Seismic Performance of Fully Prefabricated L-Shaped Shear Walls with Grouted Sleeve Lapping Connectors under High Axial Compression Ratio
Abstract
Featured Application
Abstract
1. Introduction
2. Experimental Program
2.1. Specimens Design
2.1.1. Shear Wall
2.1.2. Sleeve
2.2. Material Properties
2.3. Experimental Setup and Loading Sequence
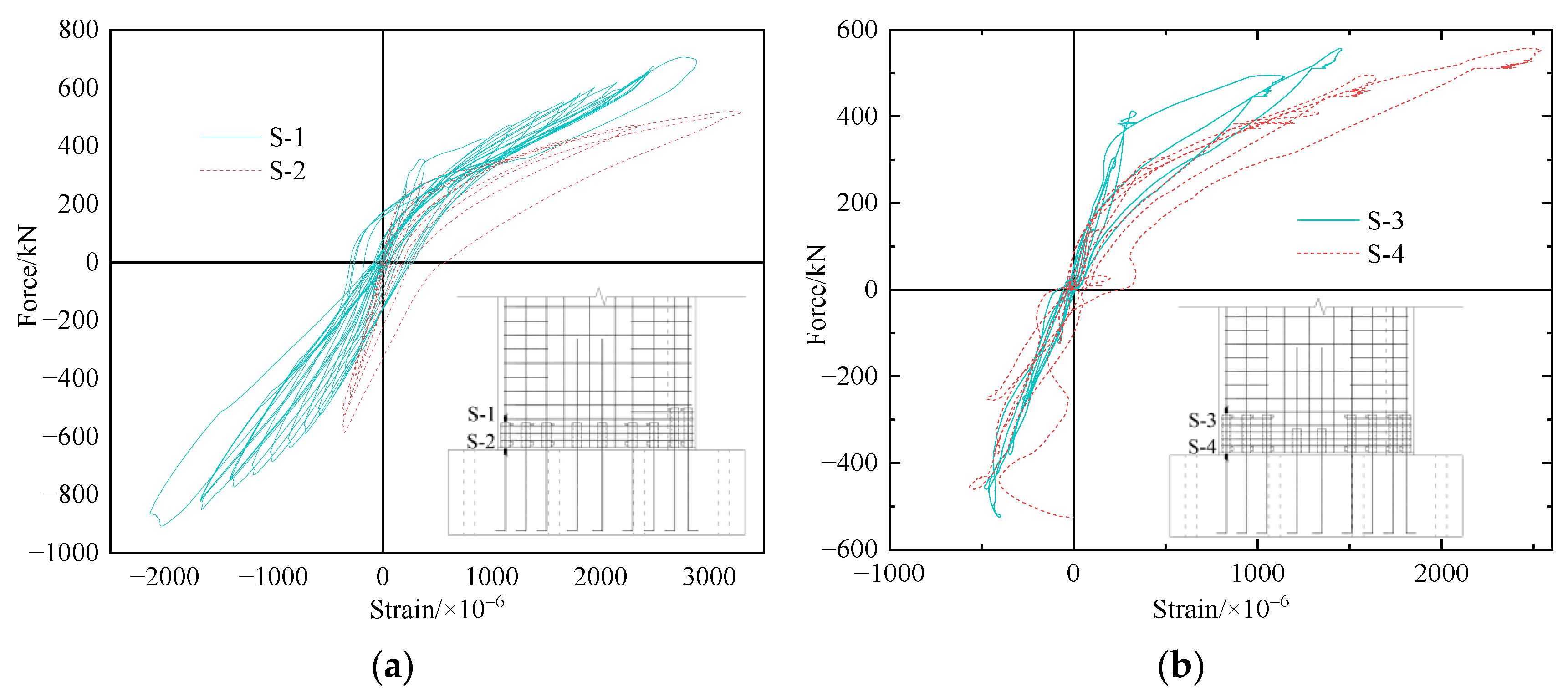
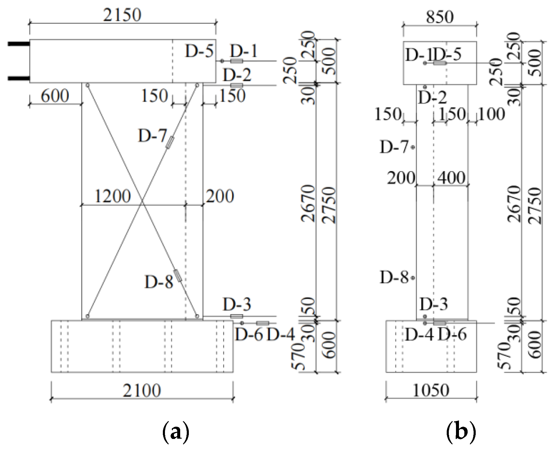
2.4. Arrangement of Measuring Points
3. Results and Discussion
3.1. Failure Modes
3.1.1. Specimen LSW
3.1.2. Specimen LAPC-1
3.1.3. Specimen LAPC-2
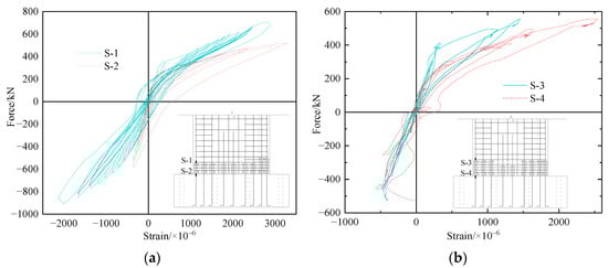
3.2. Hysteresis and Skeleton Curves
3.3. Bearing Capacity
3.4. Strength Degradation Coefficient
3.5. Stiffness
3.6. Deformation and Ductility
3.7. Energy Dissipation Capacity
3.8. Strain of Rebars
3.9. Out-of-Plane Torsion and Oblique Deformation of Specimens
4. Design Recommendations
- In order to improve the bonding strength of the sleeve on concrete and the compressive strength of concrete, stirrups and horizontally distributed reinforcements should be encrypted within the range from the bottom of the wall to 300 mm higher than the top of the sleeve. It is recommended to adopt the design measures of stirrups and horizontally distributed reinforcements in this paper in practical engineering, that is, the space between reinforcements is 50 mm.
- To prevent premature cracking of the grouting joint surface, the bottom of the prefabricated specimen and the top surface of the foundation should be properly chiseled. Furthermore, the bonding performance of the bonding surface can be improved by providing suitable keyways.
- A single row or double row of sleeves can be applied to the reinforcement connection of the wall body other than the edge members in the prefabricated wall. When the part of wall body other than the edge members of the prefabricated wall is connected by a single row of sleeves, the reinforcement can be calculated by the principle of equal strength substitution.
