Nonlinear Vibrations of Carbon Nanotubes with Thermal-Electro-Mechanical Coupling
Abstract
1. Introduction
2. Materials and Methods
Thermal-Electro-Mechanical Coupling Beam Model of CNTs
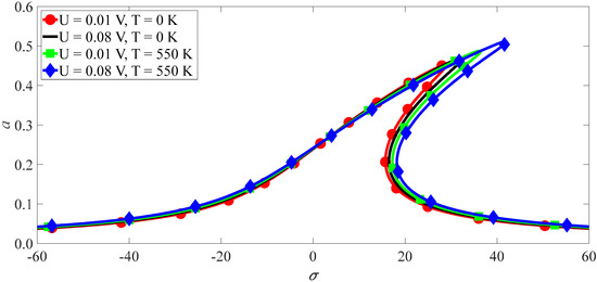
3. Results
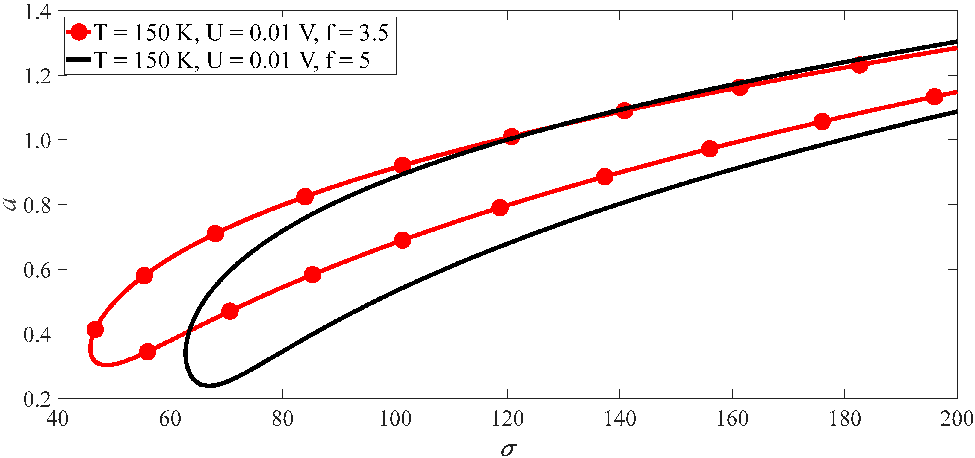
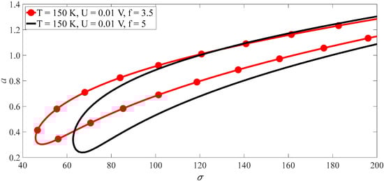
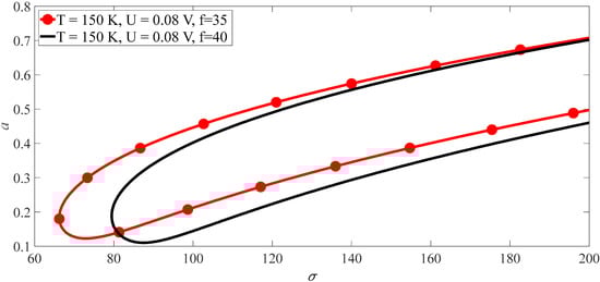
3.1. Primary Resonance of SWCNTs
3.2. Subharmonics Resonance of SWCNTs
4. Discussion
4.1. Primary Resonance
4.2. Subharmonics
5. Conclusions
- (1)
- Under the primary resonance and subharmonics, the nonlinear vibrations of the first mode are more sensitive to the temperature and electric fields than the second mode. For the primary resonance, when the load amplitude of the second mode is 20 times of the first mode, the maximal vibrational amplitude of the second is only one-fifth of the first. For the subharmonics, it is more difficult to excite the subharmonic vibration at the second-order mode than at the first mode.
- (2)
- Since the CEE is far greater than the CTE, the electric field has more outstanding influence on an SWCNT’s vibration than the temperature.
- (3)
- There is only one vibrational component with the model frequency in the primary resonance, in which the jump of vibrational amplitude may be induced by changes in the load’s frequency or amplitude. Further, there are two vibrational components in the subharmonic resonance, and the two components have approximate vibrational amplitude.
