Dynamics of Semiconductor Laser Subject to Optical Feedback with Linewidth Enhancement Factor and Spontaneous Emission Factor
Abstract
1. Introduction
2. Model of Analysis and Numerical Procedures
2.1. Modified Model of Analysis
2.2. Numerical Simulations Procedures
3. Simulation Results and Discussions
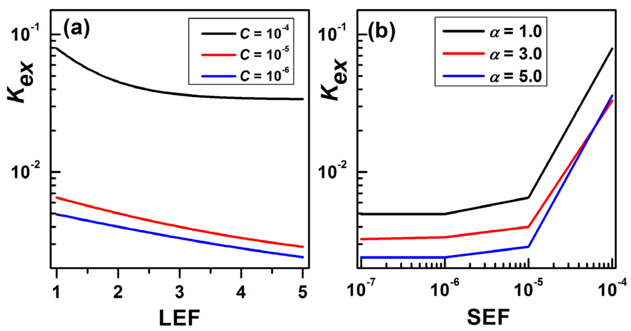
3.1. Impacts of LEF and SEF on States of LD
3.2. LEF and SEF with OFB Kex at HB Point
3.3. RIN at Low Frequency with LEF and SEF
3.4. RIN Spectra of LD for Various States
4. Conclusions
Author Contributions
Funding
Data Availability Statement
Acknowledgments
Conflicts of Interest
References
- Kreinberg, S.; Chow, W.W.; Wolters, J.; Schneider, C.; Gies, C.; Jahnke, F.; Höfling, S.; Kamp, M.; Reitzenstein, S. Emission from quantum-dot high-β microcavities: Transition from spontaneous emission to lasing and the effects of superradiant emitter coupling. Light Sci. Appl. 2017, 6, e17030. [Google Scholar] [CrossRef] [PubMed]
- Stohs, J.; Bossert, D.J.; Gallant, D.J.; Brueck, S.R.J. Gain, Refractive Index Change, and Linewidth Enhancement Factor in Broad-Area Gaas and Ingaas Quantum-Well Lasers. IEEE J. Quantum Electron. 2001, 37, 11. [Google Scholar] [CrossRef]
- Henry, C.H. Theory of the linewidth of semiconductor lasers. IEEE J. Quantum Electron. 1982, QE-18, 259–264. [Google Scholar] [CrossRef]
- Yu, Y.; Xi, J. Influence of external optical feedback on the alpha factor of semiconductor lasers. Opt. Lett. 2013, 38, 1781. [Google Scholar] [CrossRef]
- Sobiesierski, A.; Smowton, P.M. Comprehensive Semiconductor Science and Technology; Elsevier: Amsterdam, The Netherlands, 2011; Volume 6, pp. 353–384. [Google Scholar]
- Tong, K.; Du, Z.; Li, J.; Yuan, L. Optical frequency comb based on a distributed feedback semiconductor laser with direct injection current multi-frequency modulation. Opt. Laser Technol. 2021, 137, 106827. [Google Scholar] [CrossRef]
- Bergman, D.J.; Stockman, M.I. Surface Plasmon Amplification by Stimulated Emission of Radiation: Quantum Generation of Coherent Surface Plasmons in Nanosystems. Phys. Rev. Lett. 2003, 90, 027402. [Google Scholar] [CrossRef] [PubMed]
- Stockman, M.I. The spaser as a nanoscale quantum generator and ultrafast amplifier. J. Opt. 2010, 12, 024004. [Google Scholar] [CrossRef]
- Li, A.; Wei, H.; Cotrufo, M.; Chen, W.; Mann, S.; Ni, X.; Xu, B.; Chen, J.; Wang, J.; Fan, S.; et al. Exceptional points and non-Hermitian photonics at the nanoscale. Nat. Nanotechnol. 2023, 18, 706–720. [Google Scholar] [CrossRef]
- Bandres, M.A.; Wittek, S.; Harari, G.; Parto, M.; Ren, J.; Segev, M.; Demetrios; Christodoulides, N.; Khajavikhan, M. Topological insulator laser: Experiments. Science 2018, 359, 6381. [Google Scholar] [CrossRef]
- Agrawal, G.; Bowden, C. Concept of linewidth enhancement factor in semiconductor lasers: Its usefulness and limitations. IEEE Photonics Technol. Lett. 1993, 5, 640–642. [Google Scholar] [CrossRef]
- Al-Hosiny, N.M. Dynamics of optically injected semiconductor lasers with zero linewidth enhancement factor. J. Taibah Univ. Sci. 2023, 17, 2163607. [Google Scholar] [CrossRef]
- Osinski, M.; Buus, J. Linewidth broadening factor in semiconductor lasers—An overview. IEEE J. Quantum Electron. 1987, 23, 9–29. [Google Scholar] [CrossRef]
- Masoller, C.; Abraham, N.B. Stability and dynamical properties of the coexisting attractors of an external-cavity semiconductor laser. Phys. Rev. A 1998, 57, 1313. [Google Scholar] [CrossRef]
