Fast Ion Speed Diffusion Effect on Distributions of Fusion Neutrons
Abstract
Featured Application
Abstract
1. Introduction
2. Modelling Techniques
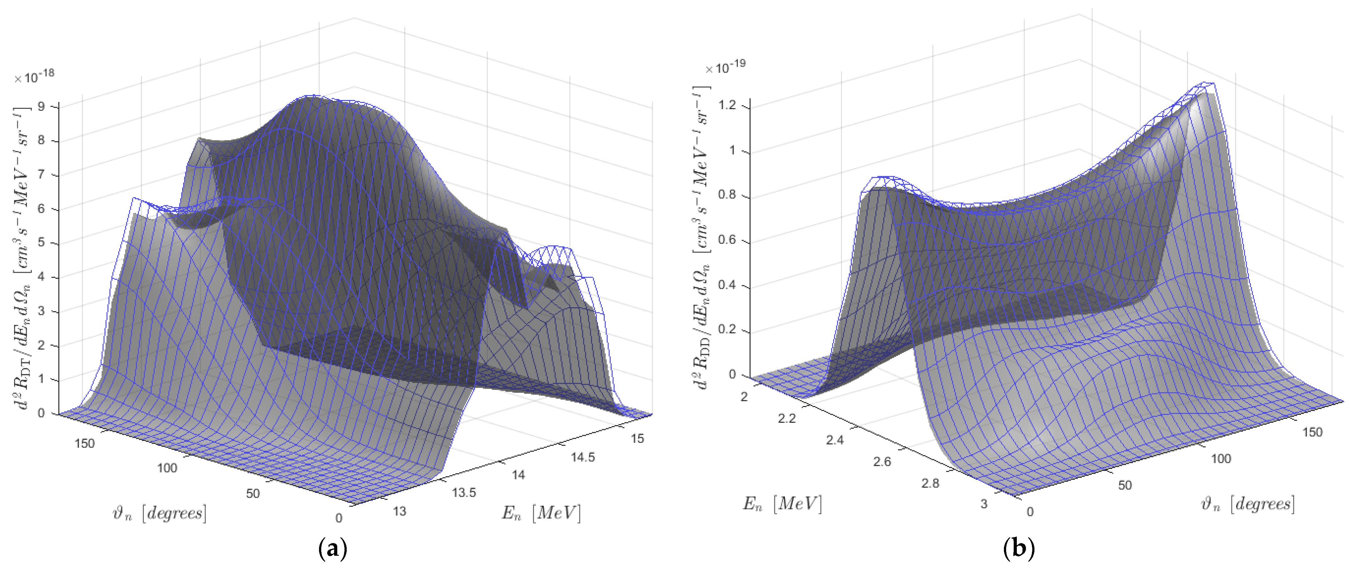
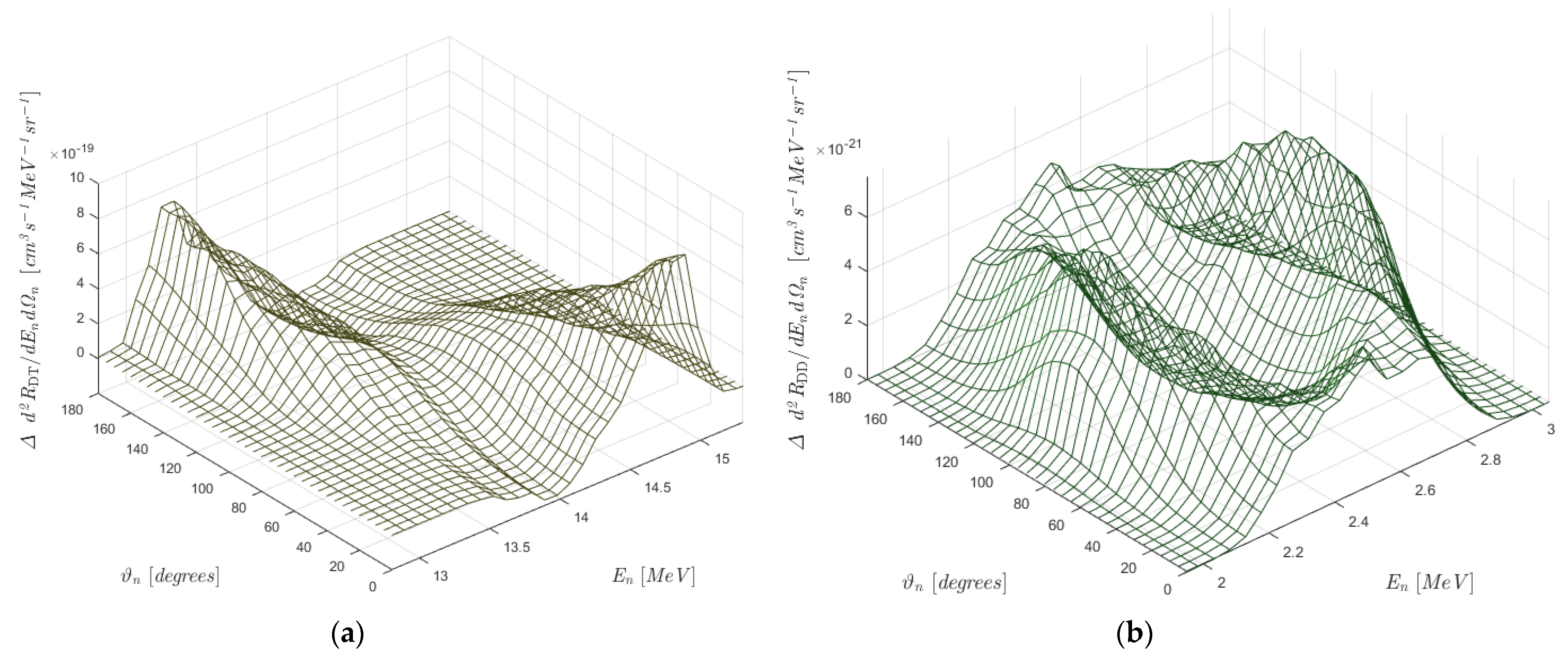
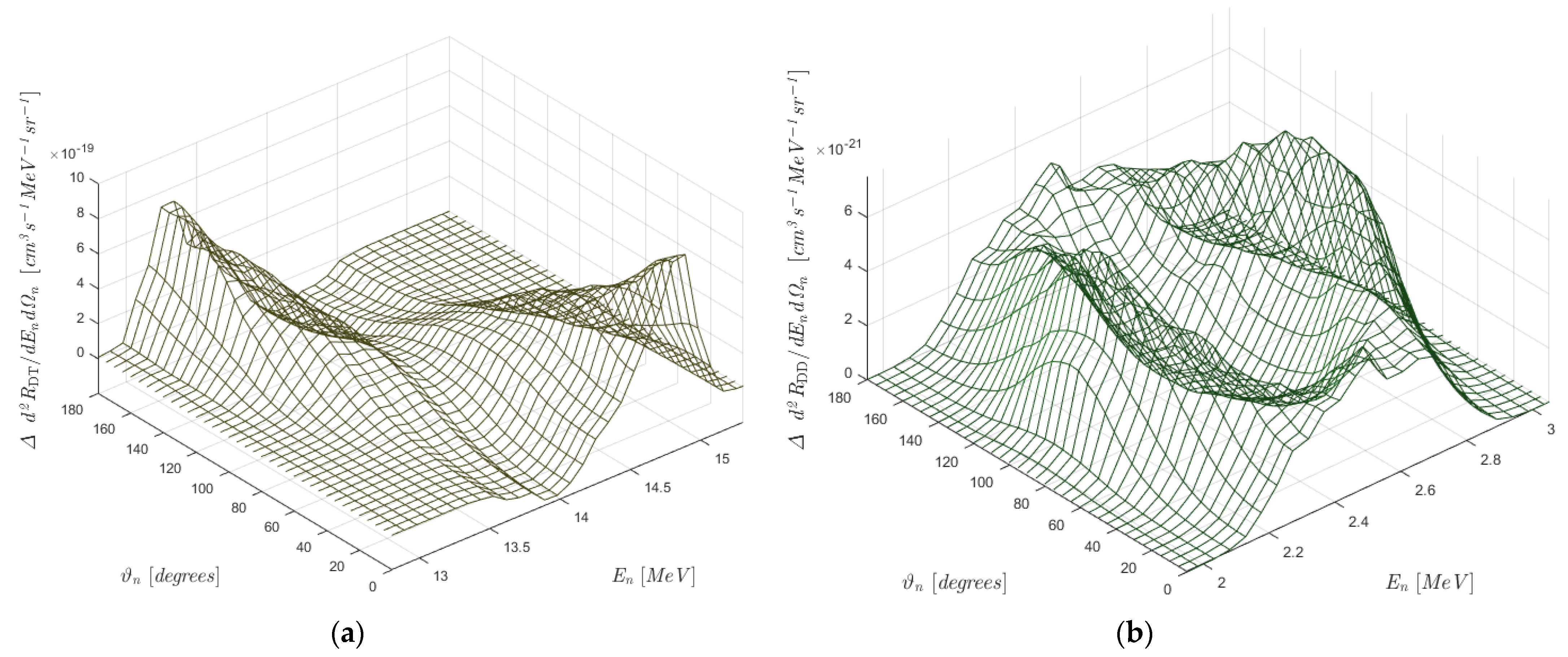
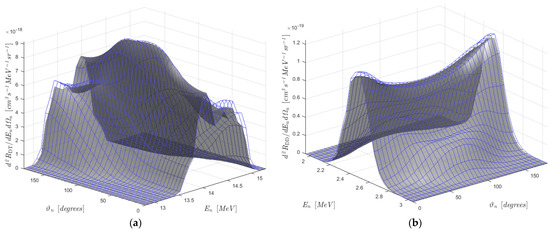
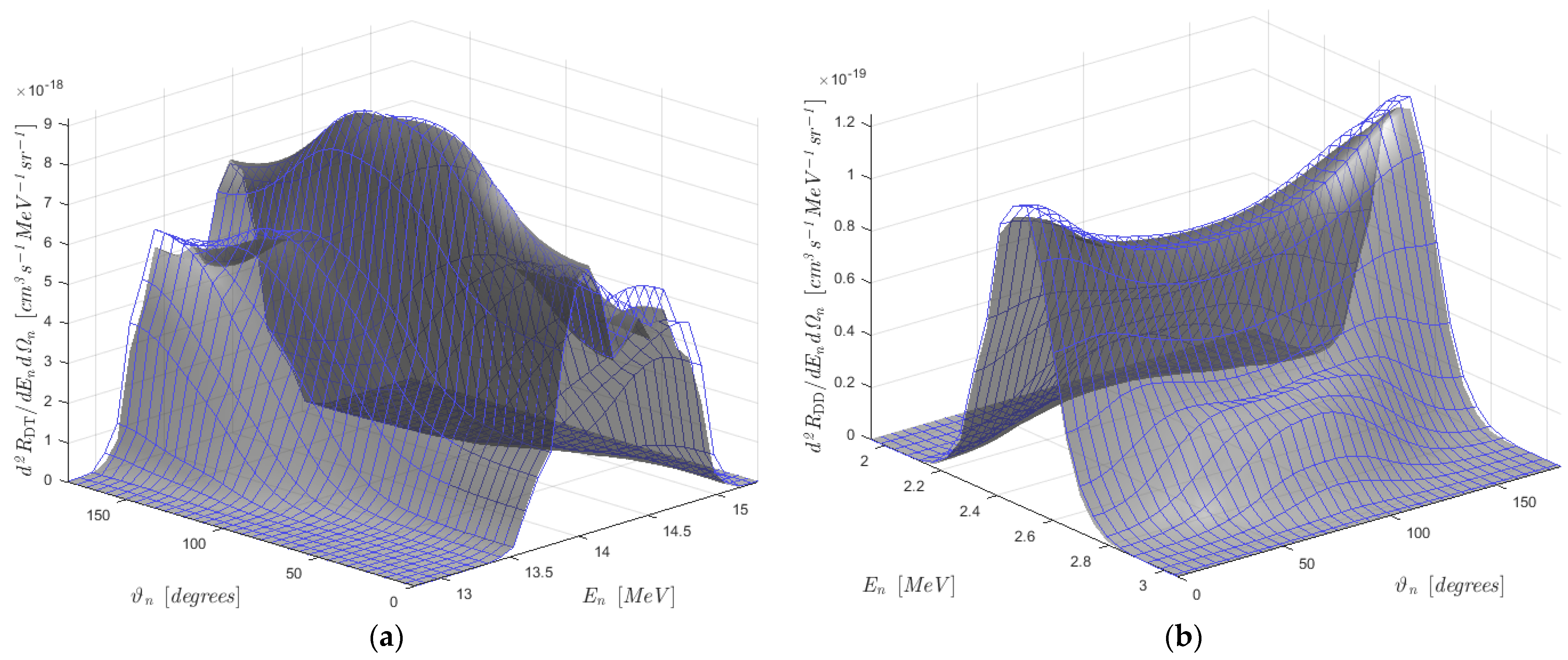
3. Calculation Results
4. Conclusions
Funding
Informed Consent Statement
Data Availability Statement
Acknowledgments
Conflicts of Interest
References
- Goto, T.; Tanaka, T.; Tamura, H.; Miyazawa, J.; Iwamoto, A.; Yanagi, N.; Fujita, T.; Kodama, R.; Mori, Y. Feasibility study of tokamak, helical and laser reactors as affordable fusion volumetric neutron sources. Nucl. Fusion 2021, 61, 126047. [Google Scholar] [CrossRef]
- Gryaznevich, M.P. Research on fusion neutron sources. AIP Conf. Proc. 2012, 1442, 55–64. [Google Scholar] [CrossRef]
- Sykes, A.; Gryaznevich, M.P.; Voss, G.; Kingham, D.; Kuteev, B. Fusion for Neutrons: A Realizable Fusion Neutron Source. IEEE Trans. Plasma Sci. 2012, 40, 715–723. [Google Scholar] [CrossRef]
- Kuteev, B.; Azizov, E.; Bykov, A.; Dnestrovsky, A.; Dokuka, V.; Gladush, G.; Golikov, A.; Goncharov, P.; Gryaznevich, M.P.; Gurevich, M.; et al. Steady-state operation in compact tokamaks with copper coils. Nucl. Fusion 2011, 51, 073013. [Google Scholar] [CrossRef]
- Shpanskiy, Y.S.; DEMO-FNS Project Team. Progress in the design of the DEMO-FNS hybrid facility. Nucl. Fusion 2019, 59, 076014. [Google Scholar] [CrossRef]
