The Cut-Off Frequency of High-Pass Filtering of Strong-Motion Records Based on Transfer Learning
Abstract
1. Introduction
2. Database
2.1. Traditional Method
2.2. Data Pre-Processing
3. Deep Neural Networks (DNNs)
3.1. Transfer Learning Model
3.2. Training and Evaluation Methods
3.3. Training and Evaluation Results
3.4. Test Results
4. Application of the Trained Network Models
4.1. Filtering Results
4.2. Analysis of Filtering Results
4.3. Comparison to Results of the SNR Method
5. Conclusions
- Among the network models that only train the fully connected layer, only the VGG19 model could achieve satisfactory classification performance. In contrast, the rest of the models had higher losses, and the accuracies did not converge. All the trained models of all the network layers could achieve satisfactory classification performance, among which, InceptionResNetV2 had the highest performance with 99.9% and 99.8% accuracy in the training and validation sets, respectively, and 0.003 and 0.009 loss, respectively. The overall accuracy of the test set in the confusion matrix was 96.9%.
- Considering probability when predicting categories can improve the classification performance of the model. R2 increased by 14.41% on average, and the RMSE, MAE, and MAPE decreased by 12.6%, 16.23%, and 30.01% on average, respectively.
- The VGG19 model with all the network layers being trained and the addition of probabilistic restrictions in predicting the category was more suitable for the high-pass cut-off frequency automatic search problem of strong-motion records in this paper. The results obtained using this model had the highest R2 of 0.82 and the lowest RMSE, MAE, and MAPE of 0.038, 0.026, and 2.99%, respectively.
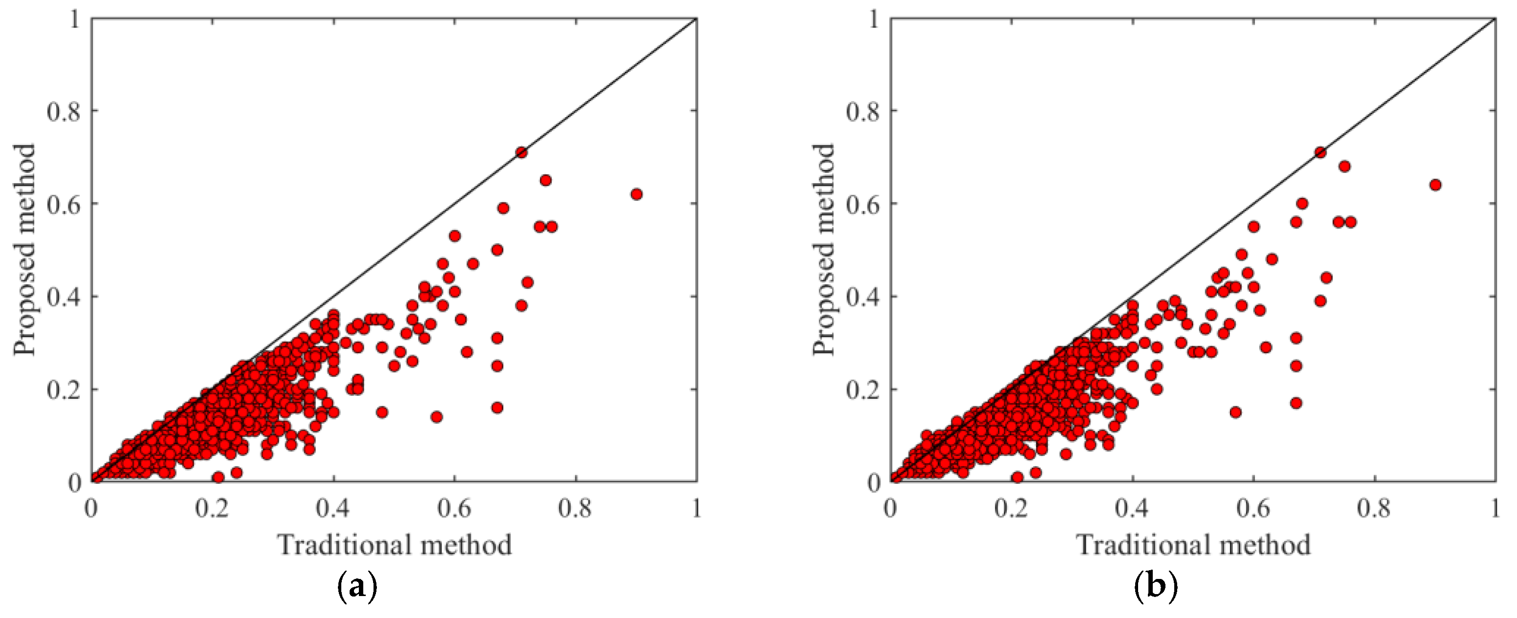
- The high-pass cut-off frequency obtained using the SNR method was generally smaller than the accurate value. This also inspires authors to use this frequency instead of 0.01 Hz as the starting frequency in the search for high-pass cut-off frequencies to improve efficiency.
