunications and Signal Processing (TSP), Barcelona, Spain, 5–7 July 2017; pp. 114–118. [Google Scholar] [CrossRef]
- Benjebbovu, A.; Li, A.; Saito, Y.; Kishiyama, Y.; Harada, A.; Nakamura, T. System-level performance of downlink NOMA for future LTE enhancements. In Proceedings of the 2013 IEEE Globecom Workshops (GC Wkshps), Atlanta, GA, USA, 9–13 December 2013; pp. 66–70. [Google Scholar] [CrossRef]
- Ali, M.S.; Tabassum, H.; Hossain, E. Dynamic User Clustering and Power Allocation for Uplink and Downlink Non-Orthogonal Multiple Access (NOMA) Systems. IEEE Access 2016, 4, 6325–6343. [Google Scholar] [CrossRef]
- Fang, F.; Zhang, H.; Cheng, J.; Leung, V.C.M. Energy-Efficient Resource Allocation for Downlink Non-Orthogonal Multiple Access Network. IEEE Trans. Commun. 2016, 64, 3722–3732. [Google Scholar] [CrossRef]
- Zhu, L.; Zhang, J.; Xiao, Z.; Cao, X.; Wu, D.O. Optimal User Pairing for Downlink Non-Orthogonal Multiple Access (NOMA). IEEE Wirel. Commun. Lett. 2019, 8, 328–331. [Google Scholar] [CrossRef]
- Zhang, X.; Wang, J.; Wang, J.; Song, J. A Novel User Pairing in Downlink Non-Orthogonal Multiple Access. In Proceedings of the 2018 IEEE International Symposium on Broadband Multimedia Systems and Broadcasting (BMSB), Valencia, Spain, 6–8 June 2018; pp. 1–5. [Google Scholar] [CrossRef]
- Abuajwa, O.; Roslee, M.B.; Yusoff, Z.B. Simulated Annealing for Resource Allocation in Downlink NOMA Systems in 5G Networks. Appl. Sci. 2021, 11, 4592. [Google Scholar] [CrossRef]
- Ali, Z.J.; Noordin, N.K.; Sali, A.; Hashim, F.; Balfaqih, M. An Efficient Method for Resource Allocation and User Pairing in Downlink Non-orthogonal Multiple Access System. In Proceedings of the 2019 IEEE 14th Malaysia International Conference on Communication (MICC), Selangor, Malaysia, 2–4 December 2019; pp. 124–129. [Google Scholar] [CrossRef]
- Kumaresan, S.P.; Tan, C.K.; Lee, C.K.; Ng, Y.H. Low-complexity particle swarm optimisation-based adaptive user clustering for downlink non-orthogonal multiple access deployed for 5G systems. World Rev. Sci. Technol. Sustain. Dev. 2022, 18, 7–19. [Google Scholar] [CrossRef]
- Kumaresan, S.P.; Tan, C.K.; Ng, Y.H. Efficient User Clustering Using a Low-Complexity Artificial Neural Network (ANN) for 5G NOMA Systems. IEEE Access 2020, 8, 179307–179316. [Google Scholar] [CrossRef]
- Parida, P.; Das, S.S. Power allocation in OFDM based NOMA systems: A DC programming approach. In Proceedings of the 2014 IEEE Globecom Workshops (GC Wkshps), Austin, TX, USA, 8–12 December 2014; pp. 1026–1031. [Google Scholar] [CrossRef]
- Peng, M.; Zeng, J.; Liu, B.; Mei, J.; Su, X.; Xu, X.; Xiao, L. Resource Allocation in Multi-User NOMA Wireless Systems. In Proceedings of the 2018 12th International Symposium on Medical Information and Communication Technology (ISMICT), Sydney, NSW, Australia, 26–28 March 2018; pp. 1–5. [Google Scholar] [CrossRef]
- Cui, Y.; Liu, P.; Zhou, Y.; Duan, W. Energy-Efficient Resource Allocation for Downlink Non-Orthogonal Multiple Access Systems. Appl. Sci. 2022, 12, 9740. [Google Scholar] [CrossRef]
- Saetan, W.; Thipchaksurat, S. Application of Deep Learning to Energy-Efficient Power Allocation Scheme for 5G SC-NOMA System with Imperfect SIC. In Proceedings of the 2019 16th International Conference on Electrical Engineering/Electronics, Computer, Telecommunications and Information Technology (ECTI-CON), Pattaya, Thailand, 10–13 July 2019; pp. 661–664. [Google Scholar] [CrossRef]
