Effect of Printing Parameters on Mechanical Performance of Material-Extrusion 3D-Printed PEEK Specimens at the Point-of-Care
Abstract
1. Introduction
2. Materials and Methods
2.1. Printing Strategies
2.2. 3D Printing of Test Samples
2.3. Geometrical and Mechanical Characterization
2.4. Statistical Analysis
3. Results
3.1. Geometrical Characterization
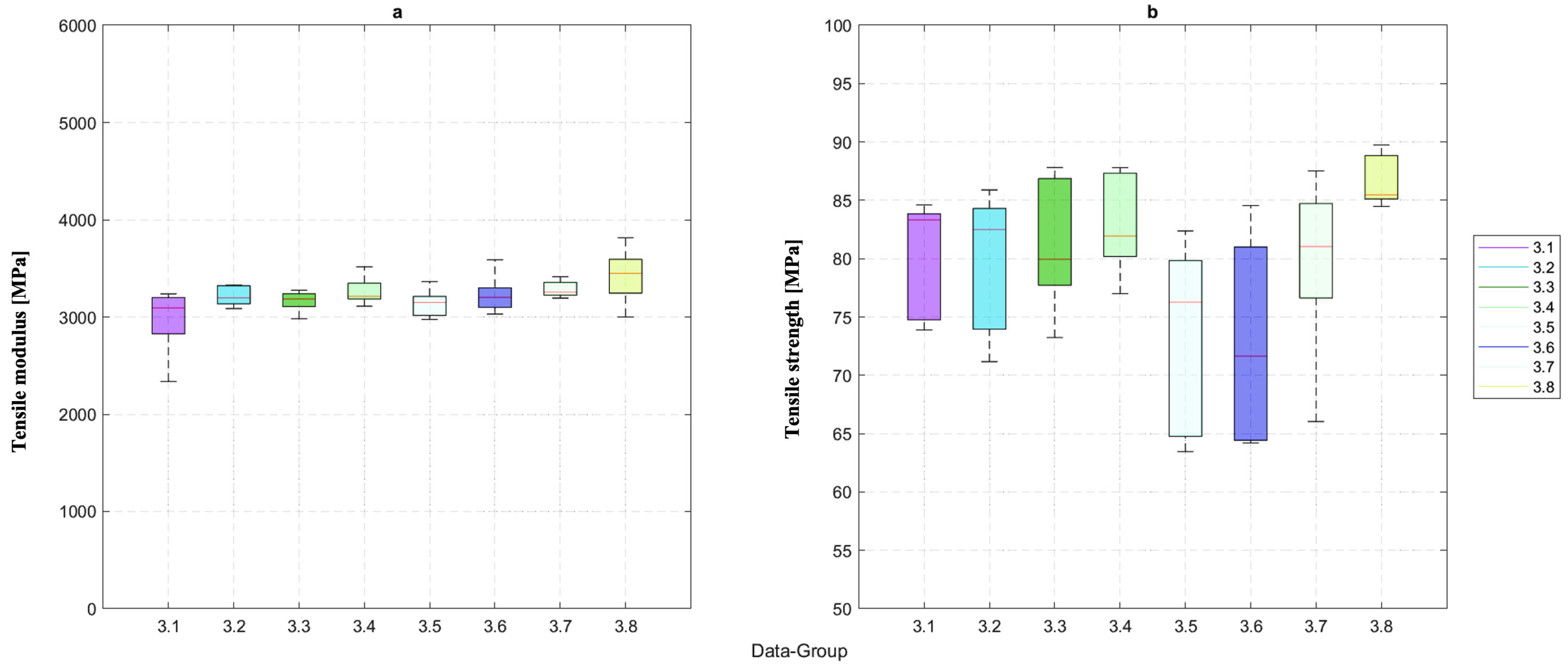
3.2. Effect of Printing Orientation on Mechanical Properties
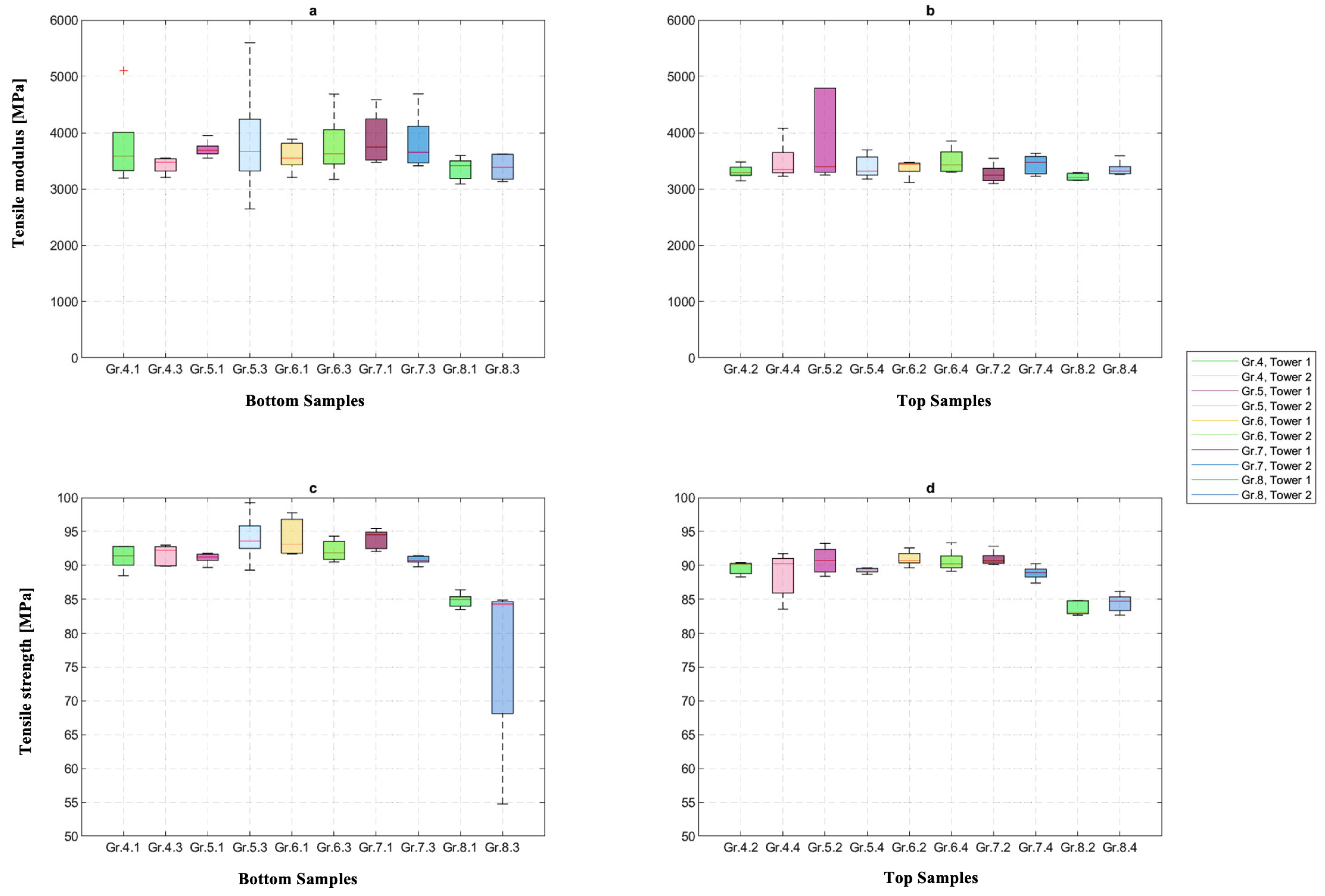
3.3. Effect of Printing Position on Mechanical Properties
4. Discussion
4.1. Effect of Printing Orientation on Mechanical Properties
4.2. Effect of Printing Position on Mechanical Properties
5. Conclusions
- This is the first study, to our knowledge, to systematically investigate the mechanical and dimensional characteristics of MEX-printed PEEK samples printed at the point-of-care. The samples were printed in several orientations and at various positions spread across the entire build chamber and an assessment strategy was developed to study the influence of the printing parameters on the mechanical and dimensional accuracy attributes of the printed samples. Mechanical strengths of the MEX-printed PEEK samples were evaluated by tensile tests. In contrast to previous studies, the non-thermal printing parameters were chosen as an independent factor throughout the experiments. Based on our findings, the following conclusions have been drawn from this study: the tensile strength of the MEX-printed PEEK samples was in the range of 89.748–101.82 MPa, while the tensile modulus values were in between 3227.22 and 3815.41 MPa, respectively.