Author Contributions
Funding
Institutional Review Board Statement
Informed Consent Statement
Data Availability Statement
Acknowledgments
Conflicts of Interest
References
- Rong, M.; Wang, Z.; Woolery, E.W.; Lyu, Y.; Li, X.; Li, S. Nonlinear site response from the strong ground-motion recordings in western China. Soil Dyn. Earthq. Eng. 2016, 82, 99–110. [Google Scholar] [CrossRef]
- Ren, Y.; Zhou, Y.; Wang, H.; Wen, R. Source characteristics, site effects, and path attenuation from spectral analysis of strong-motion recordings in the 2016 Kaikōura earthquake sequence. Bull. Seismol. Soc. Am. 2018, 108, 1757–1773. [Google Scholar] [CrossRef]
- Sandhu, M.; Sharma, B.; Mittal, H.; Chingtham, P. Analysis of the Site Effects in the North East Region of India Using the Recorded Strong Ground Motions from Moderate Earthquakes. J. Earthq. Eng. 2022, 26, 1480–1499. [Google Scholar] [CrossRef]
- Wen, R.; Xu, P.; Wang, H.; Ren, Y. Single-Station Standard Deviation Using Strong-Motion Data from Sichuan Region, China. Bull. Seismol. Soc. Am. 2018, 108, 2237–2247. [Google Scholar] [CrossRef]
- Shoushtari, A.V.; Adnan, A.B.; Zare, M. On the selection of ground–motion attenuation relations for seismic hazard assessment of the Peninsular Malaysia region due to distant Sumatran subduction intraslab earthquakes. Soil Dyn. Earthq. Eng. 2016, 82, 123–137. [Google Scholar] [CrossRef]
- Guo, D.; He, C.; Xu, C.; Hamada, M. Analysis of the relations between slope failure distribution and seismic ground motion during the 2008 Wenchuan earthquake. Soil Dyn. Earthq. Eng. 2015, 72, 99–107. [Google Scholar] [CrossRef]
- Si, H.; Midorikawa, S.; Kishida, T. Development of NGA-Sub ground-motion prediction equation of 5%-damped pseudo-spectral acceleration based on database of subduction earthquakes in Japan. Earthq. Spectra 2022, 38, 2682–2706. [Google Scholar] [CrossRef]
- Wen, R.; Ji, K.; Ren, Y. Review on selection of strong ground motion input for structural time-history dynamic analysis. Earthq. Eng. Eng. Dyn. 2019, 39, 1–18. [Google Scholar] [CrossRef]
- Ren, Y.; Yin, J.; Wen, R.; Ji, K. The impact of ground motion inputs on the uncertainty of structural collapse fragility. Eng. Mech. 2020, 37, 115–125. [Google Scholar] [CrossRef]
- Aroquipa, H.; Hurtado, A. Seismic resilience assessment of buildings: A simplified methodological approach through conventional seismic risk assessment. Int. J. Disaster Risk Reduct. 2022, 77, 103047. [Google Scholar] [CrossRef]
- Narjabadifam, P.; Hoseinpour, R.; Noori, M.; Altabey, W. Practical seismic resilience evaluation and crisis management planning through GIS-based vulnerability assessment of buildings. Earthq. Eng. Eng. Vib. 2021, 20, 25–37. [Google Scholar] [CrossRef]
- Wang, W.; Ji, K.; Wen, R.; Ren, Y.; Yin, J. Impact of strong ground motion’s process procedure on the structural nonlinear time-history analysis. Eng. Mech. 2020, 37, 42–52+62. [Google Scholar] [CrossRef]
- Ji, K. Strong Ground Motion Selection for Multiple Levels of Seismic Fortification Demand in China. Doctor Thesis, Institute of Engineering Mechanics, China Earthquake Administration, Harbin, China, 2018. [Google Scholar]
- Chiou, B.; Darragh, R.; Gregor, N.; Silva, W. NGA Project Strong-Motion Database. Earthq. Spectra 2019, 24, 23–44. [Google Scholar] [CrossRef]
- PEER. PEER Ground Motion Database. Available online: https://ngawest2.berkeley.edu/ (accessed on 25 December 2017).