- It is recommended that the top of the sleeve should be provided with a 2 mm thick cover plate to prevent concrete from flowing into the sleeve during the preparation of the specimen. Based on the conventional grouting material used for the grouted splice connector, it is recommended to use a grouting material with a strength grade of at least C60. In addition, to ensure the fluidity of the grouting material in the sleeve, the maximum aggregate particle size in the grouting material should not exceed 4.75 mm.
- In consideration of possible grout defects in the sleeve above the vent hole, the vent hole above the sleeve should be as close to the top section of the sleeve as possible. Furthermore, it is recommended that the length of the sleeve above the vent hole should not be considered in the calculation.
5. Conclusions
- The final crack distribution and failure modes of the L-shaped prefabricated walls were basically the same as those of the cast-in-place wall, and all the specimens had suffered bending-shear failure. The difference was that the failure of the cast-in-place specimen occurred at the root of the wall limb, while the failure of the prefabricated specimens occurred at the top of the sleeve due to the constraints of the sleeve.
- At the ultimate state, a horizontal through crack was formed between the upper surface of the grouting joint and the prefabricated walls. Although the walls did not undergo obvious shear slip due to the action of the occlusal teeth at the joint, accumulated damage occurred in the out-of-plane displacement of the specimens.
- The bearing capacity, stiffness, ductility, and energy dissipation capacity of the prefabricated specimen connected by type-I sleeve were comparable to those of the cast-in-place wall, while the prefabricated wall connected by type-II sleeve showed greater bearing capacity and stiffness, as well as better ductility.
- Type-I and type-II APC sleeves could effectively transfer reinforcement stress in L-shaped shear walls, and the prefabricated specimens basically met the assumption of plane section before yielding, and the sleeves were not significantly damaged during the whole loading process.
