A Framework for Evaluating the Load-Carrying Capacity of Bridges without Design Document Using an AI Technique
Abstract
1. Introduction
2. Background of Load-Carrying Capacity Evaluations
3. Methodology of Load-Carrying Capacity Evaluation
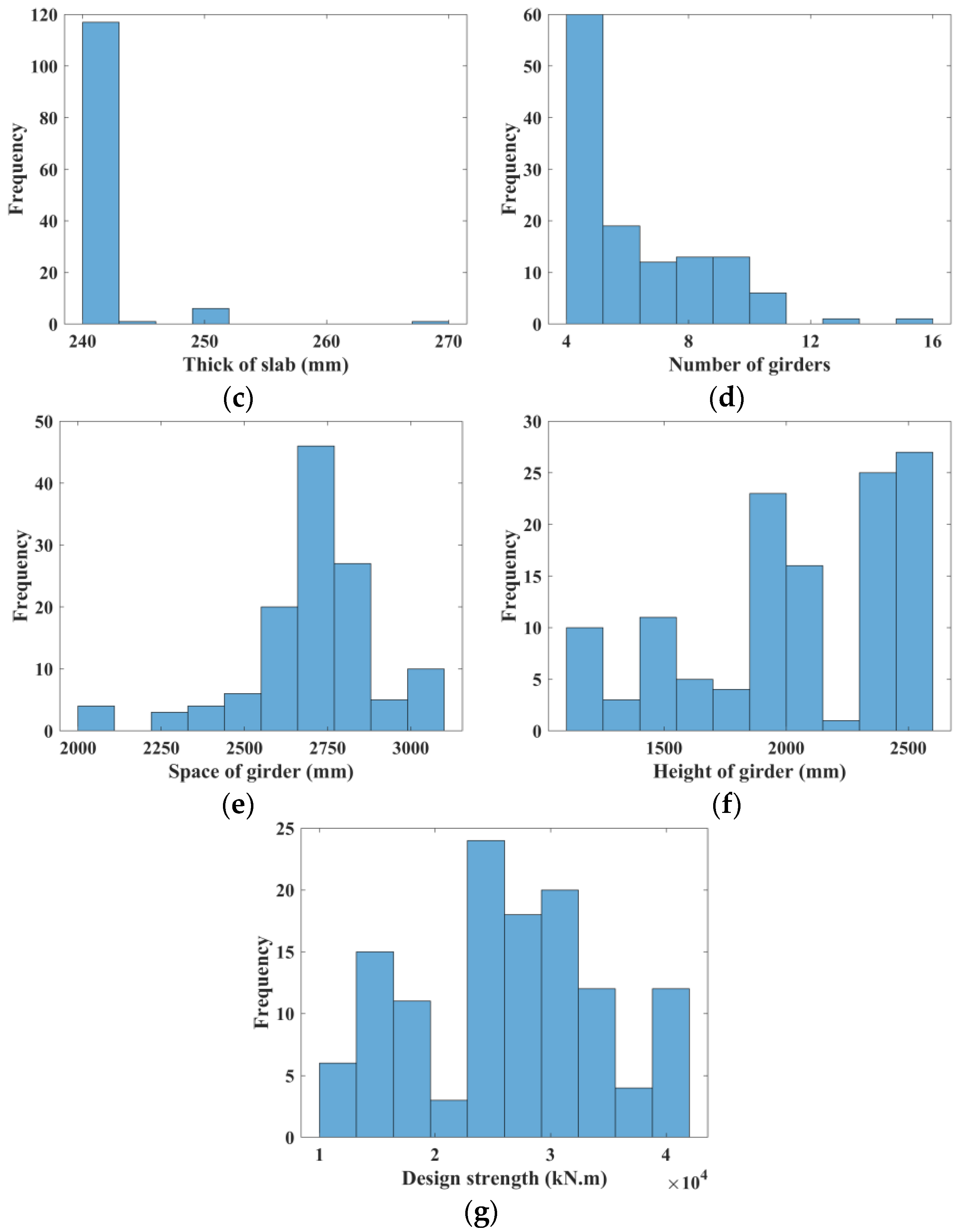
4. Prediction of Girder Design Strength for a Regression Algorithm
4.1. Introduction of Regression Algorithms
4.1.1. Multi-Linear Regression (MLR)
4.1.2. Decision Tree (DT)
4.1.3. Boosting Tree (BT)
4.1.4. Support Vector Machine (SVM)
4.1.5. Gaussian Process Regression (GPR)
4.2. Performance of Regression Algorithms
5. Calibration of Structural Capacity
5.1. Introduction of Bridge-Condition Rating System
5.2. Data Collection and Driving
5.3. Prediction of Response Ratio Using ANN
5.4. Optimization of the ANN Model and Performance Evaluation
6. Summary and Conclusions
Author Contributions
Funding
Institutional Review Board Statement
Informed Consent Statement
Data Availability Statement
Conflicts of Interest
References
- Capacci, L.; Biondini, F.; Frangopol, D.M. Resilience of Aging Structures and Infrastructure Systems with Emphasis on Seismic Resilience of Bridges and Road Networks: Review. Resilient Cities Struct. 2022, 1, 23–41. [Google Scholar] [CrossRef]
- Chun, P.; Hayashi, S. Development of a concrete floating and delamination detection system using infrared thermography. IEEE/ASME Trans. Mechatron. 2021, 26, 2835–2844. [Google Scholar] [CrossRef]
- ASCE. A Comprehensive Assessment of America’s Infrastructures; ASCE: Reston, VA, USA, 2021. [Google Scholar]
- Frangopol, D.M.; Dong, Y.; Sabatino, S. Bridge life-cycle performance and cost: Analysis, prediction, optimization, and decision-making. Struct. Infrastruct. Eng. 2017, 13, 1239–1257. [Google Scholar] [CrossRef]
- Lee, J.H.; Cho, J.Y. Analysis of safety evaluation guidelines for practical maintenance of existing concrete structures. LHI J. 2020, 11, 83–92. [Google Scholar]
- AASHTO. Manual for Bridge Evaluation, 3rd ed.; AASHTO: Washington, DC, USA, 2018. [Google Scholar]
- Santarsiero, G.; Masi, A.; Picciano, V.; Digrisolo, A. The Italian Guidelines on Risk Classification and Management of Bridges: Applications and Remarks on Large Scale Risk Assessments. Infrastructures 2021, 6, 111. [Google Scholar] [CrossRef]
- Domenico, D.D.; Messina, D.; Requpero, A. Quality control and safety assessment of prestressed concrete bridge decks through combined field tests and numerical simulation. Structures 2022, 39, 1135–1157. [Google Scholar] [CrossRef]
- Brownjohn, J.M.W.; Xia, P.Q.; Hao, H.; Xia, Y. Civil structure condition assessment by FE model updating: Methodology and case studies. Finite Elem. Anal. Des. 2001, 37, 761–775. [Google Scholar] [CrossRef]