- The tensile tests showed that printing in XY and XZ orientations had no significant influence on the mechanical properties of printed parts. In addition, altering the position of the objects/test samples and the height of printing in the Z-direction did not influence the mechanical strength of PEEK-printed parts.
- The dimensional attributes and reliability of printing were also quantified and reported to be under 0.2 mm deviations.
Author Contributions
Funding
Institutional Review Board Statement
Informed Consent Statement
Data Availability Statement
Acknowledgments
Conflicts of Interest
References
- Williams, D.F.; McNamara, A.; Turner, R.M. Potential of polyetheretherketone (PEEK) and carbon-fibre-reinforced PEEK in medical applications. J. Mater. Sci. Lett. 1987, 6, 188–190. [Google Scholar] [CrossRef]
- Skinner, H.B. Composite technology for total hip arthroplasty. Clin. Orthop. Relat. Res. 1988, 235, 224–236. [Google Scholar] [CrossRef]
- Zheng, J.; Zhao, H.; Dong., E.; Kang., J.; Liu, C.; Sun, C.; Li, D.; Wang, L. Additively-manufactured PEEK/HA porous scaffolds with highly-controllable mechanical properties and excellent biocompatibility. Mater. Sci. Eng. C Mater. Biol. Appl. 2021, 128, 112333. [Google Scholar] [CrossRef]
- Verma, S.; Sharma, N.; Kango, S.; Sharma, S. Developments of PEEK (Polyetheretherketone) as a biomedical material: A focused review. Eur. Polym. J. 2021, 147, 110295. [Google Scholar] [CrossRef]
- Zanjanijam, A.R.; Major, I.; Lyons, J.G.; Lafont, U.; Devine, D.M. Fused Filament Fabrication of PEEK: A Review of Process-Structure-Property Relationships. Polymers 2020, 12, 1665. [Google Scholar] [CrossRef]
- May, R. Polyetheretherketones. In Encyclopedia of Polymer Science and Engineering; Mark, H.F., Bikales, N.M., Overberger, C.G., Menges, G., Kroschiwitz, J.I., Eds.; John Wiley and Sons: New York, NY, USA, 1988; pp. 313–320. [Google Scholar]
- Green, S.M.; Schlegel, J. A polyaryletherketone biomaterial for use in medical implant applications. In Proceedings of the Polymers for the Medical Industry, Brussels, Belgium, 14–15 May 2001; pp. 1–7. [Google Scholar]
- Kurtz, S.M. PEEK Biomaterials Handbook; William Andrew: Norwich, NY, USA, 2019. [Google Scholar] [CrossRef]
- Gao, S.; Liu, R.; Xin, H.; Liang, H.; Wang, Y.; Jia, J. The Surface Characteristics, Microstructure and Mechanical Properties of PEEK Printed by Fused Deposition Modeling with Different Raster Angles. Polymers 2021, 14, 77. [Google Scholar] [CrossRef]
- Basgul, C.; MacDonald, D.W.; Siskey, R.; Kurtz, S.M. Thermal Localization Improves the Interlayer Adhesion and Structural Integrity of 3D printed PEEK Lumbar Spinal Cages. Materialia 2020, 10, 100650. [Google Scholar] [CrossRef]