- Out-of-plane torsion occurred in both the cast-in-place and the prefabricated walls, but the maximum absolute value of out-of-plane displacement and oblique deformation for prefabricated walls was smaller due to their high stiffness.
Author Contributions
Funding
Institutional Review Board Statement
Informed Consent Statement
Data Availability Statement
Acknowledgments
Conflicts of Interest
References
- Yee, A.A. Structural and economic benefits of precast/prestressed concrete construction. PCI J. 2001, 46, 34–42. [Google Scholar] [CrossRef]
- Xue, W.C.; Hu, X. State of the art of studies on precast concrete shear wall structures. J. Build. Struct. 2019, 40, 44–55. [Google Scholar] [CrossRef]
- Yee, A.A. Splice Sleeve for Reinforcing Bars. U.S. Patent 3,540,763, 27 June 1968. [Google Scholar]
- Ling, J.H.; Abd Rahman, A.B.; Ibrahim, I.S.; Hamid, Z.A. Tensile capacity of grouted splice sleeves. Eng. Struct. 2016, 111, 285–296. [Google Scholar] [CrossRef]
- Kuang, Z.P.; Zheng, G.Y. Computational and experimental mechanical modelling of a composite grouted splice sleeve connector system. Materials 2018, 11, 306. [Google Scholar] [CrossRef]
- Lin, F.; Wu, X.B. Mechanical performance and stress-strain relationships for grouted splices under tensile and cyclic loadings. Int. J. Concr. Struct. Mater. 2016, 10, 435–450. [Google Scholar] [CrossRef]
- Alias, A.; Zubir, M.A.; Shahid, K.A.; Abd Rahman, A.B. Structural performance of grouted sleeve connectors with and without transverse reinforcement for precast concrete structure. Procedia Eng. 2013, 53, 116–123. [Google Scholar] [CrossRef]
- Guo, T.; Yang, J.; Wang, W.; Li, C. Experimental investigation on connection performance of fully-grouted sleeve connectors with various grouting defects. Constr. Build. Mater. 2022, 327, 126981. [Google Scholar] [CrossRef]
- Soudki, K.A.; Rizkalla, S.H.; Leblanc, B. Horizontal Connections for Precast Concrete Shear Walls Subjected to Cyclic Deformations Part 1: Mild Steel Connections. PCI J. 1995, 40, 78–96. [Google Scholar] [CrossRef]
- Peng, Y.Y.; Qian, J.R.; Wang, Y.H. Cyclic performance of precast concrete shear walls with a mortar sleeve connection for longitudinal steel bars. Mater. Struct. 2016, 49, 2455–2469. [Google Scholar] [CrossRef]
- Ameli, M.J.; Parks, J.E.; Brown, D.N.; Pantelides, C.P. Seismic evaluation of grouted splice sleeve connections for reinforced precast concrete column-to-cap beam joints in accelerated bridge construction. PCI J. 2015, 60, 80–103. [Google Scholar] [CrossRef]
- Xu, L.; Pan, J.L.; Cai, J.M. Seismic performance of precast RC and RC/ECC composite columns with grouted sleeve connections. Eng. Struct. 2019, 188, 104–110. [Google Scholar] [CrossRef]
- Qiao, D.H.; Xu, Y.Q.; Zhang, X.; Pang, J.B.; Liu, K.; Wang, S.J. Seismic behaviour and size effect of column base joints with inverted exposed grouted sleeves. J. Build. Eng. 2022, 51, 104333. [Google Scholar] [CrossRef]
- Qian, J.R.; Yang, X.K.; Qin, H.; Peng, Y.Y.; Zhang, J.M.; Li, J.S. Tests on seismic behavior of pre-cast shear walls with various methods of vertical reinforcement splicing. J. Build. Struct. 2011, 32, 51–59. [Google Scholar] [CrossRef]
- Du, X.L.; Wu, M.; Liu, H.T. The seismic performance of precast short-leg shear wall under cyclic loading. Adv. Struct. Eng. 2021, 24, 570–582. [Google Scholar] [CrossRef]