- Akkar, S.; Sandıkkaya, M.A.; Şenyurt, M.; Azari Sisi, A.; Ay, B.Ö.; Traversa, P.; Douglas, J.; Cotton, F.; Luzi, L.; Hernandez, B.; et al. Reference database for seismic ground-motion in Europe (RESORCE). Bull. Earthq. Eng. 2013, 12, 311–339. [Google Scholar] [CrossRef]
- Bastías, N.; Montalva, G.A. Chile Strong Ground Motion Flatfile. Earthq. Spectra 2016, 32, 2549–2566. [Google Scholar] [CrossRef]
- Luzi, L.; Puglia, R.; Russo, E.; D’Amico, M.; Felicetta, C.; Pacor, F.; Lanzano, G.; Çeken, U.; Clinton, J.; Costa, G.; et al. The Engineering Strong-Motion Database: A Platform to Access Pan-European Accelerometric Data. Seismol. Res. Lett. 2016, 87, 987–997. [Google Scholar] [CrossRef]
- Pacor, F.; Paolucci, R.; Ameri, G.; Massa, M.; Puglia, R. Italian strong motion records in ITACA: Overview and record processing. Bull. Earthq. Eng. 2011, 9, 1741–1759. [Google Scholar] [CrossRef]
- Ambraseys, N.; Smit, P.; Douglas, J.; Margaris, B.; Sigbjörnsson, R.; Olafsson, S.; Suhadolc, P.; Costa, G. Internet site for European strong-motion data. Boll. Geofis. Teor. Appl. 2004, 45, 113–129. [Google Scholar]
- Atkinson, G.M.; Silva, W. Stochastic modeling of California ground motions. Bull. Seismol. Soc. Am. 2000, 90, 255–274. [Google Scholar] [CrossRef]
- Douglas, J.; Boore, D.M. High-frequency filtering of strong-motion records. Bull. Earthq. Eng. 2010, 9, 395–409. [Google Scholar] [CrossRef]
- Parker, G.A.; Aagaard, B.T.; Hearne, M.G.; Moschetti, M.P.; Thompson, E.M.; Rekoske, J.M. The 2019 Ridgecrest, California, Earthquake Sequence Ground Motions: Processed Records and Derived Intensity Metrics. Seismol. Res. Lett. 2020, 91, 2010–2023. [Google Scholar] [CrossRef]
- Bahrampouri, M.; Rodriguez-Marek, A.; Shahi, S.; Dawood, H. An updated database for ground motion parameters for KiK-net records. Earthq. Spectra 2020, 37, 505–522. [Google Scholar] [CrossRef]
- Edwards, B.; Ntinalexis, M. Defining the usable bandwidth of weak-motion records: Application to induced seismicity in the Groningen Gas Field, the Netherlands. J. Seismol. 2021, 25, 1043–1059. [Google Scholar] [CrossRef]
- Brune, J.N. Tectonic stress and the spectra of seismic shear waves from earthquakes. J. Geophys. Res. 1970, 75, 4997–5009. [Google Scholar] [CrossRef]
- Yu, H.; Xu, X.; Zhang, T. Automatic Search Algorithm of Low Cut-off Frequency for Filtering Strong Motion Records. Technol. Earthq. Disaster Prev. 2018, 13, 65–74. [Google Scholar]
- Xie, L.; Li, S.; Qian, Q.; Hu, C. Some characteristics of strong motion record processing and analysis methods in China. Earthq. Eng. Eng. Dyn. 1983, 6, 1–14. [Google Scholar] [CrossRef]
- Zhou, B. Some Key Issues on the Strong Motion Observation. Doctor Thesis, Institute of Engineering Mechanics, China Earthquake Administration, Harbin, China, 2012. [Google Scholar]