- Sakai, R.; Fujita, T.; Okamoto, A. Economy of Tokamak Neutron Source for Transmutation of Transuranics. Plasma Fusion Res. 2019, 14, 1405040. [Google Scholar] [CrossRef]
- Chirkov, A.Y.; Fedyunin, D.E. On the feasibility of fusion–fission hybrid based on deuterium fuelled tokamak. Fusion Eng. Des. 2019, 148, 111302. [Google Scholar] [CrossRef]
- Stacey, W.M. Tokamak D–T fusion neutron source requirements for closing the nuclear fuel cycle. Nucl. Fusion 2007, 47, 217–221. [Google Scholar] [CrossRef]
- Štancar, Ž.; Gorelenkova, M.; Conroy, S.; Sauvan, P.; Buchanan, J.; Weisen, H.; Snoj, L.; Contributors, J. Multiphysics approach to plasma neutron source modelling at the JET tokamak. Nucl. Fusion 2019, 59, 096020. [Google Scholar] [CrossRef]
- Salazar-Cravioto, H.; Nieto-Perez, M.; Ramos, G.; Mahajan, S.; Valanju, P.; Kotschenreuther, M. Modeling of a Spherical Tokamak as an Extended Neutron Source Using ASTRA and MCNP. IEEE Trans. Plasma Sci. 2020, 48, 1810–1816. [Google Scholar] [CrossRef]
- Zhirkin, A.V.; Kuteev, B.V. Three-dimensional model of DEMO-FNS facility considering neutronics and radiation shield problems. Heliyon 2019, 5, E01630. [Google Scholar] [CrossRef] [PubMed]
- Ericsson, G. Advanced Neutron Spectroscopy in Fusion Research. J. Fusion Energy 2019, 38, 330–355. [Google Scholar] [CrossRef]
