Supporting Structure of Steel Corrugated Plate-Mold Bag Concrete and Its Application in a Circular Shaft
Abstract
1. Introduction
2. Composition and Structure of Steel Corrugated Plate-Mold Bag Concrete
2.1. Steel Corrugated Plate Member
2.2. Mold Bag and Mold Bag Concrete
3. Analytical Solutions
3.1. Analytical Solution Calculation
3.2. Material Strength Check of Support Structure
4. Numerical Simulations
4.1. Numerical Modelling
4.2. Modelling of the Interfaces and Contact
4.3. Loads and Boundary Conditions
4.4. Validation of the Model
4.5. Analysis of Simulation Results
4.6. Parametric Studies
5. Field Test
5.1. Engineering and Test Overview
5.2. Structural Design Parameters
5.3. Monitoring Scheme
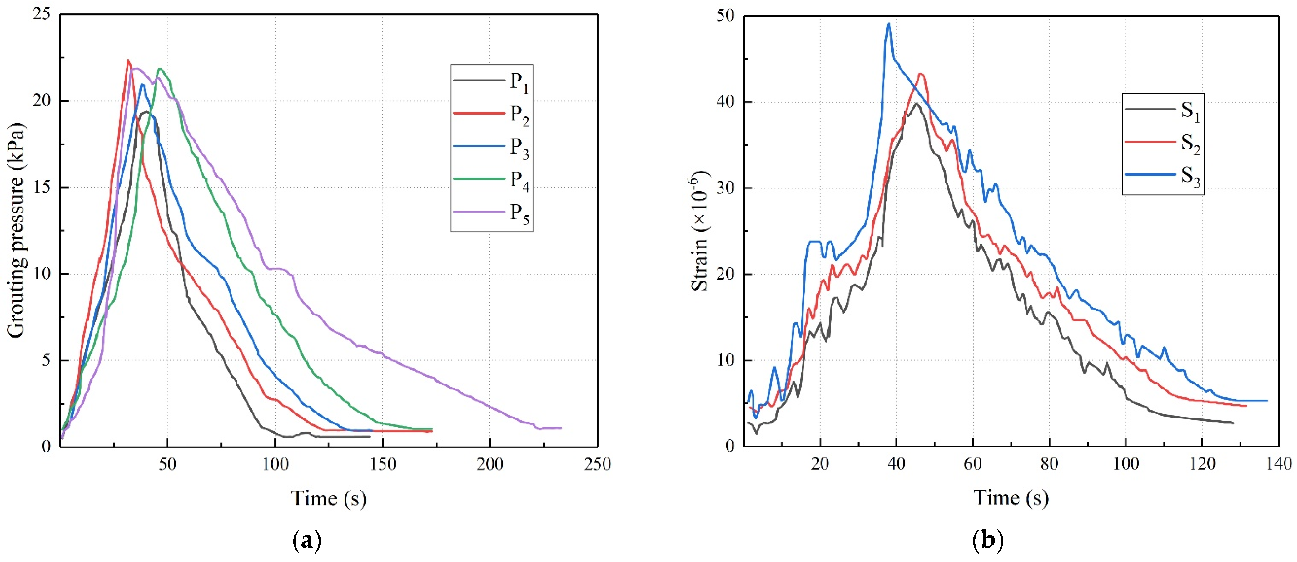
5.4. Monitoring Results and Analysis
6. Conclusions
- (1)
- Mold bag concrete can fill the structural gap between the excavation surface and the steel corrugated panel, reduce the loss of soil, and help control the deformation and settlement caused by the excavation. Part of the gas and water in the concrete inside the mold bag is squeezed out with the grouting process, reducing the void space and the water–cement ratio, which is conducive to the rapid setting of the concrete and achieving rapid support. The combination of steel corrugated plate and mold bag concrete can form a rapid support technology for underground engineering.
- (2)
- The interaction force between the steel corrugated plate and the mold bag concrete contact surface is influenced by four main factors: the excavation depth, the thickness of the steel corrugated plate, the thickness of the mold bag concrete, and the excavation radius of the circular shaft. As the stiffness of the concrete inside the mold bag increases, most of the external loads are borne by the mold bag concrete, and the load borne by the steel corrugated plate is gradually reduced to 30%.
- (3)
- Numerical simulation results show that the thinner the steel corrugated plate and the mold bag concrete, and the larger the excavation depth and radius of the circular shaft, the stress of the structure will increase and the radial deformation of the structure will increase. If the design depth of the shaft is small, the grouting pressure generated during construction will be the most significant factor leading to the deformation of the structure.