- Zhang, S.; Zhang, S.; Zhang, C.; Wang, X.; Shi, Y. Cucumber leaf disease identification with global pooling dilated convolutional neural network. Comput. Electron. Agric. 2019, 162, 422–430. [Google Scholar] [CrossRef]
- Kozłowski, M.; Górecki, P.; Szczypiński, P.M. Varietal classification of barley by convolutional neural networks. Biosyst. Eng. 2019, 184, 155–165. [Google Scholar] [CrossRef]
- Cottrell, G.W. New life for neural networks. Science 2006, 313, 454–455. [Google Scholar] [CrossRef]
- Pan, S.J.; Yang, Q. A Survey on Transfer Learning. IEEE Trans. Knowl. Data Eng. 2010, 22, 1345–1359. [Google Scholar] [CrossRef]
- Simonyan, K.; Zisserman, A. Very deep convolutional networks for large-scale image recognition. arXiv 2014, arXiv:1409.1556. [Google Scholar] [CrossRef]
- He, K.; Zhang, X.; Ren, S.; Sun, J. Identity mappings in deep residual networks. In Proceedings of the European Conference on Computer Vision, Amsterdam, Netherlands, 8–16 October 2016; pp. 630–645. [Google Scholar]
- Szegedy, C.; Vanhoucke, V.; Ioffe, S.; Shlens, J.; Wojna, Z. Rethinking the inception architecture for computer vision. In Proceedings of the IEEE Conference on Computer Vision and Pattern Recognition, Las Vegas, NV, USA, 27–30 June 2016; pp. 2818–2826. [Google Scholar]
- Szegedy, C.; Ioffe, S.; Vanhoucke, V.; Alemi, A.A. Inception-v4, inception-resnet and the impact of residual connections on learning. In Proceedings of the Thirty-First AAAI Conference on Artificial Intelligence, San Francisco, CA, USA, 4–9 February 2017. [Google Scholar]
- CESMD. Center for Engineering Strong Motion Data. Available online: https://www.strongmotioncenter.org/index.html (accessed on 20 December 2021).
- Yao, X.; Ren, Y.; Tadahiro, K.; Wen, R.; Wang, H.; Ji, K. The procedure of filtering the strong motion record: Denoising and filtering. Eng. Mech. 2022, 39, 320–329. [Google Scholar] [CrossRef]
- Boore, D.M. On Pads and Filters: Processing Strong-Motion Data. Bull. Seismol. Soc. Am. 2005, 95, 745–750. [Google Scholar] [CrossRef]
- Yanai, K.; Kawano, Y. Food image recognition using deep convolutional network with pre-training and fine-tuning. In Proceedings of the 2015 IEEE International Conference on Multimedia & Expo Workshops (ICMEW), Turin, Italy, 29 June–3 July 2015; pp. 1–6. [Google Scholar]
- Python. Available online: https://www.python.org/ (accessed on 15 March 2022).
- Abadi, M.; Barham, P.; Chen, J.; Chen, Z.; Davis, A.; Dean, J.; Devin, M.; Ghemawat, S.; Irving, G.; Isard, M. {TensorFlow}: A System for {Large-Scale} Machine Learning. In Proceedings of the 12th USENIX Symposium on Operating Systems Design and Implementation (OSDI 16), Savannah, GA, USA, 2–4 November 2016; pp. 265–283. [Google Scholar]
- Keras. The Python Deep Learning Library. Available online: https://keras.io (accessed on 15 March 2022).