- Rodriguez, D.; Esquivias, I.; Deubert, S.; Reithmaier, J.P.; Forchel, A.; Krarowski, M.; Calligaro, M.; Parillaud, O. Gain, index variation, and linewidth-enhancement factor in 980-nm quantum-well and quantum-dot lasers. IEEE J. Quantum Electron. 2005, 41, 117. [Google Scholar] [CrossRef]
- Ryan, A.T.; Agrawal, G.P.; Gray, G.R.; Gage, E.C. Optical-feedback-induced chaos and its control in multimode semiconductor lasers. IEEE J. Quantum Electron. 1994, 30, 668. [Google Scholar] [CrossRef]
- Mi, Z.; Bhattacharya, P.; Fathpour, S. High-speed 1.3 μm tunnel injection quantum-dot lasers. Appl. Phys. Lett. 2005, 86, 153109. [Google Scholar] [CrossRef]
- Mi, Z.; Bhattacharya, P. Analysis of the linewidth-enhancement factor of long-wavelength tunnel-injection quantum-dot lasers. IEEE J. Quantum Electron. 2007, 43, 363. [Google Scholar] [CrossRef]
- Al-Hosiny, N.M. Effect of Linewidth Enhancement Factor on the Stability Map of Optically Injected Distributed Feedback Laser. Opt. Rev. 2014, 21, 261. [Google Scholar] [CrossRef]
- Chuang, C.-F.; Liao, Y.-H.; Lin, C.-H.; Chen, S.-Y.; Grillot, F.; Lin, F.-Y. Linewidth enhancement factor in semiconductor lasers subject to various external optical feedback conditions. Opt. Express 2014, 22, 5651. [Google Scholar] [CrossRef]
- Bowers, J.E.; Hemenway, B.R.; Gnauck, A.H.; Wilt, D.P. High-speed InGaAsP constricted-mesa lasers. IEEE J. Quantum Electron. 1986, 22, 833. [Google Scholar] [CrossRef]
- Petermann, K. Laser Diode Modulation and Noise; Kluwer Academic: Dordrecht, The Netherlands, 1988; Chapter 7; p. 152. [Google Scholar]
- Arsenijević, D.; Bimberg, D. Phase noise and jitter reduction by optical feedback on passively mode-locked quantum dot lasers. Appl. Phys. Lett. 2013, 103, 231101. [Google Scholar] [CrossRef]
- Asghar, H.; Wei, W.; Kumar, P.; Sooudi, E.; Mcinerney, J.G. Stabilization of self-mode-locked quantum dash lasers by symmetric dual-loop optical feedback. Opt. Express 2018, 26, 4581. [Google Scholar] [CrossRef]
- Lang, R.; Kobayashi, K. External optical feedback effects on semiconductor injection laser properties. IEEE J. Quantum Electron. 1980, 16, 347. [Google Scholar] [CrossRef]
- Abdulrhmann, S.; Ahmed, M.; Okamoto, T.; Ishimori, W.; Yamada, M. An improved analysis of semiconductor laser dynamics under strong optical feedback. IEEE J. Select. Top. Quantum Electron. 2003, 9, 1265–1274. [Google Scholar] [CrossRef]
- Abdulrhmann, S.; Ahmed, M.; Yamada, M. New model of analysis of semiconductor laser dynamics under strong optical feedback in fiber communication system. Proc. SPIE 2003, 4986, 490–501. [Google Scholar]
- Abdulrhmann, S.; Altowyan, A.S.; Hakami, J. Impact of Optical Feedback and Radiative and Non-radiative Recombination Rates on the Dynamics and Intensity Noise of Semiconductor Laser. Photonics 2022, 9, 541–554. [Google Scholar] [CrossRef]
- Abdulrhmann, S.; Hakami, J.; Alhasan, A.M.; Altowyan, A.S.; Afifi, G. Impact of α-factor, combined optical phase and gain saturation on the onset of chaos of short external cavity semiconductor lasers. Optik 2023, 286, 171030. [Google Scholar] [CrossRef]
- Yamada, M. Variation of intensity noise and frequency noise with the spontaneous emission factor in semiconductor lasers. IEEE J. Quantum Electron. 1994, 30, 1511–1519. [Google Scholar] [CrossRef]
- Sattar, Z.A.; Shore, K.A. External Optical Feedback Effects in Semiconductor Nanolasers. IEEE J. Sel. Top. Quantum Electron. 2015, 21, 500–505. [Google Scholar] [CrossRef]