- (4)
- The experiment shows that grouting pressure is the strongest safety factor that affects the stress state of corrugated steel plates. A reasonable grouting pressure allows the concrete to fill the mold bag and achieve self-compaction so that the steel corrugated plate is evenly stressed. The woven geotextiles and non-woven geotextiles selected for the test are both breathable, permeable, and impervious to the slurry, achieving a wrapping and shaping effect on the concrete.
- (5)
- In the field process test research, this paper only carried out the first phase of the test, initially verifying the feasibility of the new support structure construction process and structural mechanical effect. In the next step of the experimental research, an in-depth study should be carried out on how to optimize the design and installation of the mold bag, strengthen the control of construction errors, and improve the construction and installation accuracy and speed. For the corrugated steel panels exposed on the outside to do anti-corrosion treatment, such as taking measures to avoid or reduce the corrosion of steel by spraying plating on the surface or spraying anti-corrosion spray paint.
- (6)
- The combination of steel corrugated plate and mold bag concrete for underground engineering support structures is feasible and provides new ideas for underground engineering support technologies such as tunnels and pits, which are of great significance.
Author Contributions
Funding
Data Availability Statement
Conflicts of Interest
References
- Malmgren, L.; Nordlund, E.; Rolund, S. Adhesion strength and shrinkage of shotcrete. Tunn. Undergr. Space Technol. 2005, 20, 33–48. [Google Scholar] [CrossRef]
- Liu, G.M.; Cheng, W.M.; Chen, L.J.; Pan, G.; Liu, Z.X. Rheological properties of fresh concrete and its application on shotcrete. Constr. Build. Mater. 2020, 243, 118180. [Google Scholar] [CrossRef]
- Che, H.B.; Tong, L.Y.; Liu, S.Y.; Yang, Q. Field investigation on the mechanical performance of corrugated steel utility tunnel (CSUT). J. Constr. Steel Res. 2021, 183, 106693. [Google Scholar] [CrossRef]
- Sun, K.G.; Hong, Y.Q.; Xu, W.P.; Liu, H.; Zhen, Y.Z.; Qin, J.H. Analysis and prediction of the mechanical behavior of corrugated plate as primary support in tunnels with elastoplastic constitution. Tunn. Undergr. Space Technol. 2022, 124, 104451. [Google Scholar] [CrossRef]
- Sun, K.G.; Hong, Y.Q.; Xu, W.P.; Hou, Z.H.; Liu, X.; Yu, M.Z.; Yuan, Z.Y. Analysis and prediction of mechanical characteristics of corrugated plate as primary support in tunnels. Tunn. Undergr. Space Technol. 2021, 111, 103845. [Google Scholar] [CrossRef]
- Farahi, M.; Heidarpour, A.; Zhao, X.L.; Al-Mahaidi, R. Compressive behaviour of concrete-filled double-skin sections consisting of corrugated plates. Eng. Struct. 2016, 111, 467–477. [Google Scholar] [CrossRef]
- Mo, J.; Uy, B.; Li, D.X.; Thai, H.T.; Tran, H. A review of the behaviour and design of steel-concrete composite shear walls. Structures 2021, 31, 1230–1253. [Google Scholar] [CrossRef]
- Wang, M.Z.; Guo, Y.L.; Zhu, J.S.; Yang, X. Flexural buckling of axially loaded concrete-infilled double steel corrugated-plate walls with T-section. J. Constr. Steel Res. 2020, 166, 105940. [Google Scholar] [CrossRef]
- Bahrebar, M.; Lim, J.B.P.; Clifton, G.C.; Zirakian, T.; Shahmohammadi, A.; Hajsadeghi, M. Perforated steel plate shear walls with curved corrugated webs under cyclic loading. Structures 2020, 24, 600–609. [Google Scholar] [CrossRef]
- Maleska, T.; Beben, D.; Nowacka, J. Seismic vulnerability of a soil-steel composite tunnel - Norway Tolpinrud Railway Tunnel Case Study. Tunn. Undergr. Space Technol. 2021, 110, 103808. [Google Scholar] [CrossRef]
- Yue, F.; Liu, B.W.; Zhu, B.; Jiang, X.L.; Chen, S.Y.; Jaisee, S.; Chen, L.; Lv, B. Shaking table investigations on seismic performance of prefabricated corrugated steel utility tunnels. Tunn. Undergr. Space Technol. 2020, 105, 103579. [Google Scholar] [CrossRef]