- Kingma, D.P.; Ba, J. Adam: A method for stochastic optimization. arXiv 2014, arXiv:1412.6980. [Google Scholar] [CrossRef]
- Liao, W.; Chen, X.; Lu, X.; Huang, Y.; Tian, Y. Deep Transfer Learning and Time-Frequency Characteristics-Based Identification Method for Structural Seismic Response. Front. Built Environ. 2021, 7, 10. [Google Scholar] [CrossRef]
- Ma, Q.; Jin, X.; Li, S.; Chen, F.; Liao, S.; Wei, Y. Automatic P-arrival detection for earthquake early warning. Chin. J. Geophys. 2013, 56, 2313–2321. [Google Scholar] [CrossRef]
- Konno, K.; Ohmachi, T. Ground-motion characteristics estimated from spectral ratio between horizontal and vertical components of microtremor. Bull. Seismol. Soc. Am. 1998, 88, 228–241. [Google Scholar] [CrossRef]
















| Model | Size (MB) | Depth | Number of Parameters (Million) |
|---|---|---|---|
| VGG19 [34] | 549 | 26 | 144 |
| ResNet50 [35] | 98 | 168 | 25.6 |
| InceptionV3 [36] | 92 | 159 | 23.9 |
| InceptionResNetV2 [37] | 215 | 572 | 55.9 |
| DNN | VGG19–Frozen | VGG19–Unfrozen | InceptionV3–Frozen | InceptionV3–Unfrozen | ResNet50–Frozen | ResNet50–Unfrozen | InceptionResNetV2–Frozen | InceptionResNetV2–Unfrozen |
|---|---|---|---|---|---|---|---|---|
| 0.979 | 0.998 | 0.770 | 0.999 | 0.768 | 0.999 | 0.670 | 0.999 | |
| 0.980 | 0.997 | 0.801 | 0.997 | 0.801 | 0.997 | 0.682 | 0.998 | |
| 0.061 | 0.008 | 4.804 | 0.004 | 42.364 | 0.004 | 212.492 | 0.003 | |
| 0.052 | 0.010 | 3.356 | 0.011 | 30.580 | 0.009 | 214.860 | 0.009 | |
| 3.479 | 23.04 | 0.043 | 37.40 | 0.004 | 36.07 | 0.000 | 40.43 |
| Model | Considering Probability? | R2 | RMSE | MAE | MAPE (%) |
|---|---|---|---|---|---|
| VGG19–frozen | Yes | 0.64 | 0.054 | 0.035 | 21.03 |
| No | 0.57 | 0.059 | 0.040 | 25.34 | |
| VGG19–unfrozen | Yes | 0.82 | 0.038 | 0.026 | 2.99 |
| No | 0.65 | 0.052 | 0.038 | 24.53 | |
| ResNet50–unfrozen | Yes | 0.74 | 0.046 | 0.031 | 18.54 |
| No | 0.68 | 0.050 | 0.035 | 21.63 | |
| InceptionV3–unfrozen | Yes | 0.68 | 0.051 | 0.034 | 20.43 |
| No | 0.59 | 0.057 | 0.039 | 24.40 | |
| InceptionResNetV2–unfrozen | Yes | 0.69 | 0.050 | 0.034 | 20.49 |
| No | 0.63 | 0.055 | 0.039 | 24.02 |
Disclaimer/Publisher’s Note: The statements, opinions and data contained in all publications are solely those of the individual author(s) and contributor(s) and not of MDPI and/or the editor(s). MDPI and/or the editor(s) disclaim responsibility for any injury to people or property resulting from any ideas, methods, instructions or products referred to in the content. |
© 2023 by the authors. Licensee MDPI, Basel, Switzerland. This article is an open access article distributed under the terms and conditions of the Creative Commons Attribution (CC BY) license (https://creativecommons.org/licenses/by/4.0/).
Share and Cite
Liu, B.; Zhou, B.; Kong, J.; Wang, X.; Liu, C. The Cut-Off Frequency of High-Pass Filtering of Strong-Motion Records Based on Transfer Learning. Appl. Sci. 2023, 13, 1500. https://doi.org/10.3390/app13031500
Liu B, Zhou B, Kong J, Wang X, Liu C. The Cut-Off Frequency of High-Pass Filtering of Strong-Motion Records Based on Transfer Learning. Applied Sciences. 2023; 13(3):1500. https://doi.org/10.3390/app13031500
Chicago/Turabian StyleLiu, Bo, Baofeng Zhou, Jingchang Kong, Xiaomin Wang, and Chunhui Liu. 2023. "The Cut-Off Frequency of High-Pass Filtering of Strong-Motion Records Based on Transfer Learning" Applied Sciences 13, no. 3: 1500. https://doi.org/10.3390/app13031500
APA StyleLiu, B., Zhou, B., Kong, J., Wang, X., & Liu, C. (2023). The Cut-Off Frequency of High-Pass Filtering of Strong-Motion Records Based on Transfer Learning. Applied Sciences, 13(3), 1500. https://doi.org/10.3390/app13031500