- Dua, R.; Rashad, Z.; Spears, J.; Dunn, G.; Maxwell, M. Applications of 3D-Printed PEEK via Fused Filament Fabrication: A Systematic Review. Polymers 2021, 13, 4046. [Google Scholar] [CrossRef]
- Chia, H.N.; Wu, B.M. Recent advances in 3D printing of biomaterials. J. Biol. Eng. 2015, 9, 4. [Google Scholar] [CrossRef]
- Melchels, F.P.; Feijen, J.; Grijpma, D.W. A review on stereolithography and its applications in biomedical engineering. Biomaterials 2010, 31, 6121–6130. [Google Scholar] [CrossRef]
- Gibson, I.; Shi, D. Material properties and fabrication parameters in selective laser sintering process. Rapid Prototyp. J. 1997, 3, 129–136. [Google Scholar] [CrossRef]
- Stansbury, J.W.; Idacavage, M.J. 3D printing with polymers: Challenges among expanding options and opportunities. Dent. Mater. 2016, 32, 54–64. [Google Scholar] [CrossRef]
- Kruth, J.P.; Wang, X.; Laoui, T.; Froyen, L. Lasers and materials in selective laser sintering. Assem. Autom. 2003, 23, 357–371. [Google Scholar] [CrossRef]
- Turner, B.N.; Gold, S.A. A review of melt extrusion additive manufacturing processes: II. Materials, dimensional accuracy, and surface roughness. Rapid Prototyp. J. 2015, 21, 250–261. [Google Scholar] [CrossRef]
- Guo, N.; Leu, M.C. Additive manufacturing: Technology, applications and research needs. Front. Mech. Eng. 2013, 8, 215–243. [Google Scholar] [CrossRef]
- Frazier, W.E. Metal Additive Manufacturing: A Review. J. Mater. Eng. Perform. 2014, 23, 1917–1928. [Google Scholar] [CrossRef]
- Sharma, N.; Aghlmandi, S.; Dalcanale, F.; Seiler, D.; Zeilhofer, H.-F.; Honigmann, P.; Thieringer, F.M. Quantitative Assessment of Point-of-Care 3D-Printed Patient-Specific Polyetheretherketone (PEEK) Cranial Implants. Int. J. Mol. Sci. 2021, 22, 8521. [Google Scholar] [CrossRef]
- Sharma, N.; Honigmann, P.; Cao, S.; Thieringer, F. Dimensional characteristics of FDM 3D printed PEEK implant for craniofacial reconstructions. Trans. Addit. Manuf. Meets Med. 2020, 2, 011. [Google Scholar] [CrossRef]
- Baek, I.; Kwon, O.; Lim, C.M.; Park, K.Y.; Bae, C.J. 3D PEEK Objects Fabricated by Fused Filament Fabrication(FFF). Materials 2022, 15, 898. [Google Scholar] [CrossRef]
- Oladapo, B.I.; Zahedi, S.A.; Ismail, S.O.; Omigbodun, F.T.; Bowoto, O.K.; Olawumi, M.A.; Muhammad, M.A. 3D printing of PEEK–cHAp scaffold for medical bone implant. Bio-Des. Manuf. 2020, 4, 44–59. [Google Scholar] [CrossRef]
- Sun, Q.; Rizvi, G.M.; Bellehumeur, C.T.; Gu, P. Effect of processing conditions on the bonding quality of FDM polymer filaments. Rapid Prototyp. J. 2008, 14, 72–80. [Google Scholar] [CrossRef]