- Sugiyama, S.; Matsuura, H.; Uchiyama, D. Incident neutron spectra on the first wall and their application to energetic ion diagnostics in beam-injected deuterium–tritium tokamak plasmas. Phys. Plasmas 2017, 24, 092517. [Google Scholar] [CrossRef]
- Sugiyama, S.; Matsuura, H. Modification of neutron emission spectrum by Alfvén eigenmodes in a deuterium–tritium plasma. Fusion Eng. Des. 2019, 146, 320–324. [Google Scholar] [CrossRef]
- Abdou, M.; Morley, N.B.; Smolentsev, S.; Ying, A.; Malang, S.; Rowcliffe, A.; Ulrickson, M. Blanket/first wall challenges and required R&D on the pathway to DEMO. Fusion Eng. Des. 2015, 100, 2–43. [Google Scholar] [CrossRef]
- Titarenko, Y.E.; Batyaev, V.; Pavlov, K.V.; Titarenko, A.Y.; Alekseev, P.N.; Gurevich, M.I.; Dudnikov, A.A.; Zhirkin, A.V.; Kuteev, B.; Koldobskii, A.B.; et al. Benchmark Experiments for Verifying the Working Parameters of the Blankets of a Thermonuclear Neutron Source. At. Energy 2016, 120, 55–62. [Google Scholar] [CrossRef]
- Zhou, Z.; Yang, Y.; Xu, H. Study on fission blanket fuel cycling of a fusion–fission hybrid energy generation system. Nucl. Fusion 2011, 51, 103011. [Google Scholar] [CrossRef]
- Zhirkin, A.; Kuteev, B.; Gurevich, M.; Chukbar, B. Neutronics analysis of blankets for a hybrid fusion neutron source. Nucl. Fusion 2015, 55, 113007. [Google Scholar] [CrossRef]
- Kuteev, B.V.; Goncharov, P.R. Fusion–Fission Hybrid Systems: Yesterday, Today, and Tomorrow. Fusion Sci. Technol. 2020, 76, 836–847. [Google Scholar] [CrossRef]