- Zhang, S.; Li, L.; Yin, J.; Liang, W.; Li, X.; Chen, W.; Han, Z. A Dynamic Power Allocation Scheme in Power-Domain NOMA using Actor-Critic Reinforcement Learning. In Proceedings of the 2018 IEEE/CIC International Conference on Communications in China (ICCC), Beijing, China, 16–18 August 2018; pp. 719–723. [Google Scholar] [CrossRef]
- El-Sayed, M.M.; Ibrahim, A.S.; Khairy, M.M. Power allocation strategies for Non-Orthogonal Multiple Access. In Proceedings of the 2016 International Conference on Selected Topics in Mobile & Wireless Networking (MoWNeT), Cairo, Egypt, 11–13 April 2016; pp. 1–6. [Google Scholar] [CrossRef]
- Ding, Z.; Fan, P.; Poor, H.V. Impact of User Pairing on 5G Nonorthogonal Multiple-Access Downlink Transmissions. IEEE Trans. Veh. Technol. 2016, 65, 6010–6023. [Google Scholar] [CrossRef]
- Ding, Z.; Peng, M.; Poor, H.V. Cooperative Non-Orthogonal Multiple Access in 5G Systems. IEEE Commun. Lett. 2015, 19, 1462–1465. [Google Scholar] [CrossRef]
- Sze, V.; Chen, Y.H.; Yang, T.J.; Emer, J.S. Efficient Processing of Deep Neural Networks: A Tutorial and Survey. Proc. IEEE 2017, 105, 2295–2329. [Google Scholar] [CrossRef]
- Oleiwi, H.W.; Saeed, N.; Al-Raweshidy, H.S. A Cooperative SWIPT-Hybrid-NOMA Pairing Scheme considering SIC imperfection for THz Communications. In Proceedings of the 2022 4th Global Power, Energy and Communication Conference (GPECOM), Nevsehir, Turkey, 14–17 June 2022; pp. 638–643. [Google Scholar] [CrossRef]
- Jin, Y.; Luo, M.; Dong, M. User grouping and power allocation strategy based on NOMA system. J. Comput. Appl. 2020, 40, 788–792. [Google Scholar] [CrossRef]








| Parameters | Values |
|---|---|
| Cell Radius/m | 500 |
| Minimum Distance from User to BS/m | 50 |
| Overall System Bandwidth/MHz | 10 |
| Noise Power Spectral Density/(dBm/Hz) | −174 |
| Path Loss/dB | 128.1 + 37.6log(d) |
| Fading Model | Rayleigh Fading |
| Minimum Rate/Mbps | 1 |
| FTPA Factor | 0.7 |
| FPA Factor | 0.5 |
Disclaimer/Publisher’s Note: The statements, opinions and data contained in all publications are solely those of the individual author(s) and contributor(s) and not of MDPI and/or the editor(s). MDPI and/or the editor(s) disclaim responsibility for any injury to people or property resulting from any ideas, methods, instructions or products referred to in the content. |
© 2023 by the authors. Licensee MDPI, Basel, Switzerland. This article is an open access article distributed under the terms and conditions of the Creative Commons Attribution (CC BY) license (https://creativecommons.org/licenses/by/4.0/).
Share and Cite
Li, J.; Gao, T.; He, B.; Zheng, W.; Lin, F. Power Allocation and User Grouping for NOMA Downlink Systems. Appl. Sci. 2023, 13, 2452. https://doi.org/10.3390/app13042452
Li J, Gao T, He B, Zheng W, Lin F. Power Allocation and User Grouping for NOMA Downlink Systems. Applied Sciences. 2023; 13(4):2452. https://doi.org/10.3390/app13042452
Chicago/Turabian StyleLi, Jun, Tong Gao, Bo He, Wenjing Zheng, and Fei Lin. 2023. "Power Allocation and User Grouping for NOMA Downlink Systems" Applied Sciences 13, no. 4: 2452. https://doi.org/10.3390/app13042452
APA StyleLi, J., Gao, T., He, B., Zheng, W., & Lin, F. (2023). Power Allocation and User Grouping for NOMA Downlink Systems. Applied Sciences, 13(4), 2452. https://doi.org/10.3390/app13042452