- Rahmaninezhad, S.M.; Han, J.; Al-Naddaf, M.; Jawad, S.; Parsons, R.L.; Liu, H. Field evaluation of performance of corroded corrugated steel pipe before and after sliplining rehabilitation. Tunn. Undergr. Space Technol. 2020, 102, 103442. [Google Scholar] [CrossRef]
- Sun, D.W.; Liu, C.Y.; Wang, Y.Y.; Xia, Q.L.; Liu, F.Q. Static performance of a new type of corrugated steel-concrete composite shell under mid-span loading. Structures 2022, 37, 109–124. [Google Scholar] [CrossRef]
- Yang, L.G.; Wang, Y.Y.; Elchalakani, M.; Fang, Y. Experimental behavior of concrete-filled corrugated steel tubular short columns under eccentric compression and non-uniform confinement. Eng. Struct. 2020, 220, 111009. [Google Scholar] [CrossRef]
- Moffat, R.; Jadue, C.; Beltran, J.F.; Herrera, R. Experimental evaluation of geosynthetics as reinforcement for shotcrete. Geotext. Geomembr. 2017, 45, 161–168. [Google Scholar] [CrossRef]
- Nimbalkar, S.; Indraratna, B. Improved Performance of Ballasted Rail Track Using Geosynthetics and Rubber Shockmat. J. Geotech. Geoenvironmental Eng. 2016, 142, 04016031. [Google Scholar] [CrossRef]
- Rasouli, H.; Fatahi, B. Geosynthetics reinforced interposed layer to protect structures on deep foundations against strike-slip fault rupture. Geotext. Geomembr. 2021, 49, 722–736. [Google Scholar] [CrossRef]
- Xu, R.S.; Fatahi, B. Novel application of geosynthetics to reduce residual drifts of mid-rise buildings after earthquakes. Soil Dyn. Earthq. Eng. 2019, 116, 331–344. [Google Scholar] [CrossRef]
- Delijani, F.; West, M.; Svecova, D. The evaluation of change in concrete strength due to fabric formwork. J. Green Build. 2015, 10, 113–133. [Google Scholar] [CrossRef]
- Ghaib, M.A.; Gorski, J. Mechanical properties of concrete cast in fabric formworks. Cem. Concr. Res. 2001, 31, 1459–1465. [Google Scholar] [CrossRef]
- Yu, F.; Lou, Z.K.; Yan, N.X. Effect of the compounding of an antifoaming agent and a viscosity modifying agent on the frost resistance of mold bag concrete. Constr. Build. Mater. 2021, 308, 125016. [Google Scholar] [CrossRef]
- Veenendaal, D.; Block, P. Design process for prototype concrete shells using a hybrid cable-net and fabric formwork. Eng. Struct. 2014, 75, 39–50. [Google Scholar] [CrossRef]
- Foster, R.M.; Ibell, T.J. A Numerical Solution for the Shape of Fabric-formed Concrete Structures. Structures 2016, 8, 17–24. [Google Scholar] [CrossRef][Green Version]
- Li, W.; Lin, X.S.; Bao, D.W.; Xie, Y.M. A review of formwork systems for modern concrete construction. Structures 2022, 38, 52–63. [Google Scholar] [CrossRef]
- Veenendaal, D.; West, M.; Block, P. History and overview of fabric formwork: Using fabrics for concrete casting. Struct. Concr. 2011, 12, 164–177. [Google Scholar] [CrossRef]
- Deng, Y.; Zhang, Y.; Luo, X.; Lytton, R.L. Development of equivalent stationary dynamic loads for moving vehicular loads using artificial intelligence-based finite element model updating. Eng. Comput. 2022, 38, 2955–2974. [Google Scholar] [CrossRef]
- Liu, K.Y.; Liu, B.G. Intelligent information-based construction in tunnel engineering based on the GA and CCGPR coupled algorithm. Tunn. Undergr. Space Technol. 2019, 88, 113–128. [Google Scholar] [CrossRef]
- Abbas, N.; Umar, T.; Salih, R.; Akbar, M.; Hussain, Z.; Haibei, X. Structural Health Monitoring of Underground Metro Tunnel by Identifying Damage Using ANN Deep Learning Auto-Encoder. Appl. Sci. 2023, 13, 1332. [Google Scholar] [CrossRef]
- Shi, S.; Zhao, R.; Li, S.; Xie, X.; Li, L.; Zhou, Z.; Liu, H. Intelligent prediction of surrounding rock deformation of shallow buried highway tunnel and its engineering application. Tunn. Undergr. Space Technol. 2019, 90, 1–11. [Google Scholar] [CrossRef]
- Ministry of Housing and Urban-Rural Development of China. JGJ 120-2012; Technical Specification for Retaining and Protection of Building Foundation Excavations. China Building Industry Press: Beijing, China, 2012. (In Chinese)
- Abaqus. ABAQUS Documentation. Dassault Systèmes, Vélizy-Villacoublay, Paris, France. 2016. Available online: http://130.149.89.49:2080/v6.11/pdf_books/THEORY.pdf (accessed on 18 September 2023).