- Kuteev, B.V.; Shpanskiy, Y.S. Fusion-fission hybrid system development and integration into Russia’s nuclear power engineering. Probl. At. Sci. Technol. Ser. Thermonucl. Fusion 2021, 44, 836–847. [Google Scholar] [CrossRef]
- Almagambetov, A.N.; Chirkov, A.Y. Power and Sizes of Tokamak Fusion Neutron Sources with NBI-Enhanced Reaction Rate. J. Fusion Energ. 2016, 35, 841–848. [Google Scholar] [CrossRef]
- Dlougach, E.; Shlenskii, M.; Kuteev, B. Neutral Beams for Neutron Generation in Fusion Neutron Sources. Atoms 2022, 10, 143. [Google Scholar] [CrossRef]
- Štancar, Ž. Generation of a plasma neutron source for Monte Carlo neutron transport calculations in the tokamak JET. Fusion Eng. Des. 2018, 136, 1047–1051. [Google Scholar] [CrossRef]
- Sirén, P.; Varje, J.; Äkäslompolo, S.; Asunta, O.; Giroud, C.; Kurki-Suonio, T.; Weisen, H.; Contributors, T.J. Versatile fusion source integrator AFSI for fast ion and neutron studies in fusion devices. Nucl. Fusion 2018, 58, 016023. [Google Scholar] [CrossRef]
- Goncharov, P.R. Spectra of neutrons from a beam-driven fusion source. Nucl. Fusion 2015, 55, 063012. [Google Scholar] [CrossRef]
- Goncharov, P.R. Reduction of the isotropic S-formula for the energy spectrum of nuclear fusion products to a triple integral. Plasma Phys. Control. Fusion 2020, 62, 072001. [Google Scholar] [CrossRef]