- Thomas, J.; Rodriguez, J. Modeling the fracture strength between fused-deposition extruded roads. In Proceedings of the Solid Freeform Fabrication Symposium Proceeding, Austin, TX, USA, 8–10 August 2000; pp. 16–23. [Google Scholar]
- Drummer, D.; Cifuentes-Cuéllar, S.; Rietzel, D. Suitability of PLA/TCP for fused deposition modeling. Rapid Prototyp. J. 2012, 18, 500–507. [Google Scholar] [CrossRef]
- Xinhua, L.; Shengpeng, L.; Zhou, L.; Xianhua, Z.; Xiaohu, C.; Zhongbin, W. An investigation on distortion of PLA thin-plate part in the FDM process. Int. J. Adv. Manuf. Technol. 2015, 79, 1117–1126. [Google Scholar] [CrossRef]
- Zhang, Y.; Chou, Y.K. Three-dimensional finite element analysis simulations of the fused deposition modelling process. Proc. Inst. Mech. Eng. B J. Eng. Manuf. 2006, 220, 1663–1671. [Google Scholar] [CrossRef]
- Arif, M.F.; Kumar, S.; Varadarajan, K.M.; Cantwell, W.J. Performance of biocompatible PEEK processed by fused deposition additive manufacturing. Mater. Des. 2018, 146, 249–259. [Google Scholar] [CrossRef]
- Li, H.; Liu, Z.; Gu, J.; Wang, D.; Qu, C. Preparation of high performance adhesives matrix based on epoxy resin modified by bis-hydroxy terminated polyphenylene oxide. J. Adhes. Sci. Technol. 2018, 32, 1224–1238. [Google Scholar] [CrossRef]
- Hu, B.; Duan, X.; Xing, Z.; Xu, Z.; Du, C.; Zhou, H.; Chen, R.; Shan, B. Improved design of fused deposition modeling equipment for 3D printing of high-performance PEEK parts. Mech. Mater. 2019, 137, 103139. [Google Scholar] [CrossRef]
- Rinaldi, M.; Cecchini, F.; Pigliaru, L.; Ghidini, T.; Lumaca, F.; Nanni, F. Additive Manufacturing of Polyether Ether Ketone (PEEK) for Space Applications: A Nanosat Polymeric Structure. Polymers 2020, 13, 11. [Google Scholar] [CrossRef]
- Hoskins, T.J.; Dearn, K.D.; Kukureka, S.N. Mechanical performance of PEEK produced by additive manufacturing. Polym. Test. 2018, 70, 511–519. [Google Scholar] [CrossRef]
- Yang, C.; Tian, X.; Li, D.; Cao, Y.; Zhao, F.; Shi, C. Influence of thermal processing conditions in 3D printing on the crystallinity and mechanical properties of PEEK material. J. Mater. Process. Technol. 2017, 248, 1–7. [Google Scholar] [CrossRef]
- El Magri, A.; El Mabrouk, K.; Vaudreuil, S.; Chibane, H.; Touhami, M.E. Optimization of printing parameters for improvement of mechanical and thermal performances of 3D printed poly(ether ether ketone) parts. J. Appl. Polym. Sci. 2020, 137, e49087. [Google Scholar] [CrossRef]
- Parthasarathy, J. 3D modeling, custom implants and its future perspectives in craniofacial surgery. Ann. Maxillofac. Surg. 2014, 4, 9–18. [Google Scholar] [CrossRef] [PubMed]
- Kumovis. A 3D System Company. Available online: https://kumovis.com/3d-printer/ (accessed on 3 November 2022).