- Wu, M.; Liu, X.; Liu, H.T.; Du, X.L. Seismic performance of precast short-leg shear wall using a grouting sleeve connection. Eng. Struct. 2020, 208, 110338. [Google Scholar] [CrossRef]
- Xu, G.S.; Wang, Z.; Wu, B.; Bursi, O.S.; Tan, X.J.; Yang, Q.B.; Wen, L. Seismic performance of precast shear wall with sleeves connection based on experimental and numerical studies. Eng. Struct. 2017, 150, 346–358. [Google Scholar] [CrossRef]
- Xiao, S.; Wang, Z.L.; Li, X.M.; Harries, K.A.; Xu, Q.F.; Gao, R.D. Study of effects of sleeve grouting defects on the seismic performance of precast concrete shear walls. Eng. Struct. 2021, 236, 111833. [Google Scholar] [CrossRef]
- Yu, Q. A New Confined Lapping Sleeve. C.N. Patent 201420656653.0, 1 April 2015. [Google Scholar]
- Yu, Q.; Xu, Z.Y.; Yuan, W.H.; Lv, X.L. Experimental study of grouted sleeve lapping connectors varied in two factors under tensile load. J. Harbin Inst. Technol. 2016, 48, 34–42. [Google Scholar] [CrossRef]
- Yu, Q.; Wei, J.W.; Wei, Y.T.; Xu, Z.Y. Experimental study of grouted sleeve lapping connectors of two bars under tensile load. J. Hunan Univ. 2019, 46, 20–32. [Google Scholar] [CrossRef]
- Yu, Q.; Sun, J.Q.; Xu, Z.Y.; Li, L.Z.; Zhang, Z.; Yu, S.L. Mechanical analysis of grouted sleeve lapping connector. Appl. Sci. 2019, 9, 4867. [Google Scholar] [CrossRef]
- Yu, Q.; Xu, Z.Y. Experimental study of grouted sleeve lapping connector under tensile load. Građevinar 2017, 69, 453–465. [Google Scholar] [CrossRef]
- Yu, Q.; Zhang, L.; Bai, S.H.; Fan, B.X.; Chen, Z.H.; Li, L.Z. Experimental study on seismic behavior of precast frame columns with vertical reinforcement spliced with grouted sleeve lapping connectors. Adv. Civ. Eng. 2021, 2021, 1549303. [Google Scholar] [CrossRef]
- Yu, Q.; Sun, J.Q.; Xu, X.J.; Fang, Y.Q. Experimental study on seismic behavior of precast shear walls with reinforcement spliced by grouted sleeve lapping connector. J. Tongji Univ. 2018, 46, 1348–1359+1373. [Google Scholar] [CrossRef]
- Xue, W.C.; Chu, M.X.; Liu, Y.N.; Hu, X. Seismic performance of new precast concrete shear wall under high axial compression ratio. J. Harbin Eng. Univ. 2018, 39, 452–460. [Google Scholar] [CrossRef]
- Liu, J.L.; Wang, B.M.; Chu, M.J.; Wang, B.; Zhang, P.F.; An, N.; Li, X.B. Experimental study on flexural behavior of monolithic precast concrete shear walls with mortise-tenon joints. Eng. Mech. 2021, 38, 79–87. [Google Scholar] [CrossRef]
- GB/T 51231-2016; Technical standard for assembled buildings with concrete structure. China Architecture and Building Press: Beijing, China, 2017. (In Chinese)
- GB50010-2010; Code for design of concrete structures. China Architecture and Building Press: Beijing, China, 2010. (In Chinese)
- JGJ 3-2010; Technical specification for concrete structures of tall building. China Architecture and Building Press: Beijing, China, 2010. (In Chinese)
- JGJ/T 101-2015; Specification for seismic test of buildings. China Architecture and Building Press: Beijing, China, 2015. (In Chinese)
- GB50011-2010; Code for seismic design of buildings. China Architecture and Building Press: Beijing, China, 2010. (In Chinese)



















| Specimen | Concrete Casting | Form of Splicing | ||
|---|---|---|---|---|