- Ding, L.; Hao, H.; Xia, Y.; Deeks, A.J. Evaluation of bridge load carrying capacity using updated finite element model and nonlinear analysis. Adv. Struct. Eng. 2012, 15, 1739–1750. [Google Scholar] [CrossRef]
- Xin, Y.; Li, J.; Hampson, K. Load-Carrying Capacity Assessment of an Existing Highway Bridge Based on Hybrid Finite-Element Model Updating. J. Perform. Constr. Facil. 2022, 36, 4022028. [Google Scholar] [CrossRef]
- Ye, C.; Kuok, S.C.; Butler, L.J.; Middleton, C.R. Implementing bridge model updating for operation and maintenance purposes: Examination based on UK practitioners’ views. Struct. Infrastruct. Eng. 2022, 18, 1638–1657. [Google Scholar] [CrossRef]
- Bagheri, A.; Ozbulut, O.E.; Harris, D.K.; Alipour, M.; Hosseinzadeh, A.Z. A hybrid experimental-numerical approach for load rating of reinforced concrete bridges with insufficient structural properties. Struct. Infrastruct. Eng. 2019, 15, 754–770. [Google Scholar] [CrossRef]
- Bagheri, A.; Alipour, M.; Ozbulut, O.E.; Harris, D.K. A nondestructive method for load rating of bridges without structural properties and plans. Eng. Struct. 2018, 171, 545–556. [Google Scholar] [CrossRef]
- Huang, J. Evaluating Bridge Performance: Load Rating Bridges without Plans and Experimental Displacement Influence Lines; University of Delaware ProQuest Dissertations Publishing: Ann Arbor, MI, USA, 2007. [Google Scholar]
- Huang, J.; Shenton, H.W. Load rating of concrete bridge without plans. In Proceedings of the Structures Congress 2010, Orlando, FL, USA, 12–15 May 2010. [Google Scholar]
- Aquilar, C.V.; Jáuregui, D.V.; Newtson, C.M.; Weldon, B.D.; Cortez, T.M. Load rating a prestressed concrete double T-beam bridge without plans by field testing. Transp. Res. Rec. 2015, 2522, 90–99. [Google Scholar] [CrossRef]
- Shakya, A.; Mishra, M.; Maity, D.; Santarsiero, G. Structural health monitoring based on the hybrid ant colony algorithm by using Hooke–Jeeves pattern search. SN Appl. Sci. 2019, 1, 799. [Google Scholar] [CrossRef]
- Sun, Z.; Siringoringo, D.M.; Fujino, Y. Load-carrying capacity evaluation of girder bridge using moving vehicle. Eng. Struct. 2021, 229, 111645. [Google Scholar] [CrossRef]
- Pinjarkar, S.G.; Guedelhoefer, O.C.; Smith, B.J.; Kritzler, R.W. Nondestructive load testing for bridge evaluation and rating. Final. Rep. NCHRP Proj. 1990, 13, 12–28. [Google Scholar]
- Bakht, B.; Jaeger, L.G. Bridge Testing: A Surprise Every Time. J. Struct. Eng. 1990, 116, 1370–1383. [Google Scholar] [CrossRef]
- Park, M.H.; Ju, M.; Jeong, S.; Kim, J.Y. Incorporating interaction terms in multivariate linear regression for post-event flood waste estimation. Waste Manag. 2021, 124, 337–384. [Google Scholar] [CrossRef]
- Kumar, S.; Nimchuk, N.; Kumar, R.; Zietsman, J.; Ramani, T.; Spiegelman, C.; Kenney, M. Specific model for the estimation of methane emission from municipal solid waste landfills in India. Bioresour. Technol. 2016, 216, 981–987. [Google Scholar] [CrossRef]