- Goncharov, P.R.; Bakharev, N.N. Anisotropic distributions of deuterium–deuterium nuclear fusion products in a compact tokamak. Plasma Phys. Control. Fusion 2020, 62, 125016. [Google Scholar] [CrossRef]
- Lehner, G.; Pohl, F. Reaktionsneutronen als Hilfsmittel der Plasmadiagnostik. Z. Phys. 1967, 207, 83–104. [Google Scholar] [CrossRef]
- Lessor, D.L. Neutron and Alpha Particle Energy Spectrum and Angular Distribution Effects from Beam-Plasma D-T Fusion; Rept. BNWL-B-409; Battelle Pacific Northwest Labs.: Richland, WA, USA, 1975. [Google Scholar]
- Towner, H.H.; Jassby, D.L. Energy Spectra of Fusion Neutrons from Plasmas Driven by Reacting Ion Beams. In Proceedings of the Winter Meeting of the American Nuclear Society, San Francisco, CA, USA, 16 November 1975. [Google Scholar]
- Källne, J.; Ballabio, L.; Frenje, J.; Conroy, S.; Ericsson, G.; Tardocchi, M.; Traneus, E.; Gorini, G. Observation of the Alpha Particle “Knock-On” Neutron Emission from Magnetically Confined DT Fusion Plasmas. Phys. Rev. Lett. 2000, 85, 1246–1249. [Google Scholar] [CrossRef]
- Matsuura, H.; Nakao, Y. Modification of alpha-particle emission spectrum in beam-injected deuterium-tritium plasmas. Phys. Plasmas 2009, 16, 042507. [Google Scholar] [CrossRef]
- Scheffel, J. Neutron spectra from beam-heated fusion plasmas. Nucl. Instr. Methods Phys. Res. 1984, 224, 519–531. [Google Scholar] [CrossRef]