| Straight-Edge Member | Middle of Wall | L-Shaped-Edge Member | ||
| LSW | Cast-in-place | Continuous rebars | Continuous rebars | Continuous rebars |
| LAPC-1 | Prefabricated | Six type-I sleeves | Two type-I sleeves | Eight type-I sleeves and two type-II sleeves |
| LAPC-2 | Prefabricated | Three type-II sleeves | Two type-I sleeves | Six type-II sleeves |
| Material | Diameter/mm | Thickness/mm | fy/MPa | fu/MPa |
|---|---|---|---|---|
| Rebar | 8 | - | 370 | 633 |
| 14 | - | 540 | 636 | |
| Steel of sleeve | - | 3 | 309 | 426 |
| - | 4 | 326 | 467 | |
| - | 6 | 315 | 449 |
| Specimen | Direction | Cracking Stage | Yield Stage | Peak Stage | Ultimate Stage | |||||
|---|---|---|---|---|---|---|---|---|---|---|
| /mm | /mm | /mm | /mm | |||||||
| LSW | Positive | 4.82 | 1/622 | 12.48 | 1/240 | - | - | - | - | - |
| Negative | 5.59 | 1/537 | 18.12 | 1/166 | 32.72 | 1/92 | 38.90 | 1/77 | 2.15 | |
| LAPC-1 | Positive | 5.23 | 1/574 | 13.52 | 1/222 | - | - | - | - | - |
| Negative | 6.35 | 1/472 | 17.90 | 1/168 | 31.70 | 1/95 | 40.45 | 1/74 | 2.26 | |
| LAPC-2 | Positive | 4.96 | 1/605 | 14.36 | 1/209 | - | - | - | - | - |
| Negative | 4.71 | 1/637 | 18.78 | 1/160 | 36.07 | 1/83 | 46.36 | 1/65 | 2.47 | |
| Specimen | Displacement/mm | |||||||
|---|---|---|---|---|---|---|---|---|
| 6 | 10 | 16 | 24 | 36 | 42 | 48 | 54 | |
| LSW | 0.092 | 0.068 | 0.071 | 0.073 | 0.087 | 0.102 | 0.191 | - |
| LAPC-1 | 0.067 | 0.069 | 0.062 | 0.066 | 0.086 | 0.111 | 0.207 | - |
| LAPC-2 | 0.063 | 0.060 | 0.057 | 0.068 | 0.088 | 0.100 | 0.114 | 0.134 |
Disclaimer/Publisher’s Note: The statements, opinions and data contained in all publications are solely those of the individual author(s) and contributor(s) and not of MDPI and/or the editor(s). MDPI and/or the editor(s) disclaim responsibility for any injury to people or property resulting from any ideas, methods, instructions or products referred to in the content. |
© 2023 by the authors. Licensee MDPI, Basel, Switzerland. This article is an open access article distributed under the terms and conditions of the Creative Commons Attribution (CC BY) license (https://creativecommons.org/licenses/by/4.0/).
Share and Cite
Yu, Q.; Tang, Z.; Zhang, X.; Fan, B.; Zhang, Z.; Chen, Z. Seismic Performance of Fully Prefabricated L-Shaped Shear Walls with Grouted Sleeve Lapping Connectors under High Axial Compression Ratio. Appl. Sci. 2023, 13, 2301. https://doi.org/10.3390/app13042301
Yu Q, Tang Z, Zhang X, Fan B, Zhang Z, Chen Z. Seismic Performance of Fully Prefabricated L-Shaped Shear Walls with Grouted Sleeve Lapping Connectors under High Axial Compression Ratio. Applied Sciences. 2023; 13(4):2301. https://doi.org/10.3390/app13042301
Chicago/Turabian StyleYu, Qiong, Ziming Tang, Xingkui Zhang, Baoxiu Fan, Zhi Zhang, and Zhenhai Chen. 2023. "Seismic Performance of Fully Prefabricated L-Shaped Shear Walls with Grouted Sleeve Lapping Connectors under High Axial Compression Ratio" Applied Sciences 13, no. 4: 2301. https://doi.org/10.3390/app13042301
APA StyleYu, Q., Tang, Z., Zhang, X., Fan, B., Zhang, Z., & Chen, Z. (2023). Seismic Performance of Fully Prefabricated L-Shaped Shear Walls with Grouted Sleeve Lapping Connectors under High Axial Compression Ratio. Applied Sciences, 13(4), 2301. https://doi.org/10.3390/app13042301