- Ministry of Land, Transport and Maritime Affairs. Detailed Safety Inspection and Precise Safety Diagnosis Guidelines (Bridge); Ministry of Land, Transport and Maritime Affairs: Seoul, Republic of Korea, 2012. (In Korean)
- Taheri, S.; Brodie, G.; Gupta, D. Optimised ANN and SVR models for online prediction of moisture content and temperature of lentil seeds in a microwave fluidised bed dryer. Comput. Electron. Agric. 2021, 182, 106003. [Google Scholar] [CrossRef]
- Daliakopoulos, I.N.; Coulibaly, P.; Tsanis, I.K. Groundwater level forecasting using artificial neural networks. J. Hydrol. 2005, 309, 229–240. [Google Scholar] [CrossRef]
- Tran, V.L.; Thai, D.K.; Kim, S.E. Application of ANN in predicting ACC of SCFST column. Compos. Struct. 2019, 228, 111332. [Google Scholar] [CrossRef]
- Hadi, M.N.S. Neural networks applications in concrete structures. Comput. Struct. 2003, 81, 373–381. [Google Scholar] [CrossRef]
- Banerjee, S.; Robi, P.S.; Srinivasan, A. Prediction of hot deformation behavior of Al–5.9% Cu–0.5% Mg alloys with trace additions of Sn. J. Mater. Sci. 2012, 47, 929–948. [Google Scholar] [CrossRef]
- Zhang, L.; Wang, F.; Xu, B.; Chi, W.; Wang, Q.; Sun, T. Prediction of stock prices based on LM-BP neural network and the estimation of overfitting point by RDCI. Neural Comput. Appl. 2018, 30, 1425–1444. [Google Scholar] [CrossRef]
- Nikbin, I.M.; Rahimi, S.; Allahyari, H. A new empirical formula for prediction of fracture energy of concrete based on the artificial neural network. Eng. Fract. Mech. 2017, 186, 466–482. [Google Scholar] [CrossRef]
- Naderpour, H.; Kheyroddin, A.; Amiri, G.G. Prediction of FRP-confined compressive strength of concrete using artificial neural networks. Compos. Struct. 2010, 92, 2817–2829. [Google Scholar] [CrossRef]
- Liang, X.; Chen, R.C. A unified mathematical form for removing neurons based on orthogonal projection and crosswise propagation. Neural Comput. Appl. 2010, 19, 445–457. [Google Scholar] [CrossRef]















| Input Data | |||||||
|---|---|---|---|---|---|---|---|
| (mm) | (mm) | (mm) | - | (mm) | (mm) | (kN m) | |
| Max. | 50 | 37,000 | 270 | 16 | 3090 | 2600 | 41,261 |
| Ave. | 40 | 16,199 | 241 | 4 | 2690 | 2013 | 26,380 |
| Min. | 27 | 10,000 | 240 | 4 | 2000 | 1100 | 11,880 |
| St. Dev. | 6 | 6111 | 3 | 2 | 200 | 450 | 7800 |
| MLR | DT | SVM | BT | GPR | |
|---|---|---|---|---|---|
| MAPE | 3.1% | 2.3% | 3.0% | 4.5% | 0.3% |
| 0.969 | 0.979 | 0.984 | 0.985 | 0.999 |
| Condition Rating | Girder | Prestressing Tendon | |||
|---|---|---|---|---|---|
| Crack Width | Deterioration and Damage | Tendon Exposure and Damage | Cement Grout Filling Defect | Sheath Damage | |
| A |
|
|
|
|
|
| B |
|
|