- Eriksson, J.; Conroy, S.; Sundén, E.A.; Hellesen, C. Calculating fusion neutron energy spectra from arbitrary reactant distributions. Comput. Phys. Commun. 2016, 199, 40–46. [Google Scholar] [CrossRef]
- Abe, Y.; Johzaki, T.; Sunahara, A.; Arikawa, Y.; Ozaki, T.; Ishii, K.; Hanayama, R.; Okihara, S.; Miura, E.; Komeda, O.; et al. Monte Carlo particle collision model for qualitative analysis of neutron energy spectra from anisotropic inertial confinement fusion. High Energy Density Phys. 2020, 36, 100803. [Google Scholar] [CrossRef]
- Heidbrink, W.W. Analytical expressions for fusion spectra produced in ‘‘beam-target’’ fusion reactions. Rev. Sci. Instrum. 1985, 56, 1098–1099. [Google Scholar] [CrossRef]
- Appelbe, B.; Chittenden, J. The production spectrum in fusion plasmas. Plasma Phys. Control. Fusion 2011, 53, 045002. [Google Scholar] [CrossRef]
- Tiesinga, E.; Mohr, P.J.; Newell, D.B.; Taylor, B.N. CODATA recommended values of the fundamental physical constants: 2018. Rev. Mod. Phys. 2021, 93, 025010. [Google Scholar] [CrossRef]
- Goncharov, P.; Kuteev, B.; Ozaki, T.; Sudo, S. Analytical and semianalytical solutions to the kinetic equation with Coulomb collision term and a monoenergetic source function. Phys. Plasmas 2010, 17, 112313. [Google Scholar] [CrossRef]
- Drosg, M.; Otuka, N. International Nuclear Data Committee Report INDC(AUS)-0019, 2019, IAEA Nuclear Data Section. Available online: https://www-nds.iaea.org/publications/indc/indc-aus-0019.pdf (accessed on 5 January 2023).