- Suelzer, J.S.; Prasad, A.; Ghosh, R.; Vemuri, G. Effects of quantum noise on the nonlinear dynamics of a semiconductor laser subject to two spectrally filtered, time-delayed optical feedbacks. Opt. Commun. 2016, 370, 209–221. [Google Scholar] [CrossRef][Green Version]
- Lam, W.-S.; Guzdar, P.N.; Roy, R. Effect of Spontaneous Emission Noise and Modulation on Semiconductor Lasers Near Threshold with Optical Feedback. Int. J. Mod. Phys. B 2003, 17, 4123–4138. [Google Scholar] [CrossRef]
- Chow, W.W.; Wan, Y.; Bowers, J.E.; Grillot, F. Analysis of the Spontaneous Emission Limited Linewidth of an Integrated III–V/SiN Laser. Laser Photonics Rev. 2022, 16, 2100620. [Google Scholar] [CrossRef]
- Ahmed, M.; Yamada, M. An infinite order perturbation approach to gain calculation in injection semiconductor lasers. J. Appl. Phys. 1998, 84, 3004. [Google Scholar] [CrossRef]
- Yamada, M.; Suematsu, Y. Analysis of gain suppression in undoped injection lasers. J. Appl. Phys. 1981, 52, 2653. [Google Scholar] [CrossRef]
- Nishimura, Y.; Nishimura, Y. Spectral hole-burning and nonlinear-gain decrease in a band-to-level transition semiconductor laser. IEEE J. Quantum Electron. 1973, 9, 1011. [Google Scholar] [CrossRef]
- Ahmed, M.; Yamada, M. Field Fluctuations and Spectral Line Shape in Semiconductor Lasers Subjected to Optical Feedback. J. Appl. Physics 2004, 95, 7573–7583. [Google Scholar] [CrossRef]
- Spiteri, R.J.; Wei, S. Fractional-step runge–kutta methods: Representation and linear stability analysis. J. Comput. Phys. 2023, 476, 111900. [Google Scholar] [CrossRef]
- Bakry, A.; Abdulrhmann, S.; Ahmed, M. Theoretical Modeling of the Dynamics of Semiconductor Laser Subject to Double-Reflector Optical Feedback. J. Exp. Theor. Phys. 2016, 149, 960–969. [Google Scholar] [CrossRef]





Disclaimer/Publisher’s Note: The statements, opinions and data contained in all publications are solely those of the individual author(s) and contributor(s) and not of MDPI and/or the editor(s). MDPI and/or the editor(s) disclaim responsibility for any injury to people or property resulting from any ideas, methods, instructions or products referred to in the content. |
© 2023 by the authors. Licensee MDPI, Basel, Switzerland. This article is an open access article distributed under the terms and conditions of the Creative Commons Attribution (CC BY) license (https://creativecommons.org/licenses/by/4.0/).
Share and Cite
Abdulrhmann, S.; Hakami, J. Dynamics of Semiconductor Laser Subject to Optical Feedback with Linewidth Enhancement Factor and Spontaneous Emission Factor. Appl. Sci. 2023, 13, 13099. https://doi.org/10.3390/app132413099
Abdulrhmann S, Hakami J. Dynamics of Semiconductor Laser Subject to Optical Feedback with Linewidth Enhancement Factor and Spontaneous Emission Factor. Applied Sciences. 2023; 13(24):13099. https://doi.org/10.3390/app132413099
Chicago/Turabian StyleAbdulrhmann, Salah, and Jabir Hakami. 2023. "Dynamics of Semiconductor Laser Subject to Optical Feedback with Linewidth Enhancement Factor and Spontaneous Emission Factor" Applied Sciences 13, no. 24: 13099. https://doi.org/10.3390/app132413099
APA StyleAbdulrhmann, S., & Hakami, J. (2023). Dynamics of Semiconductor Laser Subject to Optical Feedback with Linewidth Enhancement Factor and Spontaneous Emission Factor. Applied Sciences, 13(24), 13099. https://doi.org/10.3390/app132413099