- Lee, S.-H.; Abolmaali, A.; Shin, K.-J.; Lee, H.-D. ABAQUS modeling for post-tensioned reinforced concrete beams. J. Build. Eng. 2020, 30, 101273. [Google Scholar] [CrossRef]
- Zhang, J.L.; Liu, X.; Ren, T.Y.; Yuan, Y.; Mang, H.A. Structural behavior of reinforced concrete segments of tunnel linings strengthened by a steel-concrete composite. Compos. Part B Eng. 2019, 178, 107444. [Google Scholar] [CrossRef]
- Ollgaard, J.G.; Slutter, R.G.; Fisher, J. Shear strength of stud connectors in lightweight and normal weight concrete. Eng. J. AISC 1971, 8, 55–64. [Google Scholar]
- Zhang, J.L.; Liu, X.; Ren, T.Y.; Shi, Y.; Yuan, Y. Numerical analysis of tunnel segments strengthened by steel-concrete composites. Undergr. Space 2022, 7, 1115–1124. [Google Scholar] [CrossRef]
- Clark, R.A. On the theory of thin elastic Toroidal shells. Stud. Appl. Math. 1950, 29, 146–178. [Google Scholar] [CrossRef]
- Jin, Z.; Zhang, C.; Li, W.; Tu, S.; Wang, L.; Wang, S. Stability analysis for excavation in frictional soils based on upper bound method. Comput. Geotech. 2024, 165, 105916. [Google Scholar] [CrossRef]
- Zhang, M.; Ge, C.; Li, P.; Wan, W.; Yang, M. Bearing capacities and failure behaviors of bolt fasten wedge (BFW) active joints used in prestressed internal supports. Tunn. Undergr. Space Technol. 2024, 143, 105438. [Google Scholar] [CrossRef]




















| Material | Mass Density (kg·m−3) | Cohesion (kPa) | Internal Friction Angle (°) | Poisson’s Ratio | Elastic Modulus (MPa) |
|---|---|---|---|---|---|
| Soil | 1900 | 8 | 36 | 0.25 | 10 |
| Steel- Q235 | 7850 | - | - | 0.33 | 210,000 |
| Concrete- C30 | 2500 | - | - | 0.2 | 30,000 |
| Category | Standard Breaking Strength (kN·m−1) | Standard Strength Corresponds to Elongation (%) | CBR Bursting Strength (kN) | Equivalent Aperture (mm) |
|---|---|---|---|---|
| Polyester filament woven geotextiles | 65 | 35.30 (longitude, latitude) | 6.0 | 0.05~0.50 |
| Polyester filament spun-bond needle-punched non-woven geotextiles | 30 | 0.35~0.45 | 6.4 | 0.05~0.20 |
Disclaimer/Publisher’s Note: The statements, opinions and data contained in all publications are solely those of the individual author(s) and contributor(s) and not of MDPI and/or the editor(s). MDPI and/or the editor(s) disclaim responsibility for any injury to people or property resulting from any ideas, methods, instructions or products referred to in the content. |
© 2023 by the authors. Licensee MDPI, Basel, Switzerland. This article is an open access article distributed under the terms and conditions of the Creative Commons Attribution (CC BY) license (https://creativecommons.org/licenses/by/4.0/).
Share and Cite
Li, P.; Wang, S.; Zhang, M.; Huang, Z. Supporting Structure of Steel Corrugated Plate-Mold Bag Concrete and Its Application in a Circular Shaft. Appl. Sci. 2023, 13, 12937. https://doi.org/10.3390/app132312937
Li P, Wang S, Zhang M, Huang Z. Supporting Structure of Steel Corrugated Plate-Mold Bag Concrete and Its Application in a Circular Shaft. Applied Sciences. 2023; 13(23):12937. https://doi.org/10.3390/app132312937
Chicago/Turabian StyleLi, Pengfei, Shuo Wang, Mingju Zhang, and Zhengdong Huang. 2023. "Supporting Structure of Steel Corrugated Plate-Mold Bag Concrete and Its Application in a Circular Shaft" Applied Sciences 13, no. 23: 12937. https://doi.org/10.3390/app132312937
APA StyleLi, P., Wang, S., Zhang, M., & Huang, Z. (2023). Supporting Structure of Steel Corrugated Plate-Mold Bag Concrete and Its Application in a Circular Shaft. Applied Sciences, 13(23), 12937. https://doi.org/10.3390/app132312937