- Goncharov, P.R. Differential and total cross sections and astrophysical S-factors for 2H(d,n)3He and 2H(d,p)3H reactions in a wide energy range. At. Data Nucl. Data Tables 2018, 120, 121–151. [Google Scholar] [CrossRef]
- Dnestrovskiy, A.Y.; Goncharov, P.R. Numerical and semi-analytical treatments of neutral beam current drive in DEMO-FNS. Fusion Eng. Des. 2017, 123, 440–443. [Google Scholar] [CrossRef]
- Goncharov, P.R. Analytical and statistical modelling of the fast ion source due to neutral beam injection in magnetically confined plasma. Atoms, 2023; submitted. [Google Scholar]
- Petrov, Y.; Gusev, V.K.; Sakharov, N.; Minaev, V.; Varfolomeev, V.; Dyachenko, V.; Balachenkov, I.M.; Bakharev, N.N.; Bondarchuk, E.N.; Bulanin, V.; et al. Overview of GLOBUS-M2 spherical tokamak results at the enhanced values of magnetic field and plasma current. Nucl. Fusion 2022, 62, 042009. [Google Scholar] [CrossRef]
- Bakharev, N.N.; Balachenkov, I.M.; Chernyshev, F.V.; Gusev, V.K.; Kiselev, E.; Kurskiev, G.S.; Melnik, A.D.; Minaev, V.; Mironov, I.M.; Nesenevich, V.; et al. Measurement of the fast ion distribution using active NPA diagnostics at the Globus-M2 spherical tokamak. Plasma Phys. Control. Fusion 2021, 63, 125036. [Google Scholar] [CrossRef]
- Iliasova, M.; Shevelev, A.; Khilkevitch, E.; Bakharev, N.; Skrekel, O.; Minaev, V.; Doinikov, D.; Gin, D.; Gusev, V.; Kornev, V.; et al. Neutron diagnostic system at the Globus-M2 tokamak. Nucl. Instrum. Methods Phys. Res. A 2022, 1029, 166425. [Google Scholar] [CrossRef]
- Isobe, M.; Ogawa, K.; Sangaroon, S.; Kamio, S.; Fujiwara, Y.; Osakabe, M. Recent development of neutron and energetic-particle diagnostics for LHD deuterium discharges. JINST 2022, 17, C03036. [Google Scholar] [CrossRef]
- Sugiyama, S.; Nishitani, T.; Matsuura, H.; Isobe, M.; Ogawa, K.; Tanaka, T.; Yoshihashi, S.; Uritani, A.; Osakabe, M. Observation of neutron emission anisotropy by neutron activation measurement in beam-injected LHD deuterium plasmas. Nucl. Fusion 2020, 60, 076017. [Google Scholar] [CrossRef]
- Giacomelli, L.; Hjalmarsson, A.; Sjöstrand, H.; Glasser, W.; Källne, J.; Conroy, S.; Ericsson, G.; Johnson, M.G.; Gorini, G.; Henriksson, H.; et al. Advanced neutron diagnostics for JET and ITER fusion experiments. Nucl. Fusion 2005, 45, 1191. [Google Scholar] [CrossRef]
- Bertalot, L.; Krasilnikov, V.; Core, L.; Saxena, A.; Yukhnov, N.; Barnsley, R.; Walsh, M. Present Status of ITER Neutron Diagnostics Development. J. Fusion Energy 2019, 38, 283. [Google Scholar] [CrossRef]








Disclaimer/Publisher’s Note: The statements, opinions and data contained in all publications are solely those of the individual author(s) and contributor(s) and not of MDPI and/or the editor(s). MDPI and/or the editor(s) disclaim responsibility for any injury to people or property resulting from any ideas, methods, instructions or products referred to in the content. |
© 2023 by the author. Licensee MDPI, Basel, Switzerland. This article is an open access article distributed under the terms and conditions of the Creative Commons Attribution (CC BY) license (https://creativecommons.org/licenses/by/4.0/).
Share and Cite
Goncharov, P. Fast Ion Speed Diffusion Effect on Distributions of Fusion Neutrons. Appl. Sci. 2023, 13, 1701. https://doi.org/10.3390/app13031701
Goncharov P. Fast Ion Speed Diffusion Effect on Distributions of Fusion Neutrons. Applied Sciences. 2023; 13(3):1701. https://doi.org/10.3390/app13031701
Chicago/Turabian StyleGoncharov, Pavel. 2023. "Fast Ion Speed Diffusion Effect on Distributions of Fusion Neutrons" Applied Sciences 13, no. 3: 1701. https://doi.org/10.3390/app13031701
APA StyleGoncharov, P. (2023). Fast Ion Speed Diffusion Effect on Distributions of Fusion Neutrons. Applied Sciences, 13(3), 1701. https://doi.org/10.3390/app13031701