Author Contributions
Funding
Institutional Review Board Statement
Informed Consent Statement
Data Availability Statement
Conflicts of Interest
References
- Iijima, S. Helical microtubeles of graphitic carbon. Nature 1991, 354, 56–58. [Google Scholar] [CrossRef]
- Sakharova, N.A.; Pereira, A.F.G.; Antunes, J.M.; Brett, C.M.A.; Fernandes, J.V. Mechanical characterization of single-walled carbon nanotubes: Numerical simulation study. Comp. Part B Eng. 2015, 75, 73–85. [Google Scholar] [CrossRef]
- Dangel, G.; Kumakli, H.; Rahm, C.; White, R.; Alvarez, N. Nanoelectrode Ensembles Consisting of Carbon Nanotubes. Appl. Sci. 2021, 11, 8399. [Google Scholar] [CrossRef]
- Kis, A.; Zettl, A. Nanomechanics of carbon nanotubes. Philos. Trans. 2008, 366, 1591–1611. [Google Scholar] [CrossRef] [PubMed]
- Wang, T.; Huang, K.; Guo, R. Bernoulli-Euler Beam Model of Single-walled Carbon Nanotubes with Small Initial Deformation and Nonlinear Constitutive Model. Sci. Technol. Eng. 2021, 21, 6575–6581. [Google Scholar]
- Huang, K.; Zhang, S.; Li, J.; Li, Z. Nonlocal nonlinear model of Bernoulli–Euler nanobeam with small initial curvature and its application to single-walled carbon nanotubes. Microsyst. Technol. 2019, 25, 4303–4310. [Google Scholar] [CrossRef]
- White, C.T.; Mintmire, J.W.; Mowrey, R.C.; Brenner, D.W.; Robertson, D.H.; Harrison, J.A.; Dunlap, B.I. Predicting Properties of Fullerenes and Their Derivatives, Chap. 6. In Buckminsterfullerenes; Billups, W.E., Ciufolini, M.A., Eds.; VCH: New York, NY, USA, 1993; p. 125. [Google Scholar]
- Lee, C.; Wei, X.D.; Kysar, J.W.; Hone, J. Measurement of the elastic properties and intrinsic strength of monolayer graphene. Science 2008, 321, 385–388. [Google Scholar] [CrossRef]
- Kundalwal, S.I.; Meguid, S.A.; Weng, G.J. Strain gradient polarization in graphene. Carbon 2017, 117, 462–472. [Google Scholar] [CrossRef]
- Singh, Y.T.; Patra, P.K.; Hieu, N.N.; Rai, D.P. Study of electronic and mechanical properties of single walled Carbon nanotube (SWCNT) via substitutional Boron doping in zigzag and armchair pattern. Surf. Interfaces 2022, 29, 101815. [Google Scholar] [CrossRef]
- Ahmadi, A.; Jafari, H.; Rajipour, M.; Fattahi, R.; Faghihnasiri, M. Nonlinear electronic transport behavior of γ-graphyne nanotubes, IEEE Trans. Electron Devices 2019, 66, 1584–1590. [Google Scholar] [CrossRef]
- Ahmadi, A.; Jafari, H.; Faghihnasiri, R.; Faghihnasiri, M. Strain induced NDR and rectification behavior of the γ-graphyne nanotubes, Mater. Res. Express 2019, 6, 045050. [Google Scholar] [CrossRef]
- Bandaru P, R. Electrical properties and applications of carbon nanotube structures. J. Nanosci. Nanotechnol. 2007, 7, 1239–1267. [Google Scholar] [CrossRef]
- Gerasimenko, A.; Kurilova, U.; Suetina, I.; Mezentseva, M.; Zubko, A.; Sekacheva, M.; Glukhova, O. Laser Technology for the Formation of Bioelectronic Nanocomposites Based on Single-Walled Carbon Nanotubes and Proteins with Different Structures, Electrical Conductivity and Biocompatibility. Appl. Sci. 2021, 11, 8036. [Google Scholar] [CrossRef]
- Holmannova, D.; Borsky, P.; Svadlakova, T.; Borska, L.; Fiala, Z. Carbon Nanoparticles and Their Biomedical Applications. Appl. Sci. 2022, 12, 7865. [Google Scholar] [CrossRef]
- Nawarathne, C.; Hoque, A.; Ruhunage, C.; Rahm, C.; Alvarez, N. Chemical Bond Formation between Vertically Aligned Carbon Nanotubes and Metal Substrates at Low Temperatures. Appl. Sci. 2021, 11, 9529. [Google Scholar] [CrossRef]
- Huang, K.; Qu, B.; Xu, W.; Yao, J. Nonlocal Euler–Bernoulli beam theories with material nonlinearity and their application to single-walled carbon nanotubes. Nonlinear Dyn. 2022, 109, 1423–1439. [Google Scholar] [CrossRef]