- Davies, R.; Yi, N.; McCutchion, P.; Ghita, O. Mechanical property variance amongst vertical fused filament fabricated specimens via four different printing methods. Polym. Int. 2021, 70, 1073–1079. [Google Scholar] [CrossRef]
- Wang, Y.; Lee, K. 3D-printed semi-soft mechanisms inspired by origami twisted tower. In Proceedings of the 2017 NASA/ESA Conference on Adaptive Hardware and Systems (AHS), Pasadena, CA, USA, 24–27 July 2017; pp. 161–166. [Google Scholar] [CrossRef]
- Schönhoff, L.M.; Mayinger, F.; Eichberger, M.; Reznikova, E.; Stawarczyk, B. 3D printing of dental restorations: Mechanical properties of thermoplastic polymer materials. J. Mech. Behav. Biomed. Mater. 2021, 119, 104544. [Google Scholar] [CrossRef] [PubMed]
- Ding, S.; Zou, B.; Wang, P.; Ding, H. Effects of nozzle temperature and building orientation on mechanical properties and microstructure of PEEK and PEI printed by 3D-FDM. Polym. Test. 2019, 78, 105948. [Google Scholar] [CrossRef]
- Kumar, N.; Jain, P.K.; Tandon, P.; Pandey, P.M. The effect of process parameters on tensile behavior of 3D printed flexible parts of ethylene vinyl acetate (EVA). J. Manuf. Process. 2018, 35, 317–326. [Google Scholar] [CrossRef]
- Wu, W.Z.; Geng, P.; Zhao, J.; Zhang, Y.; Rosen, D.W.; Zhang, H.B. Manufacture and thermal deformation analysis of semicrystalline polymer polyether ether ketone by 3D printing. Mater. Res. Innov. 2014, 18, S5-12–S5-16. [Google Scholar] [CrossRef]
- Wang, P.; Zou, B.; Xiao, H.; Ding, S.; Huang, C. Effects of printing parameters of fused deposition modeling on mechanical properties, surface quality, and microstructure of PEEK. J. Mater. Process. Technol. 2019, 271, 62–74. [Google Scholar] [CrossRef]
- Sharma, N.; Aghlmandi, S.; Cao, S.; Kunz, C.; Honigmann, P.; Thieringer, F.M. Quality Characteristics and Clinical Relevance of In-House 3D-Printed Customized Polyetheretherketone (PEEK) Implants for Craniofacial Reconstruction. J. Clin. Med. 2020, 9, 2818. [Google Scholar] [CrossRef]
- Rinaldia, M.; Ghidinic, T.; Cecchinia, F.; Brandaoc, A.; Nanni, F. Additive layer manufacturing of poly (ether ether ketone) via FDM. Compos. B Eng. 2018, 145, 162–172. [Google Scholar] [CrossRef]
- Cicala, G.; Latteri, A.; Del Curto, B.; Lo Russo, A.; Recca, G.; Farè, S. Engineering Thermoplastics for Additive Manufacturing: A Critical Perspective with Experimental Evidence to Support Functional Applications. J. Appl. Biomater. Funct. Mater. 2017, 15, 10–18. [Google Scholar] [CrossRef] [PubMed]
- Zheng, J.; Kang, J.; Sun, C.; Yang, C.; Wang, L.; Li, D. Effects of printing path and material components on mechanical properties of 3D-printed polyether-ether-ketone/hydroxyapatite composites. J. Mech. Behav. Biomed. Mater. 2021, 118, 104475. [Google Scholar] [CrossRef] [PubMed]
- Rahman, K.M.; Letcher, T.; Reese, R. Mechanical properties of additively manufactured peek components using fused filament fabrication. In Proceedings of the ASME 2015 International Mechanical Engineering Congress and Exposition, Houston, TX, USA, 13–19 November 2015; American Society of Mechanical Engineers: New York, NY, USA, 2015; p. V02AT02A009. [Google Scholar]
- Sviridov, A.; Lopatina, I.; Kurganova, I. 3D-printed polyetheretherketone samples mechanical properties estimation. In IOP Conference Series: Materials Science and Engineering; IOP Publishing: Bristol, UK, 2019; Volume 589, p. 12021. [Google Scholar]