|
|
|
| C |
|
|
|
| - |
| D |
|
|
|
| - |
| E |
|
|
| - | - |
| Condition Rating | Bearing Plate | ||
|---|---|---|---|
| Elastomeric Bearing Plate | Steel Bearing Plate | Support Concrete | |
| A |
|
|
|
| B |
|
|
|
| C |
|
|
|
| D |
|
|
|
| E |
|
| |
| Input | Output | |||||||
|---|---|---|---|---|---|---|---|---|
| Range | Width | Length | Number of Lanes | Period | Design Load | Girder Condition | Bearing Plate Condition | Response Ratio |
| Min. | 6 | 12 | 1 | 1 | DB-13.5 | D | D | 0.49 |
| Max. | 40 | 1336 | 8 | 34 | DB-24 | A | A | 1.51 |
| ANN Model | Parameters | Performance Evaluation | ||
|---|---|---|---|---|
| Performance Function | Number of Neurons | MSE | ||
| N2M | MSE | 2 | 0.46 | 0.024 |
| N4M | 4 | 0.64 | 0.014 | |
| N6M | 6 | 0.62 | 0.015 | |
| N8M | 8 | 0.55 | 0.022 | |
| N10M | 10 | 0.36 | 0.045 | |
| N12M | 12 | 0.26 | 0.065 | |
| N14M | 14 | 0.49 | 0.025 | |
| N16M | 16 | 0.18 | 0.091 | |
| N18M | 18 | 0.44 | 0.040 | |
| Best model: N4M | 0.64 | 0.014 | ||
| N2S | SSE | 2 | 0.57 | 0.019 |
| N4S | 4 | 0.57 | 0.025 | |
| N6S | 6 | 0.04 | 0.111 | |
| N8S | 8 | 0.22 | 0.156 | |
| N10S | 10 | 0.14 | 0.097 | |
| N12S | 12 | 0.82 | 0.008 | |
| N14S | 14 | 0.51 | 0.025 | |
| N16S | 16 | 0.19 | 0.117 | |
| N18S | 18 | 0.05 | 0.402 | |
| Best model: N12S | 0.82 | 0.008 | ||
Disclaimer/Publisher’s Note: The statements, opinions and data contained in all publications are solely those of the individual author(s) and contributor(s) and not of MDPI and/or the editor(s). MDPI and/or the editor(s) disclaim responsibility for any injury to people or property resulting from any ideas, methods, instructions or products referred to in the content. |
© 2023 by the authors. Licensee MDPI, Basel, Switzerland. This article is an open access article distributed under the terms and conditions of the Creative Commons Attribution (CC BY) license (https://creativecommons.org/licenses/by/4.0/).
Share and Cite
Ko, S.-W.; Kim, J.-K. A Framework for Evaluating the Load-Carrying Capacity of Bridges without Design Document Using an AI Technique. Appl. Sci. 2023, 13, 1283. https://doi.org/10.3390/app13031283
Ko S-W, Kim J-K. A Framework for Evaluating the Load-Carrying Capacity of Bridges without Design Document Using an AI Technique. Applied Sciences. 2023; 13(3):1283. https://doi.org/10.3390/app13031283
Chicago/Turabian StyleKo, Sang-Woo, and Jin-Kook Kim. 2023. "A Framework for Evaluating the Load-Carrying Capacity of Bridges without Design Document Using an AI Technique" Applied Sciences 13, no. 3: 1283. https://doi.org/10.3390/app13031283
APA StyleKo, S.-W., & Kim, J.-K. (2023). A Framework for Evaluating the Load-Carrying Capacity of Bridges without Design Document Using an AI Technique. Applied Sciences, 13(3), 1283. https://doi.org/10.3390/app13031283