- Tombler, T.W.; Zhou, C.; Alexseyev, L.; Kong, J.; Dai, H.; Liu, L.; Jayanthi, C.S.; Tang, M.; Wu, S.Y. Reversible electromechanical characteristics of carbon nanotubes underlocal-probe manipulation. Nature 2000, 405, 769–772. [Google Scholar] [CrossRef]
- Fang, D.; Liu, B. Electromechanical Coupling Computational Methods of Physical Mechanics; Higher Education Press: Beijing, China, 2012. [Google Scholar]
- Roodgar Saffari, P.; Sher, W.; Thongchom, C. Size Dependent Buckling Analysis of a FG-CNTRC Microplate of Variable Thickness under Non-Uniform Biaxial Compression. Buildings 2022, 12, 2238. [Google Scholar] [CrossRef]
- Tanaka, K.; Iijima, S. (Eds.) Carbon Nanotubes and Graphene, 2nd ed.; Elsevier: Amsterdam, The Netherlands, 2014. [Google Scholar]
- Huang, K.; Wang, T.; Yao, J. Nonlinear plate theory of single-layered MoS2 with thermal effect. J. Phys. 2021, 70, 369–375. [Google Scholar]
- Huang, K.; Yao, J. Beam Theory of Thermal–Electro-Mechanical Coupling for Single-Wall Carbon Nanotubes. Nanomaterials 2021, 11, 923. [Google Scholar] [CrossRef]
- Papanikos, P.; Nikolopoulos, D.D.; Tserpes, K.I. Equivalent beams for carbon nanotubes. Comput. Mater. Sci. 2008, 43, 345–352. [Google Scholar] [CrossRef]
- Ebrahimi-Mamaghani, A.; Forooghi, A.; Sarparast, H.; Alibeigloo, A.; Friswell, M. Vibration of Viscoelastic Axially Graded Beams with Simultaneous Axial and Spinning Motions under an Axial Load. Appl. Math. Model. 2020, 90, 131–150. [Google Scholar] [CrossRef]
- Washizu, K. Variational Methods in Elasticity and Plasticity; Pergamon Press: Oxford, UK, 1968. [Google Scholar]
- Emam, S.A.; Nayfeh, A.H. Nonlinear responses of buckled beams to subharmonic-resonance excitations. Nonlinear Dyn. 2004, 35, 105–122. [Google Scholar] [CrossRef]
- Nayfeh, A.H.; Mook, D.T. Nonlinear Oscillations; Wiley: New York, NY, USA, 1980. [Google Scholar]
- Yang, W. Mechatronic Reliability; Tsinghua University Press: Beijing, China, 2001. [Google Scholar]
- Guo, W.; Guo, Y. Giant axial electrostrictive deformation in carbon nanotubes. Phys. Rev. Lett. 2003, 91, 115501. [Google Scholar] [CrossRef]
- Jiang, J.W.; Wang, J.S.; Li, B. Thermal expansion in single-walled carbon nanotubes and graphene: Nonequilibrium Green’s function approach. Phys. Rev. B 2009, 80, 205429. [Google Scholar] [CrossRef]
- Nayfeh, A.H.; Pai, P.F. Linear and Nonlinear Structural Mechanics; John Wiley & Sons: Hoboken, NJ, USA, 2008. [Google Scholar]


















Disclaimer/Publisher’s Note: The statements, opinions and data contained in all publications are solely those of the individual author(s) and contributor(s) and not of MDPI and/or the editor(s). MDPI and/or the editor(s) disclaim responsibility for any injury to people or property resulting from any ideas, methods, instructions or products referred to in the content. |
© 2023 by the authors. Licensee MDPI, Basel, Switzerland. This article is an open access article distributed under the terms and conditions of the Creative Commons Attribution (CC BY) license (https://creativecommons.org/licenses/by/4.0/).
Share and Cite
Zhang, Y.; Huang, K.; Zhang, C. Nonlinear Vibrations of Carbon Nanotubes with Thermal-Electro-Mechanical Coupling. Appl. Sci. 2023, 13, 2031. https://doi.org/10.3390/app13042031
Zhang Y, Huang K, Zhang C. Nonlinear Vibrations of Carbon Nanotubes with Thermal-Electro-Mechanical Coupling. Applied Sciences. 2023; 13(4):2031. https://doi.org/10.3390/app13042031
Chicago/Turabian StyleZhang, Yinquan, Kun Huang, and Changxing Zhang. 2023. "Nonlinear Vibrations of Carbon Nanotubes with Thermal-Electro-Mechanical Coupling" Applied Sciences 13, no. 4: 2031. https://doi.org/10.3390/app13042031
APA StyleZhang, Y., Huang, K., & Zhang, C. (2023). Nonlinear Vibrations of Carbon Nanotubes with Thermal-Electro-Mechanical Coupling. Applied Sciences, 13(4), 2031. https://doi.org/10.3390/app13042031