- Van Egmond, D.A. Properties of Poly(Ether Ether Ketone) as a High Performance Engineering Thermoplastic Processed by Fused Deposition Modelling, Internship Report; ESA-TECQEE-RP-004897; ESA: Paris, France, 2015. [Google Scholar]
- Basgul, C.; Thieringer, F.M.; Kurtz, S.M. Heat Transfer-Based Non-isothermal Healing Model for the Interfacial Bonding Strength of Fused Filament Fabricated Polyetheretherketone. Addit. Manuf. 2022, 46, 102097. [Google Scholar] [CrossRef]
- Wang, P.; Zou, B.; Ding, S. Modeling of surface roughness based on heat transfer considering diffusion among deposition filaments for FDM 3D printing heat- resistant resin. Appl. Therm. Eng. 2019, 161, 114064. [Google Scholar] [CrossRef]
- Zhang, J.; Wang, X.Z.; Yu, W.W.; Deng, Y.H. Numerical investigation of the influence of process conditions on the temperature variation in fused deposition modeling. Mater. Des. 2017, 130, 59–68. [Google Scholar] [CrossRef]
- Han, X.; Yang, D.; Yang, C.; Spintzyk, S.; Scheideler, L.; Li, P.; Li, D.; Geis-Gerstorfer, J.; Rupp, F. Carbon Fiber Reinforced PEEK Composites Based on 3D-Printing Technology for Orthopedic and Dental Applications. J. Clin. Med. 2019, 8, 240. [Google Scholar] [CrossRef] [PubMed]
- Basgul, C.; Spece, H.; Sharma, N.; Thieringer, F.M.; Kurtz, S.M. Structure, properties, and bioactivity of 3D printed PAEKs for implant applications: A systematic review. J. Biomed. Mater. Res. B Appl. Biomater. 2021, 109, 1924–1941. [Google Scholar] [CrossRef]









| Main Group | Group | Number of Samples | Subgroup | Orientation of Printing | Position on the Build Plate | Purpose | |
|---|---|---|---|---|---|---|---|
| A | 1 | n = 8 dog bones | - | XY | Center | Geometrical characterization, comparison of different printing orientations | |
| 2 | n = 8 dog bones | - | XZ | Center | Comparison of different printing orientations | ||
| 3 | n = 8 short pentagon towers | #3.1 (n = 5 dog bones) #3.2 (n = 5 dog bones) #3.3 (n = 5 dog bones) #3.4 (n = 5 dog bones) #3.5 (n = 5 dog bones) #3.6 (n = 5 dog bones) #3.7 (n = 5 dog bones) #3.8 (n = 5 dog bones) | ZX | Center | Comparison of different printing orientations, Reproducibility | ||
| B | 4 | n = 2 tall pentagon towers | Bottom | #4.1 (n = 5) #4.3 (n = 5) | ZX | Center | Comparison of different printing positions |
| Top | #4.2 (n = 5) #4.4 (n = 5) | ||||||
| 5 | n = 2 tall pentagon towers | Bottom | #5.1 (n = 5) #5.3 (n = 5) | ZX | Front | Comparison of different printing positions | |
| Top | #5.2 (n = 5) #5.4 (n = 5) | ||||||
| 6 | n = 2 tall pentagon towers | Bottom | #6.1 (n = 5) #6.3 (n = 5) | ZX | Back | Comparison of different printing positions | |
| Top | #6.2 (n = 5) #6.4 (n = 5) | ||||||
| 7 | n = 2 tall pentagon towers | Bottom | #7.1 (n = 5) #7.3 (n = 5) | ZX | Left | Comparison of different printing positions | |
| Top | #7.2 (n = 5) #7.4 (n = 5) | ||||||
| 8 | n = 2 tall pentagon towers | Bottom | #8.1 (n = 5) #8.3 (n = 5) | ZX | Right | Comparison of different printing positions | |
| Top | #8.2 (n = 5) #8.4 (n = 5) | ||||||
| Dimension | Mean ± Standard Deviation [mm] |
|---|---|
| A | 2.14 ± 0.2 |
| B | 9.83 ± 0.2 |
| C | 4.97 ± 0.2 |
| D | 75.43 ± 0.2 |
| Group | Tensile Modulus Mean [MPa] | Tensile Modulus Standard Deviation [MPa] | Maximum Strength Mean [MPa] | Maximum Strength Standard Deviation [MPa] |
|---|---|---|---|---|
| 1 | 3295.089 | 393.448 | 89.381 | 1.362 |
| 2 | 3639.025 | 623.647 | 97.617 | 1.972 |
| #3.1 | 2969.121 | 365.715 | 80.085 | 5.168 |
| #3.2 | 3216.257 | 105.344 | 79.637 | 6.294 |
| #3.3 | 3163.445 | 112.1 | 81.346 | 5.935 |
| #3.4 | 3268.256 | 152.54 | 83.028 | 4.49 |
| #3.5 | 3135.41 | 149.643 | 73.261 | 8.451 |
| #3.6 | 3228.602 | 212.884 | 72.941 | 9.098 |
| #3.7 | 3286.464 | 87.529 | 79.709 | 8.16 |
| #3.8 | 3422.033 | 296.38 | 86.707 | 2.288 |
| #4.1 | 3777.863 | 760.159 | 91.191 | 1.799 |
| #4.2 | 3309.352 | 122.192 | 89.609 | 0.944 |
| #4.3 | 3423.714 | 143.884 | 91.537 | 1.518 |
| #4.4 | 3492.837 | 342.506 | 88.598 | 3.398 |
| #5.1 | 3705.793 | 146.595 | 91.07 | 0.834 |
| #5.2 | 4373.962 | 2190.194 | 90.726 | 1.995 |
| #5.3 | 3848.707 | 1076.45 | 94.068 | 3.545 |
| #5.4 | 3395.817 | 209.443 | 89.271 | 0.374 |
| #6.1 | 3584.957 | 265.298 | 94.173 | 2.785 |
| #6.2 | 3371.995 | 147.713 | 90.999 | 1.094 |
| #6.3 | 3771.983 | 565.339 | 92.178 | 1.579 |
| #6.4 | 3497.65 | 230.604 | 90.644 | 1.605 |
| #7.1 | 3891.971 | 466.296 | 93.863 | 1.45 |
| #7.2 | 3271.996 | 171.5 | 90.983 | 1.078 |
| #7.3 | 3830.286 | 518.765 | 90.792 | 0.645 |
| #7.4 | 3435.479 | 175.514 | 88.862 | 1.035 |
| #8.1 | 3355.87 | 202.104 | 84.805 | 1.072 |
| #8.2 | 3215.416 | 62.98 | 83.65 | 1.038 |
| #8.3 | 3387.385 | 229.425 | 76.207 | 13.068 |
| #8.4 | 3354.358 | 134.179 | 84.442 | 1.338 |
Disclaimer/Publisher’s Note: The statements, opinions and data contained in all publications are solely those of the individual author(s) and contributor(s) and not of MDPI and/or the editor(s). MDPI and/or the editor(s) disclaim responsibility for any injury to people or property resulting from any ideas, methods, instructions or products referred to in the content. |
© 2023 by the authors. Licensee MDPI, Basel, Switzerland. This article is an open access article distributed under the terms and conditions of the Creative Commons Attribution (CC BY) license (https://creativecommons.org/licenses/by/4.0/).
Share and Cite
Zarean, P.; Malgaroli, P.; Zarean, P.; Seiler, D.; de Wild, M.; Thieringer, F.M.; Sharma, N. Effect of Printing Parameters on Mechanical Performance of Material-Extrusion 3D-Printed PEEK Specimens at the Point-of-Care. Appl. Sci. 2023, 13, 1230. https://doi.org/10.3390/app13031230
Zarean P, Malgaroli P, Zarean P, Seiler D, de Wild M, Thieringer FM, Sharma N. Effect of Printing Parameters on Mechanical Performance of Material-Extrusion 3D-Printed PEEK Specimens at the Point-of-Care. Applied Sciences. 2023; 13(3):1230. https://doi.org/10.3390/app13031230
Chicago/Turabian StyleZarean, Paridokht, Patrick Malgaroli, Parichehr Zarean, Daniel Seiler, Michael de Wild, Florian M. Thieringer, and Neha Sharma. 2023. "Effect of Printing Parameters on Mechanical Performance of Material-Extrusion 3D-Printed PEEK Specimens at the Point-of-Care" Applied Sciences 13, no. 3: 1230. https://doi.org/10.3390/app13031230
APA StyleZarean, P., Malgaroli, P., Zarean, P., Seiler, D., de Wild, M., Thieringer, F. M., & Sharma, N. (2023). Effect of Printing Parameters on Mechanical Performance of Material-Extrusion 3D-Printed PEEK Specimens at the Point-of-Care. Applied Sciences, 13(3), 1230. https://doi.org/10.3390/app13031230

